Prospective, Observational Study of the Clinical Outcomes of FVIII Treatment in Adults and Adolescents with Severe Haemophilia A.

IF 1.8
TH open : companion journal to thrombosis and haemostasis Pub Date : 2025-06-17 eCollection Date: 2025-01-01 DOI:10.1055/a-2621-9749
Pratima Chowdary, Liane Khoo, Michael Wang, Hervé Chambost, Anthony K C Chan, Annemieke Willemze, Johannes Oldenburg
{"title":"Prospective, Observational Study of the Clinical Outcomes of FVIII Treatment in Adults and Adolescents with Severe Haemophilia A.","authors":"Pratima Chowdary, Liane Khoo, Michael Wang, Hervé Chambost, Anthony K C Chan, Annemieke Willemze, Johannes Oldenburg","doi":"10.1055/a-2621-9749","DOIUrl":null,"url":null,"abstract":"<p><strong>Objective: </strong>To assess real-world treatment patterns and outcomes in previously treated patients ≥12 years old with severe haemophilia A treated with marketed factor VIII (FVIII) replacement products.</p><p><strong>Methods: </strong>Data were collected prospectively between 25 January 2019 and 30 November 2020 across 45 sites in 17 countries. Primary endpoint was annualized bleed rate (ABR). Secondary endpoints included factor consumption, bleed treatment, joint health, and safety. Exploratory endpoints included pain and quality of life outcomes.</p><p><strong>Results: </strong>A total of 157 patients received ≥1 FVIII injection (prophylaxis <i>n</i>  = 139, on-demand <i>n</i>  = 19). Mean (standard deviation; SD) observation period was 43.1 (13.3) weeks. Median (quarter [Q]1, Q3) ABR was 2.0 (0.0, 5.7) for those on prophylaxis. Those receiving standard half-life FVIII products or extended half-life FVIII products had a median (IQR) ABR of 2.2 (0.0, 6.1) and 1.3 (0.0, 5.0), respectively. Still, only 35% of patients on prophylaxis experienced zero bleeds and 18% had five or more bleeds in a year. Approximately 23% of bleeding episodes required >1 FVIII dose for resolution. The mean (SD) number of routine prophylaxis injections/week was 2.2 (1.1). Median (Q1, Q3) annualized factor consumption for patients on prophylaxis was 4,106.4 (3,151.6, 5,291.2) IU/kg/year. No changes in Haemophilia Joint Health Score (mean [SD] of 16.1 [19.3] versus 15.7 [17.7]), PROMIS pain intensity 3a T-score (mean [SD] 41.6 [8.2] versus 40.9 [9.1]), or Haem-A-QoL (mean [SD] 30.6 [17.3] versus 29.5 [17.4]) were observed between baseline and the end of the observation period for those using prophylaxis.</p><p><strong>Conclusions: </strong>Prophylaxis using standard or extended half-life FVIII replacement therapies achieves adequate haemostatic control in only about half of patients, with some experiencing very poor outcomes. Real-world data highlight the urgent need to optimize prophylaxis to enhance haemostatic control, ideally achieving a zero ABR and its associated benefits.</p>","PeriodicalId":94220,"journal":{"name":"TH open : companion journal to thrombosis and haemostasis","volume":"9 ","pages":"a26219749"},"PeriodicalIF":1.8000,"publicationDate":"2025-06-17","publicationTypes":"Journal Article","fieldsOfStudy":null,"isOpenAccess":false,"openAccessPdf":"https://www.ncbi.nlm.nih.gov/pmc/articles/PMC12223957/pdf/","citationCount":"0","resultStr":null,"platform":"Semanticscholar","paperid":null,"PeriodicalName":"TH open : companion journal to thrombosis and haemostasis","FirstCategoryId":"1085","ListUrlMain":"https://doi.org/10.1055/a-2621-9749","RegionNum":0,"RegionCategory":null,"ArticlePicture":[],"TitleCN":null,"AbstractTextCN":null,"PMCID":null,"EPubDate":"2025/1/1 0:00:00","PubModel":"eCollection","JCR":"","JCRName":"","Score":null,"Total":0}
引用次数: 0

Abstract

Objective: To assess real-world treatment patterns and outcomes in previously treated patients ≥12 years old with severe haemophilia A treated with marketed factor VIII (FVIII) replacement products.

Methods: Data were collected prospectively between 25 January 2019 and 30 November 2020 across 45 sites in 17 countries. Primary endpoint was annualized bleed rate (ABR). Secondary endpoints included factor consumption, bleed treatment, joint health, and safety. Exploratory endpoints included pain and quality of life outcomes.

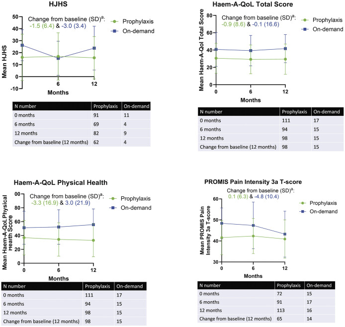
Results: A total of 157 patients received ≥1 FVIII injection (prophylaxis n  = 139, on-demand n  = 19). Mean (standard deviation; SD) observation period was 43.1 (13.3) weeks. Median (quarter [Q]1, Q3) ABR was 2.0 (0.0, 5.7) for those on prophylaxis. Those receiving standard half-life FVIII products or extended half-life FVIII products had a median (IQR) ABR of 2.2 (0.0, 6.1) and 1.3 (0.0, 5.0), respectively. Still, only 35% of patients on prophylaxis experienced zero bleeds and 18% had five or more bleeds in a year. Approximately 23% of bleeding episodes required >1 FVIII dose for resolution. The mean (SD) number of routine prophylaxis injections/week was 2.2 (1.1). Median (Q1, Q3) annualized factor consumption for patients on prophylaxis was 4,106.4 (3,151.6, 5,291.2) IU/kg/year. No changes in Haemophilia Joint Health Score (mean [SD] of 16.1 [19.3] versus 15.7 [17.7]), PROMIS pain intensity 3a T-score (mean [SD] 41.6 [8.2] versus 40.9 [9.1]), or Haem-A-QoL (mean [SD] 30.6 [17.3] versus 29.5 [17.4]) were observed between baseline and the end of the observation period for those using prophylaxis.

Conclusions: Prophylaxis using standard or extended half-life FVIII replacement therapies achieves adequate haemostatic control in only about half of patients, with some experiencing very poor outcomes. Real-world data highlight the urgent need to optimize prophylaxis to enhance haemostatic control, ideally achieving a zero ABR and its associated benefits.

Abstract Image

Abstract Image

FVIII治疗成人和青少年严重A型血友病临床结果的前瞻性观察性研究
目的:评估≥12岁重度血友病A患者使用已上市的因子VIII (FVIII)替代产品治疗的现实世界治疗模式和结果。方法:在2019年1月25日至2020年11月30日期间,在17个国家的45个地点前瞻性地收集数据。主要终点为年化出血率(ABR)。次要终点包括因素消耗、出血治疗、关节健康和安全性。探索性终点包括疼痛和生活质量结果。结果:157例患者接受≥1次FVIII注射(预防治疗139例,按需治疗19例)。平均值(标准差;SD)观察期为43.1(13.3)周。预防组的中位ABR为2.0(第一季度,第三季度)(0.0,5.7)。接受标准半衰期FVIII产品或延长半衰期FVIII产品的中位(IQR) ABR分别为2.2(0.0,6.1)和1.3(0.0,5.0)。尽管如此,只有35%接受预防治疗的患者一年内没有出血,18%的患者一年内出血5次或更多。约23%的出血发作需要bb101fviii剂量才能解决。常规预防注射的平均(SD)次数为2.2次/周(1.1次)。预防患者的年化因子消耗中位数(第一季度,第三季度)为4,106.4 (3,151.6,5,291.2)IU/kg/年。血友病关节健康评分(平均[SD] 16.1[19.3]对15.7 [17.7]),PROMIS疼痛强度3a t评分(平均[SD] 41.6[8.2]对40.9[9.1]),或haema - a - qol(平均[SD] 30.6[17.3]对29.5[17.4])在基线和观察期结束时均未观察到变化。结论:使用标准或延长半衰期FVIII替代疗法的预防性治疗仅在约一半的患者中达到充分的止血控制,其中一些患者的预后非常差。现实数据强调,迫切需要优化预防措施,以加强止血控制,理想情况下实现零ABR及其相关益处。
本文章由计算机程序翻译,如有差异,请以英文原文为准。
求助全文
约1分钟内获得全文 求助全文
来源期刊
自引率
0.00%
发文量
0
审稿时长
12 weeks
×
引用
GB/T 7714-2015
复制
MLA
复制
APA
复制
导出至
BibTeX EndNote RefMan NoteFirst NoteExpress
×
提示
您的信息不完整,为了账户安全,请先补充。
现在去补充
×
提示
您因"违规操作"
具体请查看互助需知
我知道了
×
提示
确定
请完成安全验证×
copy
已复制链接
快去分享给好友吧!
我知道了
右上角分享
点击右上角分享
0
联系我们:info@booksci.cn Book学术提供免费学术资源搜索服务,方便国内外学者检索中英文文献。致力于提供最便捷和优质的服务体验。 Copyright © 2023 布克学术 All rights reserved.
京ICP备2023020795号-1
ghs 京公网安备 11010802042870号
Book学术文献互助
Book学术文献互助群
群 号:604180095
Book学术官方微信