Organoids as powerful models of endometrium epithelium in transcriptomic, cellular and functional mimicry.

IF 6.2 2区 生物学 Q1 BIOCHEMISTRY & MOLECULAR BIOLOGY
Martina Ciprietti, Celine Bueds, Hugo Vankelecom, Joris Vriens
{"title":"Organoids as powerful models of endometrium epithelium in transcriptomic, cellular and functional mimicry.","authors":"Martina Ciprietti, Celine Bueds, Hugo Vankelecom, Joris Vriens","doi":"10.1007/s00018-025-05807-5","DOIUrl":null,"url":null,"abstract":"<p><p>Organoids have emerged as revolutionary biomimetic systems that offer a physiologically relevant in vitro model to study the specific tissue or organ of origin. In the field of female reproductive biology, endometrial organoids have proven their high value in the exploration of intricate physiological processes of the endometrium such as hormonal differentiation (decidualization) and embryo-receptivity, as well as to understand the pathophysiology of diseases associated with endometrial deficits. Moreover, organoid-based adhesion models have emerged as appropriate in vitro platform that faithfully reproduces the receptive endometrium. These in vitro models offer new tools to explore the molecular mechanisms of the early embryo-endometrium interaction and to bypass the barrier of ethical restrictions. This review highlights recent advances in the endometrial research domain, focusing on endometrial epithelial organoid models that closely replicate the cellular, transcriptomic and functional characteristics of the native tissue. A comprehensive overview of the transcriptomic changes during the menstrual cycle is provided, as well as of the detailed comparison between the different cell populations of the endometrium and the endometrial organoid model. Here, we provide evidence that endometrial organoids mimic the native endometrial tissue and offer relevant tools to advance our understanding of endometrial (patho)biology, enabling us to gain insights into molecular pathways.</p>","PeriodicalId":10007,"journal":{"name":"Cellular and Molecular Life Sciences","volume":"82 1","pages":"272"},"PeriodicalIF":6.2000,"publicationDate":"2025-07-07","publicationTypes":"Journal Article","fieldsOfStudy":null,"isOpenAccess":false,"openAccessPdf":"https://www.ncbi.nlm.nih.gov/pmc/articles/PMC12234953/pdf/","citationCount":"0","resultStr":null,"platform":"Semanticscholar","paperid":null,"PeriodicalName":"Cellular and Molecular Life Sciences","FirstCategoryId":"99","ListUrlMain":"https://doi.org/10.1007/s00018-025-05807-5","RegionNum":2,"RegionCategory":"生物学","ArticlePicture":[],"TitleCN":null,"AbstractTextCN":null,"PMCID":null,"EPubDate":"","PubModel":"","JCR":"Q1","JCRName":"BIOCHEMISTRY & MOLECULAR BIOLOGY","Score":null,"Total":0}
引用次数: 0

Abstract

Organoids have emerged as revolutionary biomimetic systems that offer a physiologically relevant in vitro model to study the specific tissue or organ of origin. In the field of female reproductive biology, endometrial organoids have proven their high value in the exploration of intricate physiological processes of the endometrium such as hormonal differentiation (decidualization) and embryo-receptivity, as well as to understand the pathophysiology of diseases associated with endometrial deficits. Moreover, organoid-based adhesion models have emerged as appropriate in vitro platform that faithfully reproduces the receptive endometrium. These in vitro models offer new tools to explore the molecular mechanisms of the early embryo-endometrium interaction and to bypass the barrier of ethical restrictions. This review highlights recent advances in the endometrial research domain, focusing on endometrial epithelial organoid models that closely replicate the cellular, transcriptomic and functional characteristics of the native tissue. A comprehensive overview of the transcriptomic changes during the menstrual cycle is provided, as well as of the detailed comparison between the different cell populations of the endometrium and the endometrial organoid model. Here, we provide evidence that endometrial organoids mimic the native endometrial tissue and offer relevant tools to advance our understanding of endometrial (patho)biology, enabling us to gain insights into molecular pathways.

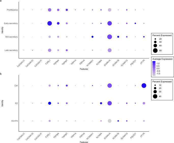
Abstract Image

Abstract Image

Abstract Image

类器官是子宫内膜上皮在转录组学、细胞学和功能模拟中的强大模型。
类器官是一种革命性的仿生系统,它提供了一种与生理相关的体外模型来研究特定组织或器官的起源。在女性生殖生物学领域,子宫内膜类器官在探索子宫内膜复杂的生理过程,如激素分化(脱个体化)和胚胎接受性,以及了解子宫内膜缺陷相关疾病的病理生理方面具有很高的价值。此外,基于器官的黏附模型已经成为忠实地复制接受子宫内膜的合适的体外平台。这些体外模型为探索早期胚胎-子宫内膜相互作用的分子机制和绕过伦理限制的障碍提供了新的工具。本文综述了子宫内膜研究领域的最新进展,重点介绍了子宫内膜上皮类器官模型,该模型密切复制了天然组织的细胞、转录组学和功能特征。全面概述了月经周期中转录组学的变化,以及子宫内膜不同细胞群和子宫内膜类器官模型之间的详细比较。在这里,我们提供了子宫内膜类器官模拟天然子宫内膜组织的证据,并提供了相关工具,以促进我们对子宫内膜(病理)生物学的理解,使我们能够深入了解分子途径。
本文章由计算机程序翻译,如有差异,请以英文原文为准。
求助全文
约1分钟内获得全文 求助全文
来源期刊
Cellular and Molecular Life Sciences
Cellular and Molecular Life Sciences 生物-生化与分子生物学
CiteScore
13.20
自引率
1.20%
发文量
546
审稿时长
1.0 months
期刊介绍: Journal Name: Cellular and Molecular Life Sciences (CMLS) Location: Basel, Switzerland Focus: Multidisciplinary journal Publishes research articles, reviews, multi-author reviews, and visions & reflections articles Coverage: Latest aspects of biological and biomedical research Areas include: Biochemistry and molecular biology Cell biology Molecular and cellular aspects of biomedicine Neuroscience Pharmacology Immunology Additional Features: Welcomes comments on any article published in CMLS Accepts suggestions for topics to be covered
×
引用
GB/T 7714-2015
复制
MLA
复制
APA
复制
导出至
BibTeX EndNote RefMan NoteFirst NoteExpress
×
提示
您的信息不完整,为了账户安全,请先补充。
现在去补充
×
提示
您因"违规操作"
具体请查看互助需知
我知道了
×
提示
确定
请完成安全验证×
copy
已复制链接
快去分享给好友吧!
我知道了
右上角分享
点击右上角分享
0
联系我们:info@booksci.cn Book学术提供免费学术资源搜索服务,方便国内外学者检索中英文文献。致力于提供最便捷和优质的服务体验。 Copyright © 2023 布克学术 All rights reserved.
京ICP备2023020795号-1
ghs 京公网安备 11010802042870号
Book学术文献互助
Book学术文献互助群
群 号:604180095
Book学术官方微信