Basing healthcare decisions on value: patient-reported outcomes for patients diagnosed with breast cancer in a European cohort.

IF 3.9 3区 医学 Q1 PUBLIC, ENVIRONMENTAL & OCCUPATIONAL HEALTH
Ania Gorostiza, Jon Cacicedo, Itxaso Alayo, Andere Frias, Patricia Cobos Baena, Inés Gallego Camiña, Isabel Álvarez López, Marta Fernández Calleja, Alina Rigabert, Maria Victoria Alonso Martínez, Carolina Varela Rodríguez, Valentina Danesi, Andrea Roncadori, Mario Campone, Ane Fullaondo, Borja García-Lorenzo
{"title":"Basing healthcare decisions on value: patient-reported outcomes for patients diagnosed with breast cancer in a European cohort.","authors":"Ania Gorostiza, Jon Cacicedo, Itxaso Alayo, Andere Frias, Patricia Cobos Baena, Inés Gallego Camiña, Isabel Álvarez López, Marta Fernández Calleja, Alina Rigabert, Maria Victoria Alonso Martínez, Carolina Varela Rodríguez, Valentina Danesi, Andrea Roncadori, Mario Campone, Ane Fullaondo, Borja García-Lorenzo","doi":"10.1093/eurpub/ckaf064","DOIUrl":null,"url":null,"abstract":"<p><p>Improvements in breast cancer survival rate have been achieved through a variety of multimodal therapeutic approaches, which play a key role in the patients' healthcare pathway and their Patient-Reported Outcomes (PROs) from a Value-Based Healthcare (VBHC) perspective. This paper analyses differences in PROs of patients diagnosed with breast cancer according to their healthcare pathway. A cohort of 690 patients diagnosed with breast cancer between 2018 and 2020 at six European sites was used. PROs were assessed at baseline and 6 months using the International Consortium for Health Outcome Measures standard set. Archetypes defined by patient characteristics and treatment trajectories served as the basis for comparison. Multivariate linear regression models were used to analyse differences in PROs across archetypes. Functional scores generally worsened over 6 months, particularly in physical functioning, whereas emotional functioning improved. Archetypes undergoing mastectomy, with or without reconstruction, showed significant decreases in body image perception and satisfaction with breasts. Pain, fatigue, and peripheral symptoms were prevalent in most archetypes, with those receiving chemotherapy reporting the greatest symptom burden. Patients with in situ carcinoma and patients undergoing conservative surgery plus radiotherapy showed minimal deterioration. The use of PROs in a real-world setting enables the identification of differences across patient archetypes based on their therapeutic pathways. This information provides valuable insights for refining patient-centred care guiding VBHC strategies in oncology, developing of personalized care solutions, and facilitating Shared-Decision Making.</p>","PeriodicalId":12059,"journal":{"name":"European Journal of Public Health","volume":" ","pages":"835-843"},"PeriodicalIF":3.9000,"publicationDate":"2025-10-01","publicationTypes":"Journal Article","fieldsOfStudy":null,"isOpenAccess":false,"openAccessPdf":"https://www.ncbi.nlm.nih.gov/pmc/articles/PMC12529264/pdf/","citationCount":"0","resultStr":null,"platform":"Semanticscholar","paperid":null,"PeriodicalName":"European Journal of Public Health","FirstCategoryId":"3","ListUrlMain":"https://doi.org/10.1093/eurpub/ckaf064","RegionNum":3,"RegionCategory":"医学","ArticlePicture":[],"TitleCN":null,"AbstractTextCN":null,"PMCID":null,"EPubDate":"","PubModel":"","JCR":"Q1","JCRName":"PUBLIC, ENVIRONMENTAL & OCCUPATIONAL HEALTH","Score":null,"Total":0}
引用次数: 0

Abstract

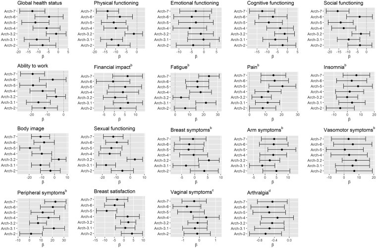
Improvements in breast cancer survival rate have been achieved through a variety of multimodal therapeutic approaches, which play a key role in the patients' healthcare pathway and their Patient-Reported Outcomes (PROs) from a Value-Based Healthcare (VBHC) perspective. This paper analyses differences in PROs of patients diagnosed with breast cancer according to their healthcare pathway. A cohort of 690 patients diagnosed with breast cancer between 2018 and 2020 at six European sites was used. PROs were assessed at baseline and 6 months using the International Consortium for Health Outcome Measures standard set. Archetypes defined by patient characteristics and treatment trajectories served as the basis for comparison. Multivariate linear regression models were used to analyse differences in PROs across archetypes. Functional scores generally worsened over 6 months, particularly in physical functioning, whereas emotional functioning improved. Archetypes undergoing mastectomy, with or without reconstruction, showed significant decreases in body image perception and satisfaction with breasts. Pain, fatigue, and peripheral symptoms were prevalent in most archetypes, with those receiving chemotherapy reporting the greatest symptom burden. Patients with in situ carcinoma and patients undergoing conservative surgery plus radiotherapy showed minimal deterioration. The use of PROs in a real-world setting enables the identification of differences across patient archetypes based on their therapeutic pathways. This information provides valuable insights for refining patient-centred care guiding VBHC strategies in oncology, developing of personalized care solutions, and facilitating Shared-Decision Making.

Abstract Image

Abstract Image

基于价值的医疗保健决策:欧洲队列中诊断为乳腺癌的患者报告的结果
乳腺癌生存率的提高是通过多种多模式治疗方法实现的,从基于价值的医疗保健(VBHC)的角度来看,这些治疗方法在患者的医疗保健途径和患者报告的结果(PROs)中起着关键作用。本文分析了不同保健途径乳腺癌患者pro的差异。在2018年至2020年期间,欧洲6个地点的690名被诊断患有乳腺癌的患者进行了队列研究。在基线和6个月时使用国际健康结果测量协会标准集评估PROs。由患者特征和治疗轨迹定义的原型作为比较的基础。采用多元线性回归模型分析不同原型间PROs的差异。6个月后,功能评分普遍下降,尤其是身体功能,而情绪功能则有所改善。接受乳房切除术的原型,无论是否重建,对身体形象的感知和对乳房的满意度都显着下降。疼痛、疲劳和周围症状在大多数原型中普遍存在,接受化疗的患者报告的症状负担最大。原位癌患者和接受保守手术加放疗的患者病情恶化最小。在现实环境中使用pro可以根据患者的治疗途径识别患者原型的差异。这些信息为完善以患者为中心的护理提供了有价值的见解,指导肿瘤学中的VBHC策略,开发个性化护理解决方案,并促进共享决策。
本文章由计算机程序翻译,如有差异,请以英文原文为准。
求助全文
约1分钟内获得全文 求助全文
来源期刊
European Journal of Public Health
European Journal of Public Health 医学-公共卫生、环境卫生与职业卫生
CiteScore
5.60
自引率
2.30%
发文量
2039
审稿时长
3-8 weeks
期刊介绍: The European Journal of Public Health (EJPH) is a multidisciplinary journal aimed at attracting contributions from epidemiology, health services research, health economics, social sciences, management sciences, ethics and law, environmental health sciences, and other disciplines of relevance to public health. The journal provides a forum for discussion and debate of current international public health issues, with a focus on the European Region. Bi-monthly issues contain peer-reviewed original articles, editorials, commentaries, book reviews, news, letters to the editor, announcements of events, and various other features.
×
引用
GB/T 7714-2015
复制
MLA
复制
APA
复制
导出至
BibTeX EndNote RefMan NoteFirst NoteExpress
×
提示
您的信息不完整,为了账户安全,请先补充。
现在去补充
×
提示
您因"违规操作"
具体请查看互助需知
我知道了
×
提示
确定
请完成安全验证×
copy
已复制链接
快去分享给好友吧!
我知道了
右上角分享
点击右上角分享
0
联系我们:info@booksci.cn Book学术提供免费学术资源搜索服务,方便国内外学者检索中英文文献。致力于提供最便捷和优质的服务体验。 Copyright © 2023 布克学术 All rights reserved.
京ICP备2023020795号-1
ghs 京公网安备 11010802042870号
Book学术文献互助
Book学术文献互助群
群 号:604180095
Book学术官方微信