(η4-Tri­methyl­ene­methane)(1,1,1-tris­{[bis­(4-meth­oxy­phen­yl)phosphan­yl]meth­yl}ethane)ruthenium(II) diethyl ether hemisolvate

IUCrData Pub Date : 2025-06-01 DOI:10.1107/S2414314625005243
Carolin A. M. Stein , Elisabetta Alberico , Anke Spannenberg , Matthias Beller , Henrik Junge
{"title":"(η4-Tri­methyl­ene­methane)(1,1,1-tris­{[bis­(4-meth­oxy­phen­yl)phosphan­yl]meth­yl}ethane)ruthenium(II) diethyl ether hemisolvate","authors":"Carolin A. M. Stein ,&nbsp;Elisabetta Alberico ,&nbsp;Anke Spannenberg ,&nbsp;Matthias Beller ,&nbsp;Henrik Junge","doi":"10.1107/S2414314625005243","DOIUrl":null,"url":null,"abstract":"<div><div>In the title complex, the Ru<sup>II</sup> atom is coordinated by a 1,1,1-tris­{[bis­(4-meth­oxy­phen­yl)phosphan­yl]meth­yl}ethane ligand in κ<sup>3</sup>-coordination mode and an η<sup>4</sup>-coordinating tri­methyl­ene­methane ligand.</div></div><div><div>The title compound, [Ru(C<sub>47</sub>H<sub>51</sub>O<sub>6</sub>P<sub>3</sub>)(C<sub>4</sub>H<sub>6</sub>)]·0.5C<sub>4</sub>H<sub>10</sub>O, consists of an Ru<sup>II</sup> atom coordinated by 1,1,1-tris­{[bis­(4-meth­oxy­phen­yl)phosphan­yl]meth­yl}ethane in κ<sup>3</sup>-coordination mode and an η<sup>4</sup>-coordinating tri­methyl­ene­methane ligand. The complex mol­ecule is co-crystallized with a diethyl ether solvent mol­ecule. A half diethyl ether mol­ecule was considered, whereas additional disordered solvent mol­ecules were removed from the diffraction data with the SQUEEZE procedure in <em>PLATON</em> [Spek (2015<span><span>#</span></span>). <em>Acta Cryst</em>. C<strong>71</strong>, 9–18].<blockquote><div><span><figure><span><img><ol><li><span><span>Download: <span>Download high-res image (267KB)</span></span></span></li><li><span><span>Download: <span>Download full-size image</span></span></span></li></ol></span></figure></span></div></blockquote></div></div>","PeriodicalId":94324,"journal":{"name":"IUCrData","volume":"10 6","pages":""},"PeriodicalIF":0.0000,"publicationDate":"2025-06-01","publicationTypes":"Journal Article","fieldsOfStudy":null,"isOpenAccess":false,"openAccessPdf":"","citationCount":"0","resultStr":null,"platform":"Semanticscholar","paperid":null,"PeriodicalName":"IUCrData","FirstCategoryId":"1085","ListUrlMain":"https://www.sciencedirect.com/org/science/article/pii/S241431462500046X","RegionNum":0,"RegionCategory":null,"ArticlePicture":[],"TitleCN":null,"AbstractTextCN":null,"PMCID":null,"EPubDate":"","PubModel":"","JCR":"","JCRName":"","Score":null,"Total":0}
引用次数: 0

Abstract

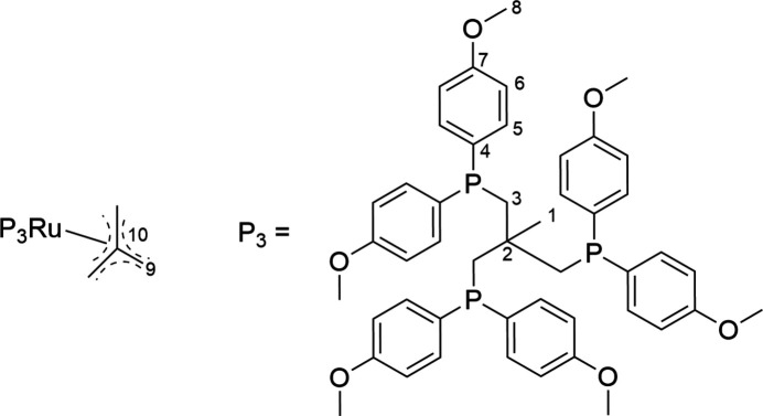
In the title complex, the RuII atom is coordinated by a 1,1,1-tris­{[bis­(4-meth­oxy­phen­yl)phosphan­yl]meth­yl}ethane ligand in κ3-coordination mode and an η4-coordinating tri­methyl­ene­methane ligand.
The title compound, [Ru(C47H51O6P3)(C4H6)]·0.5C4H10O, consists of an RuII atom coordinated by 1,1,1-tris­{[bis­(4-meth­oxy­phen­yl)phosphan­yl]meth­yl}ethane in κ3-coordination mode and an η4-coordinating tri­methyl­ene­methane ligand. The complex mol­ecule is co-crystallized with a diethyl ether solvent mol­ecule. A half diethyl ether mol­ecule was considered, whereas additional disordered solvent mol­ecules were removed from the diffraction data with the SQUEEZE procedure in PLATON [Spek (2015#). Acta Cryst. C71, 9–18].
  1. Download: Download high-res image (267KB)
  2. Download: Download full-size image

Abstract Image

Abstract Image

Abstract Image

(η - 4-三甲基-甲烷)(1,1,1-三-{[双-(4-甲氧基-苯基)磷基]甲基基}乙烷)钌(II)二乙醚半磺酸盐。
标题化合物[Ru(c47h5106p3)(C4H6)]·0.5 5c4h100由1,1,1,1-三-{[双-(4-甲基-氧-苯基)磷-基]甲基}乙烷配位的RuII原子和一个η - 4配位的三甲基-甲烷配体组成。该配合物分子与乙醚溶剂分子共结晶。考虑了半乙醚分子,而使用PLATON [Spek(2015▸)中的SQUEEZE程序从衍射数据中删除了额外的无序溶剂分子。Acta结晶。C71, 9到18]。
本文章由计算机程序翻译,如有差异,请以英文原文为准。
求助全文
约1分钟内获得全文 求助全文
来源期刊
CiteScore
0.30
自引率
0.00%
发文量
0
×
引用
GB/T 7714-2015
复制
MLA
复制
APA
复制
导出至
BibTeX EndNote RefMan NoteFirst NoteExpress
×
提示
您的信息不完整,为了账户安全,请先补充。
现在去补充
×
提示
您因"违规操作"
具体请查看互助需知
我知道了
×
提示
确定
请完成安全验证×
copy
已复制链接
快去分享给好友吧!
我知道了
右上角分享
点击右上角分享
0
联系我们:info@booksci.cn Book学术提供免费学术资源搜索服务,方便国内外学者检索中英文文献。致力于提供最便捷和优质的服务体验。 Copyright © 2023 布克学术 All rights reserved.
京ICP备2023020795号-1
ghs 京公网安备 11010802042870号
Book学术文献互助
Book学术文献互助群
群 号:604180095
Book学术官方微信