Prognostic Value of Spontaneous Potential in Left Atrial Posterior Wall Isolation and Radiofrequency Ablation for Non-Paroxysmal Atrial Fibrillation.

IF 2.8 3区 医学 Q1 Pharmacology, Toxicology and Pharmaceutics
Therapeutics and Clinical Risk Management Pub Date : 2025-07-05 eCollection Date: 2025-01-01 DOI:10.2147/TCRM.S525135
Zhi-Yang Chen, Yu-Hong Zhong, Ke-Zeng Gong, Xue-Hai Chen, Zhe Xu, Fei-Long Zhang
{"title":"Prognostic Value of Spontaneous Potential in Left Atrial Posterior Wall Isolation and Radiofrequency Ablation for Non-Paroxysmal Atrial Fibrillation.","authors":"Zhi-Yang Chen, Yu-Hong Zhong, Ke-Zeng Gong, Xue-Hai Chen, Zhe Xu, Fei-Long Zhang","doi":"10.2147/TCRM.S525135","DOIUrl":null,"url":null,"abstract":"<p><strong>Objective: </strong>This study aimed to examine the long-term effects of left atrial posterior wall spontaneous potential (SP) in patients with non-paroxysmal atrial fibrillation (AF) who underwent pulmonary vein isolation (PVI) combined with left atrial posterior wall isolation (PVI+BOX) ablation.</p><p><strong>Methods: </strong>Clinical data were retrospectively collected from 140 patients with symptomatic non-paroxysmal atrial fibrillation (NPAF) who underwent first-time radiofrequency ablation between 2022 and 2023. Based on the surgical procedure, patients were categorized into the pulmonary vein isolation group (PVI group) and the pulmonary vein isolation + left atrial posterior wall isolation group (PVI+BOX group). The PVI+BOX group was further subdivided into the spontaneous potential group (SP group) and the no-spontaneous potential group (no-SP group) based on the presence of SP after left atrial posterior wall isolation. Patients underwent monthly follow-ups in the clinic or via telephone and received 72-hour dynamic electrocardiography (ECG) at 3 and 12 months postoperatively. AF recurrence was compared among the groups, and factors associated with recurrence following AF ablation were analyzed.</p><p><strong>Results: </strong>The PVI+BOX group included 78 cases, with 45 in the no-SP group and 33 in the SP group, while the PVI group comprised 62 cases. No significant difference was observed in the postoperative recurrence-free rate between the PVI+BOX and PVI groups. However, the SP group exhibited a higher postoperative recurrence-free rate compared to both the no-SP group (<i>p</i> = 0.039) and the PVI group (<i>p</i> = 0.020). No significant difference was found in the late recurrence-free rate between the no-SP and PVI groups. Multivariate logistic regression analysis indicated that the duration of AF and the presence of left atrial posterior wall SP were independent risk factors for post-ablation recurrence in patients with NPAF.</p><p><strong>Conclusion: </strong>The presence of SP post-left atrial posterior wall isolation suggests a better long-term outcome in patients with NPAF following PVI+BOX catheter ablation.</p>","PeriodicalId":22977,"journal":{"name":"Therapeutics and Clinical Risk Management","volume":"21 ","pages":"1021-1031"},"PeriodicalIF":2.8000,"publicationDate":"2025-07-05","publicationTypes":"Journal Article","fieldsOfStudy":null,"isOpenAccess":false,"openAccessPdf":"https://www.ncbi.nlm.nih.gov/pmc/articles/PMC12239905/pdf/","citationCount":"0","resultStr":null,"platform":"Semanticscholar","paperid":null,"PeriodicalName":"Therapeutics and Clinical Risk Management","FirstCategoryId":"3","ListUrlMain":"https://doi.org/10.2147/TCRM.S525135","RegionNum":3,"RegionCategory":"医学","ArticlePicture":[],"TitleCN":null,"AbstractTextCN":null,"PMCID":null,"EPubDate":"2025/1/1 0:00:00","PubModel":"eCollection","JCR":"Q1","JCRName":"Pharmacology, Toxicology and Pharmaceutics","Score":null,"Total":0}
引用次数: 0

Abstract

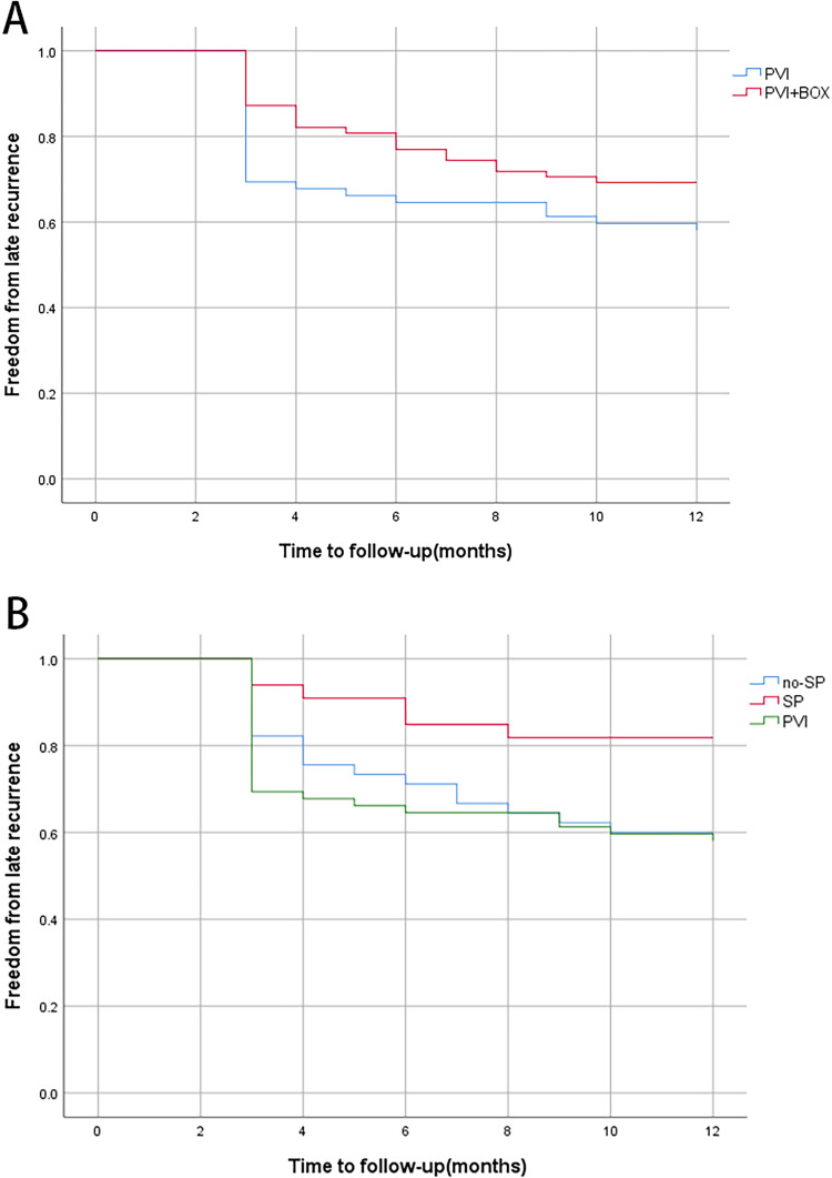
Objective: This study aimed to examine the long-term effects of left atrial posterior wall spontaneous potential (SP) in patients with non-paroxysmal atrial fibrillation (AF) who underwent pulmonary vein isolation (PVI) combined with left atrial posterior wall isolation (PVI+BOX) ablation.

Methods: Clinical data were retrospectively collected from 140 patients with symptomatic non-paroxysmal atrial fibrillation (NPAF) who underwent first-time radiofrequency ablation between 2022 and 2023. Based on the surgical procedure, patients were categorized into the pulmonary vein isolation group (PVI group) and the pulmonary vein isolation + left atrial posterior wall isolation group (PVI+BOX group). The PVI+BOX group was further subdivided into the spontaneous potential group (SP group) and the no-spontaneous potential group (no-SP group) based on the presence of SP after left atrial posterior wall isolation. Patients underwent monthly follow-ups in the clinic or via telephone and received 72-hour dynamic electrocardiography (ECG) at 3 and 12 months postoperatively. AF recurrence was compared among the groups, and factors associated with recurrence following AF ablation were analyzed.

Results: The PVI+BOX group included 78 cases, with 45 in the no-SP group and 33 in the SP group, while the PVI group comprised 62 cases. No significant difference was observed in the postoperative recurrence-free rate between the PVI+BOX and PVI groups. However, the SP group exhibited a higher postoperative recurrence-free rate compared to both the no-SP group (p = 0.039) and the PVI group (p = 0.020). No significant difference was found in the late recurrence-free rate between the no-SP and PVI groups. Multivariate logistic regression analysis indicated that the duration of AF and the presence of left atrial posterior wall SP were independent risk factors for post-ablation recurrence in patients with NPAF.

Conclusion: The presence of SP post-left atrial posterior wall isolation suggests a better long-term outcome in patients with NPAF following PVI+BOX catheter ablation.

Abstract Image

Abstract Image

非阵发性心房颤动左心房后壁隔离和射频消融自发性电位的预后价值。
目的:探讨肺静脉隔离(PVI)联合左房后壁隔离(PVI+BOX)消融术对非阵发性心房颤动(AF)患者左房后壁自发电位(SP)的长期影响。方法:回顾性收集2022年至2023年间首次射频消融的140例有症状的非阵发性心房颤动(NPAF)患者的临床资料。根据手术方式将患者分为肺静脉隔离组(PVI组)和肺静脉隔离+左房后壁隔离组(PVI+BOX组)。根据左房后壁隔离后是否存在自发性电位,将PVI+BOX组进一步分为自发电位组(SP组)和无自发电位组(no-SP组)。患者每月在诊所或通过电话随访,并在术后3个月和12个月接受72小时动态心电图(ECG)检查。比较各组间房颤复发率,分析房颤消融后复发的相关因素。结果:PVI+BOX组78例,无SP组45例,SP组33例,PVI组62例。PVI+BOX组与PVI组术后无复发率差异无统计学意义。然而,SP组术后无复发率高于无SP组(p = 0.039)和PVI组(p = 0.020)。无sp组与PVI组晚期无复发率差异无统计学意义。多因素logistic回归分析显示房颤持续时间和左房后壁SP的存在是NPAF患者消融后复发的独立危险因素。结论:左心房后壁隔离后存在SP提示PVI+BOX导管消融后NPAF患者有较好的长期预后。
本文章由计算机程序翻译,如有差异,请以英文原文为准。
求助全文
约1分钟内获得全文 求助全文
来源期刊
Therapeutics and Clinical Risk Management
Therapeutics and Clinical Risk Management HEALTH CARE SCIENCES & SERVICES-
CiteScore
5.30
自引率
3.60%
发文量
139
审稿时长
16 weeks
期刊介绍: Therapeutics and Clinical Risk Management is an international, peer-reviewed journal of clinical therapeutics and risk management, focusing on concise rapid reporting of clinical studies in all therapeutic areas, outcomes, safety, and programs for the effective, safe, and sustained use of medicines, therapeutic and surgical interventions in all clinical areas. The journal welcomes submissions covering original research, clinical and epidemiological studies, reviews, guidelines, expert opinion and commentary. The journal will consider case reports but only if they make a valuable and original contribution to the literature. As of 18th March 2019, Therapeutics and Clinical Risk Management will no longer consider meta-analyses for publication. The journal does not accept study protocols, animal-based or cell line-based studies.
×
引用
GB/T 7714-2015
复制
MLA
复制
APA
复制
导出至
BibTeX EndNote RefMan NoteFirst NoteExpress
×
提示
您的信息不完整,为了账户安全,请先补充。
现在去补充
×
提示
您因"违规操作"
具体请查看互助需知
我知道了
×
提示
确定
请完成安全验证×
copy
已复制链接
快去分享给好友吧!
我知道了
右上角分享
点击右上角分享
0
联系我们:info@booksci.cn Book学术提供免费学术资源搜索服务,方便国内外学者检索中英文文献。致力于提供最便捷和优质的服务体验。 Copyright © 2023 布克学术 All rights reserved.
京ICP备2023020795号-1
ghs 京公网安备 11010802042870号
Book学术文献互助
Book学术文献互助群
群 号:604180095
Book学术官方微信