Effect of Inhaled Volatile and IV Anesthetics on Biological Markers of Inflammation in Adult ICU and Thoracic Surgical Patients: A Systematic Review and Meta-Analysis.

IF 2.7 Q4 Medicine
Critical care explorations Pub Date : 2025-07-10 eCollection Date: 2025-07-01 DOI:10.1097/CCE.0000000000001280
Soroush Rouhani, Sanchit Gupta, Hira Raheel, Aggie Duan Gao, Ciara Hanley, Xingshan Cao, Alla Iansavitchene, Brian H Cuthbertson, Marat Slessarev, Ewan C Goligher, Aleksandra Leligdowicz, Douglas D Fraser, Beverley A Orser, Angela Jerath
{"title":"Effect of Inhaled Volatile and IV Anesthetics on Biological Markers of Inflammation in Adult ICU and Thoracic Surgical Patients: A Systematic Review and Meta-Analysis.","authors":"Soroush Rouhani, Sanchit Gupta, Hira Raheel, Aggie Duan Gao, Ciara Hanley, Xingshan Cao, Alla Iansavitchene, Brian H Cuthbertson, Marat Slessarev, Ewan C Goligher, Aleksandra Leligdowicz, Douglas D Fraser, Beverley A Orser, Angela Jerath","doi":"10.1097/CCE.0000000000001280","DOIUrl":null,"url":null,"abstract":"<p><strong>Objectives: </strong>Inhaled anesthetics may reduce alveolar and systemic inflammation in surgical and critically ill patients. This study aimed to perform a systematic review and meta-analysis comparing the effect of inhaled volatile and IV anesthetics on alveolar and plasma cytokines in patients with surgical or medical acute lung injury.</p><p><strong>Data sources: </strong>Medline, Embase, and Cochrane CENTRAL databases from 2000 to July 2021.</p><p><strong>Study selection: </strong>Randomized control trials, prospective, and retrospective observational studies comparing inhaled volatile to IV anesthetics in ventilated adult patients with acute lung injury from lung resection or critical illness.</p><p><strong>Data extraction: </strong>A systematic review and meta-analysis was performed. Primary outcome was alveolar inflammatory cytokines levels that were meta-analyzed using a random effects model. Secondary outcomes were plasma inflammatory cytokine levels, mortality, pulmonary complications, and duration of hospital and ICU stay. The quality of studies was assessed using the Cochrane Risk of Bias tool for randomized control trials and the Cochrane Risk Of Bias In Non-randomized Studies of Interventions tool for retrospective cohort studies.</p><p><strong>Data synthesis: </strong>From 2522 screened studies, 28 (27 thoracic surgery and 1 ICU, n = 4175) were included. Meta-analysis of patients undergoing lung resection demonstrated lower levels of alveolar tumor necrosis factor-alpha (TNF-α) (standard mean difference 1.04; 95% CI, 0.32-1.77; p < 0.01; I2 82%) and interleukin (IL)-6 (0.64; 95% CI, 0.52-0.75; I2 0%; p < 0.01) at 1-2 hours in the inhaled anesthesia group, with no difference in other cytokines at various time points. The single ICU study demonstrated lower plasma TNF-α and IL-6 and alveolar TNF-α, IL-6, and IL-8 at 48 hours in patients sedated with sevoflurane compared with midazolam. Clinical outcomes were infrequently reported.</p><p><strong>Conclusions: </strong>Limited evidence suggests that inhaled anesthesia may reduce proinflammatory cytokines TNF-α and IL-6 during lung resection and critical illness. Further studies are needed to clarify its effects on biological markers and clinical outcomes.</p>","PeriodicalId":93957,"journal":{"name":"Critical care explorations","volume":"7 7","pages":"e1280"},"PeriodicalIF":2.7000,"publicationDate":"2025-07-10","publicationTypes":"Journal Article","fieldsOfStudy":null,"isOpenAccess":false,"openAccessPdf":"https://www.ncbi.nlm.nih.gov/pmc/articles/PMC12440536/pdf/","citationCount":"0","resultStr":null,"platform":"Semanticscholar","paperid":null,"PeriodicalName":"Critical care explorations","FirstCategoryId":"1085","ListUrlMain":"https://doi.org/10.1097/CCE.0000000000001280","RegionNum":0,"RegionCategory":null,"ArticlePicture":[],"TitleCN":null,"AbstractTextCN":null,"PMCID":null,"EPubDate":"2025/7/1 0:00:00","PubModel":"eCollection","JCR":"Q4","JCRName":"Medicine","Score":null,"Total":0}
引用次数: 0

Abstract

Objectives: Inhaled anesthetics may reduce alveolar and systemic inflammation in surgical and critically ill patients. This study aimed to perform a systematic review and meta-analysis comparing the effect of inhaled volatile and IV anesthetics on alveolar and plasma cytokines in patients with surgical or medical acute lung injury.

Data sources: Medline, Embase, and Cochrane CENTRAL databases from 2000 to July 2021.

Study selection: Randomized control trials, prospective, and retrospective observational studies comparing inhaled volatile to IV anesthetics in ventilated adult patients with acute lung injury from lung resection or critical illness.

Data extraction: A systematic review and meta-analysis was performed. Primary outcome was alveolar inflammatory cytokines levels that were meta-analyzed using a random effects model. Secondary outcomes were plasma inflammatory cytokine levels, mortality, pulmonary complications, and duration of hospital and ICU stay. The quality of studies was assessed using the Cochrane Risk of Bias tool for randomized control trials and the Cochrane Risk Of Bias In Non-randomized Studies of Interventions tool for retrospective cohort studies.

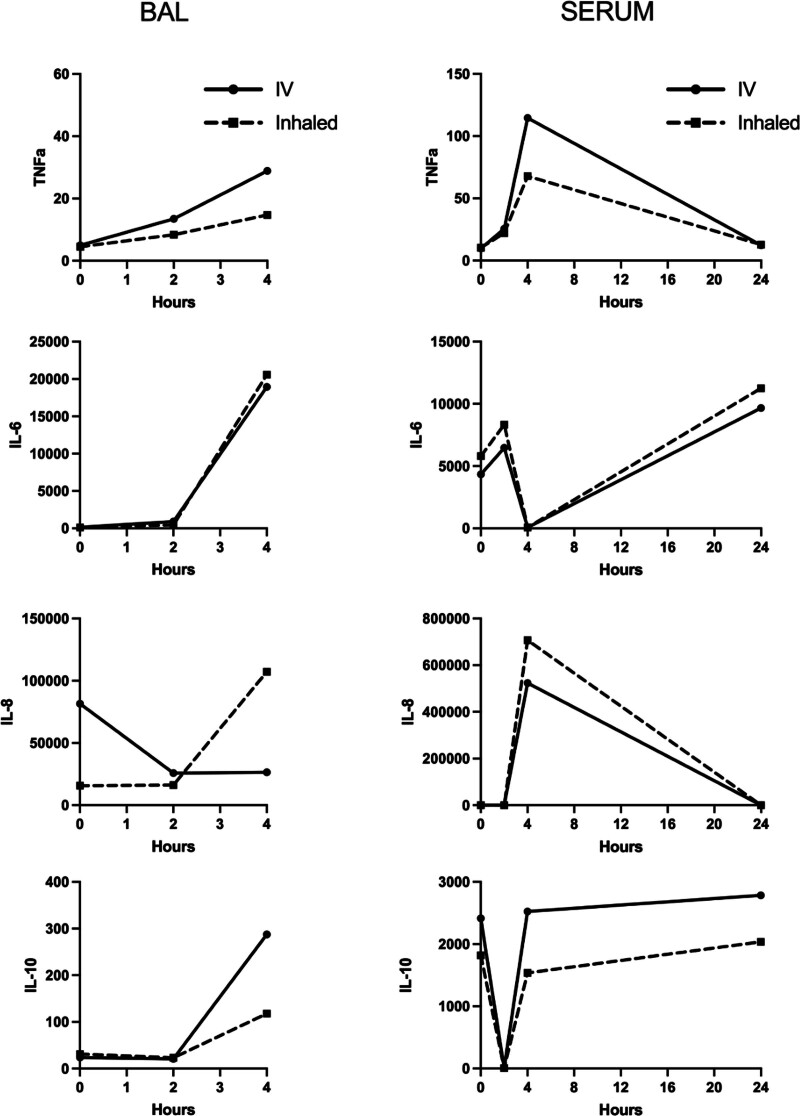
Data synthesis: From 2522 screened studies, 28 (27 thoracic surgery and 1 ICU, n = 4175) were included. Meta-analysis of patients undergoing lung resection demonstrated lower levels of alveolar tumor necrosis factor-alpha (TNF-α) (standard mean difference 1.04; 95% CI, 0.32-1.77; p < 0.01; I2 82%) and interleukin (IL)-6 (0.64; 95% CI, 0.52-0.75; I2 0%; p < 0.01) at 1-2 hours in the inhaled anesthesia group, with no difference in other cytokines at various time points. The single ICU study demonstrated lower plasma TNF-α and IL-6 and alveolar TNF-α, IL-6, and IL-8 at 48 hours in patients sedated with sevoflurane compared with midazolam. Clinical outcomes were infrequently reported.

Conclusions: Limited evidence suggests that inhaled anesthesia may reduce proinflammatory cytokines TNF-α and IL-6 during lung resection and critical illness. Further studies are needed to clarify its effects on biological markers and clinical outcomes.

Abstract Image

Abstract Image

吸入挥发性和静脉麻醉药对成人ICU和胸外科患者炎症生物学标志物的影响:系统回顾和荟萃分析。
目的:吸入麻醉剂可以减轻外科和危重病人的肺泡和全身炎症。本研究旨在进行系统回顾和荟萃分析,比较吸入挥发性麻醉药和静脉麻醉药对外科或内科急性肺损伤患者肺泡和血浆细胞因子的影响。数据来源:Medline, Embase和Cochrane CENTRAL数据库,2000年至2021年7月。研究选择:随机对照试验,前瞻性和回顾性观察性研究,比较吸入挥发性麻醉药和静脉麻醉药对肺切除术或危重疾病急性肺损伤的成人通气患者的影响。资料提取:进行系统回顾和荟萃分析。主要结局是肺泡炎症细胞因子水平,使用随机效应模型进行meta分析。次要结局是血浆炎症细胞因子水平、死亡率、肺部并发症、住院时间和ICU住院时间。使用Cochrane随机对照试验的偏倚风险工具和Cochrane回顾性队列研究的非随机干预研究的偏倚风险工具来评估研究的质量。资料综合:从2522项筛选研究中,纳入28项(27项胸外科和1项ICU, n = 4175)。荟萃分析显示,接受肺切除术的患者肺泡肿瘤坏死因子-α (TNF-α)水平较低(标准平均差1.04;95% ci, 0.32-1.77;P < 0.01;I2 82%)和白细胞介素(IL)-6 (0.64;95% ci, 0.52-0.75;I2 0%;P < 0.01),其他细胞因子在各时间点差异无统计学意义。单ICU研究表明,与咪达唑仑相比,七氟醚镇静患者48小时血浆TNF-α、IL-6和肺泡TNF-α、IL-6和IL-8较低。临床结果很少报道。结论:有限证据表明吸入麻醉可降低肺切除术和危重症患者的促炎细胞因子TNF-α和IL-6。需要进一步的研究来阐明其对生物标志物和临床结果的影响。
本文章由计算机程序翻译,如有差异,请以英文原文为准。
求助全文
约1分钟内获得全文 求助全文
来源期刊
CiteScore
5.70
自引率
0.00%
发文量
0
审稿时长
8 weeks
×
引用
GB/T 7714-2015
复制
MLA
复制
APA
复制
导出至
BibTeX EndNote RefMan NoteFirst NoteExpress
×
提示
您的信息不完整,为了账户安全,请先补充。
现在去补充
×
提示
您因"违规操作"
具体请查看互助需知
我知道了
×
提示
确定
请完成安全验证×
copy
已复制链接
快去分享给好友吧!
我知道了
右上角分享
点击右上角分享
0
联系我们:info@booksci.cn Book学术提供免费学术资源搜索服务,方便国内外学者检索中英文文献。致力于提供最便捷和优质的服务体验。 Copyright © 2023 布克学术 All rights reserved.
京ICP备2023020795号-1
ghs 京公网安备 11010802042870号
Book学术文献互助
Book学术文献互助群
群 号:604180095
Book学术官方微信