Health status, respiratory symptom and dyspnea trajectories in subjects with chronic obstructive pulmonary disease: a seven-year observation in clinical practice.

IF 2.9 Q2 HEALTH CARE SCIENCES & SERVICES
Koichi Nishimura, Masaaki Kusunose, Ayumi Shibayama, Kazuhito Nakayasu
{"title":"Health status, respiratory symptom and dyspnea trajectories in subjects with chronic obstructive pulmonary disease: a seven-year observation in clinical practice.","authors":"Koichi Nishimura, Masaaki Kusunose, Ayumi Shibayama, Kazuhito Nakayasu","doi":"10.1186/s41687-025-00923-z","DOIUrl":null,"url":null,"abstract":"<p><strong>Background: </strong>Chronic obstructive pulmonary disease (COPD) is characterized by progressive airflow limitation, often associated with declining health status. It is widely believed that the burden of the disease increases over time, leading to continuous suffering in the patient. Understanding the long-term course of patient-reported outcomes (PROs) and the variability in disease progression is crucial for effective management. The purpose of this research was to investigate the long-term trajectories of health status, respiratory symptoms, and dyspnea in COPD patients over a seven-year period and to identify factors associated with different progression patterns.</p><p><strong>Methodology: </strong>This longitudinal study followed 70 COPD patients for seven years, with evaluations every six months. Participants underwent pulmonary function tests and completed four PRO measures: St. George's Respiratory Questionnaire (SGRQ), COPD Assessment Test (CAT), Evaluating Respiratory Symptoms in COPD (E-RS), and Dyspnoea-12 (D-12). Annual changes were estimated using linear mixed models and linear regression analysis. The patients were categorized into quartiles based on the rate of decline in forced expiratory volume in one second (FEV<sub>1</sub>) and changes in PROs.</p><p><strong>Results: </strong>The group showed a significant deterioration in the FEV<sub>1</sub> and PRO measures. FEV<sub>1</sub> declined by 25 milliliters annually, while SGRQ Total and CAT scores worsened by 1.4 and 0.6 units per year, respectively. However, substantial variability was observed between individuals. The SGRQ Total score worsened significantly after 1.0 year in the 4th quartile, while the 1st quartile showed improvements at 2.0, 2.5, 3.0, 4.0, 6.0 and 6.5 years. Similarly, while the CAT, E-RS Total and D-12 Total scores deteriorated in the fourth quartile, they remained stable or improved in the first quartile.</p><p><strong>Conclusions: </strong>The progression of COPD varies widely among individuals. Although some patients experience significant declines, others remain stable or even improve for seven years. These findings challenge the belief that COPD inevitably leads to a constant increase in the burden of disease.</p>","PeriodicalId":36660,"journal":{"name":"Journal of Patient-Reported Outcomes","volume":"9 1","pages":"88"},"PeriodicalIF":2.9000,"publicationDate":"2025-07-11","publicationTypes":"Journal Article","fieldsOfStudy":null,"isOpenAccess":false,"openAccessPdf":"https://www.ncbi.nlm.nih.gov/pmc/articles/PMC12254445/pdf/","citationCount":"0","resultStr":null,"platform":"Semanticscholar","paperid":null,"PeriodicalName":"Journal of Patient-Reported Outcomes","FirstCategoryId":"1085","ListUrlMain":"https://doi.org/10.1186/s41687-025-00923-z","RegionNum":0,"RegionCategory":null,"ArticlePicture":[],"TitleCN":null,"AbstractTextCN":null,"PMCID":null,"EPubDate":"","PubModel":"","JCR":"Q2","JCRName":"HEALTH CARE SCIENCES & SERVICES","Score":null,"Total":0}
引用次数: 0

Abstract

Background: Chronic obstructive pulmonary disease (COPD) is characterized by progressive airflow limitation, often associated with declining health status. It is widely believed that the burden of the disease increases over time, leading to continuous suffering in the patient. Understanding the long-term course of patient-reported outcomes (PROs) and the variability in disease progression is crucial for effective management. The purpose of this research was to investigate the long-term trajectories of health status, respiratory symptoms, and dyspnea in COPD patients over a seven-year period and to identify factors associated with different progression patterns.

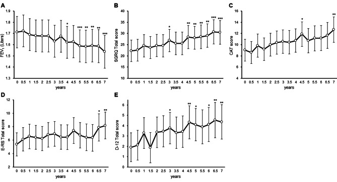
Methodology: This longitudinal study followed 70 COPD patients for seven years, with evaluations every six months. Participants underwent pulmonary function tests and completed four PRO measures: St. George's Respiratory Questionnaire (SGRQ), COPD Assessment Test (CAT), Evaluating Respiratory Symptoms in COPD (E-RS), and Dyspnoea-12 (D-12). Annual changes were estimated using linear mixed models and linear regression analysis. The patients were categorized into quartiles based on the rate of decline in forced expiratory volume in one second (FEV1) and changes in PROs.

Results: The group showed a significant deterioration in the FEV1 and PRO measures. FEV1 declined by 25 milliliters annually, while SGRQ Total and CAT scores worsened by 1.4 and 0.6 units per year, respectively. However, substantial variability was observed between individuals. The SGRQ Total score worsened significantly after 1.0 year in the 4th quartile, while the 1st quartile showed improvements at 2.0, 2.5, 3.0, 4.0, 6.0 and 6.5 years. Similarly, while the CAT, E-RS Total and D-12 Total scores deteriorated in the fourth quartile, they remained stable or improved in the first quartile.

Conclusions: The progression of COPD varies widely among individuals. Although some patients experience significant declines, others remain stable or even improve for seven years. These findings challenge the belief that COPD inevitably leads to a constant increase in the burden of disease.

Abstract Image

Abstract Image

Abstract Image

慢性阻塞性肺疾病患者的健康状况、呼吸症状和呼吸困难轨迹:一项为期七年的临床观察
背景:慢性阻塞性肺疾病(COPD)以进行性气流受限为特征,常伴有健康状况下降。人们普遍认为,这种疾病的负担会随着时间的推移而增加,导致患者持续遭受痛苦。了解患者报告的预后(PROs)的长期过程和疾病进展的可变性对于有效管理至关重要。本研究的目的是调查慢性阻塞性肺病患者在7年内的健康状况、呼吸系统症状和呼吸困难的长期轨迹,并确定与不同进展模式相关的因素。方法:这项纵向研究跟踪了70名COPD患者7年,每6个月进行一次评估。参与者进行了肺功能测试,并完成了四项PRO测量:圣乔治呼吸问卷(SGRQ)、COPD评估测试(CAT)、COPD呼吸症状评估(E-RS)和呼吸困难-12 (D-12)。利用线性混合模型和线性回归分析估计年变化。根据一秒钟用力呼气量(FEV1)下降率和pro变化将患者分为四分位数。结果:组内FEV1、PRO指标明显下降。FEV1每年下降25毫升,而SGRQ Total和CAT评分每年分别下降1.4和0.6个单位。然而,在个体之间观察到实质性的差异。SGRQ总分在1.0年后的第4个四分位数明显恶化,而第1个四分位数在2.0、2.5、3.0、4.0、6.0和6.5年有所改善。同样,虽然CAT, E-RS Total和D-12 Total得分在第四个四分位数下降,但它们在第一个四分位数保持稳定或改善。结论:COPD的进展在个体间差异很大。尽管一些患者经历了显著的衰退,但其他患者在7年内保持稳定甚至有所改善。这些发现挑战了COPD不可避免地导致疾病负担不断增加的观点。
本文章由计算机程序翻译,如有差异,请以英文原文为准。
求助全文
约1分钟内获得全文 求助全文
来源期刊
Journal of Patient-Reported Outcomes
Journal of Patient-Reported Outcomes Health Professions-Health Information Management
CiteScore
3.80
自引率
7.40%
发文量
120
审稿时长
20 weeks
×
引用
GB/T 7714-2015
复制
MLA
复制
APA
复制
导出至
BibTeX EndNote RefMan NoteFirst NoteExpress
×
提示
您的信息不完整,为了账户安全,请先补充。
现在去补充
×
提示
您因"违规操作"
具体请查看互助需知
我知道了
×
提示
确定
请完成安全验证×
copy
已复制链接
快去分享给好友吧!
我知道了
右上角分享
点击右上角分享
0
联系我们:info@booksci.cn Book学术提供免费学术资源搜索服务,方便国内外学者检索中英文文献。致力于提供最便捷和优质的服务体验。 Copyright © 2023 布克学术 All rights reserved.
京ICP备2023020795号-1
ghs 京公网安备 11010802042870号
Book学术文献互助
Book学术文献互助群
群 号:604180095
Book学术官方微信