Anchorage accurately assembles anchor-flanked synthetic long reads.

IF 1.7 4区 生物学 Q4 BIOCHEMICAL RESEARCH METHODS
Xiaofei Carl Zang, Xiang Li, Kyle Metcalfe, Tuval Ben-Yehezkel, Ryan Kelley, Mingfu Shao
{"title":"Anchorage accurately assembles anchor-flanked synthetic long reads.","authors":"Xiaofei Carl Zang, Xiang Li, Kyle Metcalfe, Tuval Ben-Yehezkel, Ryan Kelley, Mingfu Shao","doi":"10.1186/s13015-025-00288-4","DOIUrl":null,"url":null,"abstract":"<p><p>Modern sequencing technologies allow for the addition of short-sequence tags, known as anchors, to both ends of a captured molecule. Anchors are useful in assembling the full-length sequence of a captured molecule as they can be used to accurately determine the endpoints. One representative of such anchor-enabled technology is LoopSeq Solo, a synthetic long read (SLR) sequencing protocol. LoopSeq Solo also achieves ultra-high sequencing depth and high purity of short reads covering the entire captured molecule. Despite the availability of many assembly methods, constructing full-length sequence from these anchor-enabled, ultra-high coverage sequencing data remains challenging due to the complexity of the underlying assembly graphs and the lack of specific algorithms leveraging anchors. We present Anchorage, a novel assembler that performs anchor-guided assembly for ultra-high-depth sequencing data. Anchorage starts with a kmer-based approach for precise estimation of molecule lengths. It then formulates the assembly problem as finding an optimal path that connects the two nodes determined by anchors in the underlying compact de Bruijn graph. The optimality is defined as maximizing the weight of the smallest node while matching the estimated sequence length. Anchorage uses a modified dynamic programming algorithm to efficiently find the optimal path. Through both simulations and real data, we show that Anchorage outperforms existing assembly methods, particularly in the presence of sequencing artifacts. Anchorage fills the gap in assembling anchor-enabled data. We anticipate its broad use as anchor-enabled sequencing technologies become prevalent. Anchorage is freely available at https://github.com/Shao-Group/anchorage ; the scripts and documents that can reproduce all experiments in this manuscript are available at https://github.com/Shao-Group/anchorage-test .</p>","PeriodicalId":50823,"journal":{"name":"Algorithms for Molecular Biology","volume":"20 1","pages":"12"},"PeriodicalIF":1.7000,"publicationDate":"2025-07-06","publicationTypes":"Journal Article","fieldsOfStudy":null,"isOpenAccess":false,"openAccessPdf":"https://www.ncbi.nlm.nih.gov/pmc/articles/PMC12232771/pdf/","citationCount":"0","resultStr":null,"platform":"Semanticscholar","paperid":null,"PeriodicalName":"Algorithms for Molecular Biology","FirstCategoryId":"99","ListUrlMain":"https://doi.org/10.1186/s13015-025-00288-4","RegionNum":4,"RegionCategory":"生物学","ArticlePicture":[],"TitleCN":null,"AbstractTextCN":null,"PMCID":null,"EPubDate":"","PubModel":"","JCR":"Q4","JCRName":"BIOCHEMICAL RESEARCH METHODS","Score":null,"Total":0}
引用次数: 0

Abstract

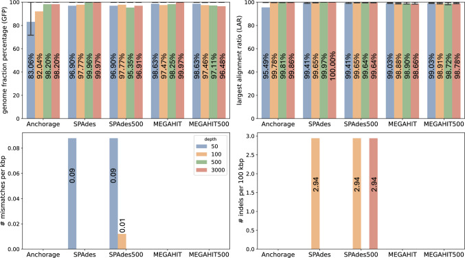
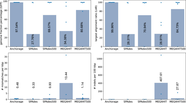
Modern sequencing technologies allow for the addition of short-sequence tags, known as anchors, to both ends of a captured molecule. Anchors are useful in assembling the full-length sequence of a captured molecule as they can be used to accurately determine the endpoints. One representative of such anchor-enabled technology is LoopSeq Solo, a synthetic long read (SLR) sequencing protocol. LoopSeq Solo also achieves ultra-high sequencing depth and high purity of short reads covering the entire captured molecule. Despite the availability of many assembly methods, constructing full-length sequence from these anchor-enabled, ultra-high coverage sequencing data remains challenging due to the complexity of the underlying assembly graphs and the lack of specific algorithms leveraging anchors. We present Anchorage, a novel assembler that performs anchor-guided assembly for ultra-high-depth sequencing data. Anchorage starts with a kmer-based approach for precise estimation of molecule lengths. It then formulates the assembly problem as finding an optimal path that connects the two nodes determined by anchors in the underlying compact de Bruijn graph. The optimality is defined as maximizing the weight of the smallest node while matching the estimated sequence length. Anchorage uses a modified dynamic programming algorithm to efficiently find the optimal path. Through both simulations and real data, we show that Anchorage outperforms existing assembly methods, particularly in the presence of sequencing artifacts. Anchorage fills the gap in assembling anchor-enabled data. We anticipate its broad use as anchor-enabled sequencing technologies become prevalent. Anchorage is freely available at https://github.com/Shao-Group/anchorage ; the scripts and documents that can reproduce all experiments in this manuscript are available at https://github.com/Shao-Group/anchorage-test .

Abstract Image

Abstract Image

Abstract Image

锚固准确地组装锚侧合成长读取。
现代测序技术允许在捕获分子的两端添加短序列标签,称为锚点。锚点在组装捕获分子的全长序列时是有用的,因为它们可以用来准确地确定端点。这种锚定技术的一个代表是LoopSeq Solo,一种合成长读(SLR)测序协议。LoopSeq Solo还实现了覆盖整个捕获分子的超高测序深度和高纯度的短读。尽管有许多装配方法可用,但由于底层装配图的复杂性和缺乏利用锚点的特定算法,从这些锚点支持的超高覆盖率测序数据构建全长序列仍然具有挑战性。我们提出了Anchorage,一种新型装配器,可执行锚导装配超高深度测序数据。安克雷奇开始与基于kmer精确估计分子长度的方法。然后,它将装配问题表述为寻找连接两个节点的最优路径,这两个节点由底层紧凑de Bruijn图中的锚点确定。最优性定义为在匹配估计序列长度的同时使最小节点的权值最大化。Anchorage采用一种改进的动态规划算法来高效地寻找最优路径。通过模拟和实际数据,我们表明Anchorage优于现有的装配方法,特别是在存在测序工件的情况下。锚固填补了收集锚固数据的空白。随着锚定测序技术的普及,我们预计其将得到广泛应用。安克雷奇可以免费访问https://github.com/Shao-Group/anchorage;可以复制本手稿中所有实验的脚本和文档可在https://github.com/Shao-Group/anchorage-test上获得。
本文章由计算机程序翻译,如有差异,请以英文原文为准。
求助全文
约1分钟内获得全文 求助全文
来源期刊
Algorithms for Molecular Biology
Algorithms for Molecular Biology 生物-生化研究方法
CiteScore
2.40
自引率
10.00%
发文量
16
审稿时长
>12 weeks
期刊介绍: Algorithms for Molecular Biology publishes articles on novel algorithms for biological sequence and structure analysis, phylogeny reconstruction, and combinatorial algorithms and machine learning. Areas of interest include but are not limited to: algorithms for RNA and protein structure analysis, gene prediction and genome analysis, comparative sequence analysis and alignment, phylogeny, gene expression, machine learning, and combinatorial algorithms. Where appropriate, manuscripts should describe applications to real-world data. However, pure algorithm papers are also welcome if future applications to biological data are to be expected, or if they address complexity or approximation issues of novel computational problems in molecular biology. Articles about novel software tools will be considered for publication if they contain some algorithmically interesting aspects.
×
引用
GB/T 7714-2015
复制
MLA
复制
APA
复制
导出至
BibTeX EndNote RefMan NoteFirst NoteExpress
×
提示
您的信息不完整,为了账户安全,请先补充。
现在去补充
×
提示
您因"违规操作"
具体请查看互助需知
我知道了
×
提示
确定
请完成安全验证×
copy
已复制链接
快去分享给好友吧!
我知道了
右上角分享
点击右上角分享
0
联系我们:info@booksci.cn Book学术提供免费学术资源搜索服务,方便国内外学者检索中英文文献。致力于提供最便捷和优质的服务体验。 Copyright © 2023 布克学术 All rights reserved.
京ICP备2023020795号-1
ghs 京公网安备 11010802042870号
Book学术文献互助
Book学术文献互助群
群 号:604180095
Book学术官方微信