Machine learning to identify suitable boundaries for band-pass spectral analysis of dynamic [ 11 C]Ro15-4513 PET scan and voxel-wise parametric map generation.

IF 3.1 3区 医学 Q1 RADIOLOGY, NUCLEAR MEDICINE & MEDICAL IMAGING
Zeyu Chang, Colm J McGinnity, Rainer Hinz, Manlin Wang, Joel Dunn, Ruoyang Liu, Mubaraq Yakubu, Paul Marsden, Alexander Hammers
{"title":"<ArticleTitle xmlns:ns0=\"http://www.w3.org/1998/Math/MathML\">Machine learning to identify suitable boundaries for band-pass spectral analysis of dynamic [ <ns0:math><ns0:mmultiscripts><ns0:mrow /> <ns0:mrow /> <ns0:mn>11</ns0:mn></ns0:mmultiscripts> </ns0:math> C]Ro15-4513 PET scan and voxel-wise parametric map generation.","authors":"Zeyu Chang, Colm J McGinnity, Rainer Hinz, Manlin Wang, Joel Dunn, Ruoyang Liu, Mubaraq Yakubu, Paul Marsden, Alexander Hammers","doi":"10.1186/s13550-025-01251-5","DOIUrl":null,"url":null,"abstract":"<p><strong>Background: </strong>Spectral analysis is a model-free PET quantification technique that treats the time-space signal as an impulse response to a bolus injection. Band-pass spectral analysis, considering specific frequency ranges, enables calculation of separate parametric maps of receptor subtype tracer binding for suitable radiopharmaceuticals such as [ <math><mmultiscripts><mrow></mrow> <mrow></mrow> <mn>11</mn></mmultiscripts> </math> C]Ro15-4513 binding to GABA<sub>A</sub> <math><mi>α</mi></math> 1/5 subunits. Frequency ranges are based on inspection of spectra, prior knowledge of receptor distribution, and blocking studies. The process currently requires the manual selection of frequency ranges based on the data. To enhance the efficiency of band-pass spectral analysis and extend its application to a broader range of tracers, we propose employing machine learning to automate the selection of spectral boundaries. Based on these boundaries, voxel-wise parametric maps can be generated. The machine learning models utilized in this study include 1D Convolutional Neural Network, Neural Network, Support Vector Machine, Logistic Regression, K-nearest neighbors, and Fine Tree.</p><p><strong>Results: </strong>The best machine learning model, Fine Tree, agreed with the manual frequency boundary in 96.92% of 3185 ROIs. The absolute mean error was 3.80% for slow component volume-of-distribution ( <math><msub><mtext>V</mtext> <mrow><mi>slow</mi></mrow> </msub> </math> , largely representing <math><mi>α</mi></math> 5) and 4.74% for fast component volume-of-distribution( <math><msub><mtext>V</mtext> <mrow><mi>fast</mi></mrow> </msub> </math> , largely representing <math><mi>α</mi></math> 5), while the relative error was 2.83% ± 43.47% for <math><msub><mtext>V</mtext> <mrow><mi>slow</mi></mrow> </msub> </math> and <math><mo>-</mo></math> 2.01% ± 78.04% for <math><msub><mtext>V</mtext> <mrow><mi>fast</mi></mrow> </msub> </math> . The median test-retest intraclass correlation coefficient across six representative regions was 0.770 for <math><msub><mtext>V</mtext> <mrow><mi>slow</mi></mrow> </msub> </math> , 0.670 for <math><msub><mtext>V</mtext> <mrow><mi>fast</mi></mrow> </msub> </math> , and 0.502 for total component volume-of-distribution( <math><msub><mtext>V</mtext> <mi>d</mi></msub> </math> ). Parametric maps applying different boundaries for different ROIs were generated.</p><p><strong>Conclusion: </strong>The machine learning model developed provided accurate boundary predictions in 96.92% of regions, with minimal average bias. However, when errors occur, they can be large, owing to the sparsity of peaks. The model enables setting boundaries automatically for the vast majority of regions, followed by manual checking of the outliers. It opens the possibility of accelerating analyses e.g. of GABA<sub>A</sub> <math><mi>α</mi></math> 1/2/3/5 subunit binding using [<sup>11</sup>C]flumazenil and of extending band-pass spectral analysis to other receptor systems.</p>","PeriodicalId":11611,"journal":{"name":"EJNMMI Research","volume":"15 1","pages":"85"},"PeriodicalIF":3.1000,"publicationDate":"2025-07-11","publicationTypes":"Journal Article","fieldsOfStudy":null,"isOpenAccess":false,"openAccessPdf":"https://www.ncbi.nlm.nih.gov/pmc/articles/PMC12254443/pdf/","citationCount":"0","resultStr":null,"platform":"Semanticscholar","paperid":null,"PeriodicalName":"EJNMMI Research","FirstCategoryId":"3","ListUrlMain":"https://doi.org/10.1186/s13550-025-01251-5","RegionNum":3,"RegionCategory":"医学","ArticlePicture":[],"TitleCN":null,"AbstractTextCN":null,"PMCID":null,"EPubDate":"","PubModel":"","JCR":"Q1","JCRName":"RADIOLOGY, NUCLEAR MEDICINE & MEDICAL IMAGING","Score":null,"Total":0}
引用次数: 0

Abstract

Background: Spectral analysis is a model-free PET quantification technique that treats the time-space signal as an impulse response to a bolus injection. Band-pass spectral analysis, considering specific frequency ranges, enables calculation of separate parametric maps of receptor subtype tracer binding for suitable radiopharmaceuticals such as [ 11 C]Ro15-4513 binding to GABAA α 1/5 subunits. Frequency ranges are based on inspection of spectra, prior knowledge of receptor distribution, and blocking studies. The process currently requires the manual selection of frequency ranges based on the data. To enhance the efficiency of band-pass spectral analysis and extend its application to a broader range of tracers, we propose employing machine learning to automate the selection of spectral boundaries. Based on these boundaries, voxel-wise parametric maps can be generated. The machine learning models utilized in this study include 1D Convolutional Neural Network, Neural Network, Support Vector Machine, Logistic Regression, K-nearest neighbors, and Fine Tree.

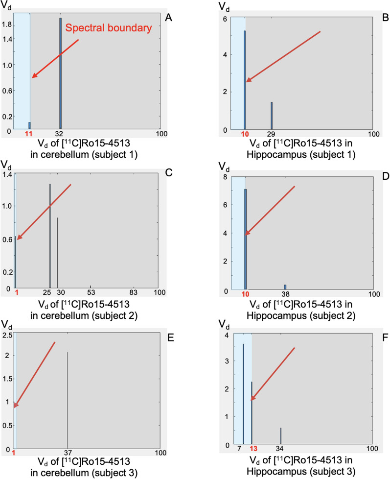
Results: The best machine learning model, Fine Tree, agreed with the manual frequency boundary in 96.92% of 3185 ROIs. The absolute mean error was 3.80% for slow component volume-of-distribution ( V slow , largely representing α 5) and 4.74% for fast component volume-of-distribution( V fast , largely representing α 5), while the relative error was 2.83% ± 43.47% for V slow and - 2.01% ± 78.04% for V fast . The median test-retest intraclass correlation coefficient across six representative regions was 0.770 for V slow , 0.670 for V fast , and 0.502 for total component volume-of-distribution( V d ). Parametric maps applying different boundaries for different ROIs were generated.

Conclusion: The machine learning model developed provided accurate boundary predictions in 96.92% of regions, with minimal average bias. However, when errors occur, they can be large, owing to the sparsity of peaks. The model enables setting boundaries automatically for the vast majority of regions, followed by manual checking of the outliers. It opens the possibility of accelerating analyses e.g. of GABAA α 1/2/3/5 subunit binding using [11C]flumazenil and of extending band-pass spectral analysis to other receptor systems.

Abstract Image

Abstract Image

Abstract Image

动态带通光谱分析的机器学习边界识别[11 C]Ro15-4513 PET扫描和逐体素参数图生成。
背景:光谱分析是一种无模型的PET量化技术,它将时空信号视为对大剂量注射的脉冲响应。考虑特定频率范围的带通光谱分析,可以计算合适的放射性药物的受体亚型示踪剂结合的单独参数图,例如[11 C]Ro15-4513与GABAA α 1/5亚基的结合。频率范围是基于对光谱的检查,对受体分布的先验知识和阻断研究。该过程目前需要根据数据手动选择频率范围。为了提高带通光谱分析的效率并将其应用于更广泛的示踪剂,我们提出采用机器学习来自动选择光谱边界。基于这些边界,可以生成体素参数化地图。本研究使用的机器学习模型包括一维卷积神经网络、神经网络、支持向量机、逻辑回归、k近邻和精细树。结果:最佳机器学习模型Fine Tree在3185个roi中与人工频率边界的一致性达到96.92%。慢组分分布体积(V slow,主要代表α 5)的绝对平均误差为3.80%,快组分分布体积(V fast,主要代表α 5)的绝对平均误差为4.74%,而V slow和V fast的相对误差分别为2.83%±43.47%和- 2.01%±78.04%。6个代表性区域的中位重测类内相关系数为:慢区0.770,快区0.670,总成分分布体积(vd) 0.502。针对不同的roi生成了不同边界的参数化图。结论:所开发的机器学习模型在96.92%的区域中提供了准确的边界预测,平均偏差最小。然而,当发生错误时,由于峰值的稀疏性,它们可能很大。该模型可以自动为绝大多数区域设置边界,然后手动检查异常值。它开启了加速分析的可能性,例如使用[11C]氟马西尼分析GABAA α 1/2/3/5亚基结合,并将带通光谱分析扩展到其他受体系统。
本文章由计算机程序翻译,如有差异,请以英文原文为准。
求助全文
约1分钟内获得全文 求助全文
来源期刊
EJNMMI Research
EJNMMI Research RADIOLOGY, NUCLEAR MEDICINE & MEDICAL IMAGING&nb-
CiteScore
5.90
自引率
3.10%
发文量
72
审稿时长
13 weeks
期刊介绍: EJNMMI Research publishes new basic, translational and clinical research in the field of nuclear medicine and molecular imaging. Regular features include original research articles, rapid communication of preliminary data on innovative research, interesting case reports, editorials, and letters to the editor. Educational articles on basic sciences, fundamental aspects and controversy related to pre-clinical and clinical research or ethical aspects of research are also welcome. Timely reviews provide updates on current applications, issues in imaging research and translational aspects of nuclear medicine and molecular imaging technologies. The main emphasis is placed on the development of targeted imaging with radiopharmaceuticals within the broader context of molecular probes to enhance understanding and characterisation of the complex biological processes underlying disease and to develop, test and guide new treatment modalities, including radionuclide therapy.
×
引用
GB/T 7714-2015
复制
MLA
复制
APA
复制
导出至
BibTeX EndNote RefMan NoteFirst NoteExpress
×
提示
您的信息不完整,为了账户安全,请先补充。
现在去补充
×
提示
您因"违规操作"
具体请查看互助需知
我知道了
×
提示
确定
请完成安全验证×
copy
已复制链接
快去分享给好友吧!
我知道了
右上角分享
点击右上角分享
0
联系我们:info@booksci.cn Book学术提供免费学术资源搜索服务,方便国内外学者检索中英文文献。致力于提供最便捷和优质的服务体验。 Copyright © 2023 布克学术 All rights reserved.
京ICP备2023020795号-1
ghs 京公网安备 11010802042870号
Book学术文献互助
Book学术文献互助群
群 号:604180095
Book学术官方微信