Urine-based assays for inpatients with HIV-associated tuberculosis in rural South Africa.

IF 2.3
Southern African journal of HIV medicine Pub Date : 2025-06-17 eCollection Date: 2025-01-01 DOI:10.4102/sajhivmed.v26i1.1705
Mbulelo Mntonintshi, Bianca Sossen, Hloni Bookholane, Aimee Lifson, Lisa Africa, René Goliath, Nicola Wearne, Andy Parrish, Graeme Meintjes
{"title":"Urine-based assays for inpatients with HIV-associated tuberculosis in rural South Africa.","authors":"Mbulelo Mntonintshi, Bianca Sossen, Hloni Bookholane, Aimee Lifson, Lisa Africa, René Goliath, Nicola Wearne, Andy Parrish, Graeme Meintjes","doi":"10.4102/sajhivmed.v26i1.1705","DOIUrl":null,"url":null,"abstract":"<p><strong>Background: </strong>Accurate non-sputum-based tuberculosis (TB) diagnostics are urgently needed to improve diagnostic yield and patient outcomes.</p><p><strong>Objectives: </strong>To compare the diagnostic accuracy and diagnostic yield of Urine Xpert Ultra (Urine-XPU) and Urine Determine<sup>TM</sup> TB Lipoarabinomannan (LAM) antigen test (AlereLAM) against both a microbiological and composite reference standard (MRS and CRS) in a rural, routine care setting in South Africa.</p><p><strong>Method: </strong>Adults (≥ 18 years) with HIV had sputum, urine and blood collected for comprehensive TB testing shortly after admission. Additionally, focused assessment with sonography for HIV-associated TB (FASH) was performed. The MRS was defined by Xpert Ultra or culture-based tests for <i>Mycobacterium tuberculosis</i>. The CRS incorporated these mycobacterial tests, FASH findings, and clinical response to empiric TB treatment. Follow-up was conducted at 3 months.</p><p><strong>Results: </strong>A total of 206 participants were enrolled, with a median age of 39 years and 63% were female. Using the MRS the sensitivity of AlereLAM was 45.2% (95% confidence interval [CI]: 31.2-60.1) and Urine-XPU, 59.5% (95%CI: 44.5-73.0); and the specificity of AlereLAM was 93.6% (95%CI: 88.2-96.6) and Urine-XPU 95.0% (95%CI: 90.0% - 97.6%). Urine-XPU and AlereLAM performed better than sputum Xpert Ultra (Sputum-XPU) in patients with more severe illness. Additionally, Urine-XPU showed potential for accurately detecting rifampicin resistance.</p><p><strong>Conclusion: </strong>Urine-XPU and AlereLAM demonstrated comparable diagnostic accuracy for TB in hospitalised adults with HIV. Integrating Urine-XPU alongside AlereLAM and Sputum-XPU may improve timely and accurate diagnosis of TB and rifampicin resistance. Further research is required to optimise the diagnosis-to-treatment pathway.</p>","PeriodicalId":94212,"journal":{"name":"Southern African journal of HIV medicine","volume":"26 1","pages":"1705"},"PeriodicalIF":2.3000,"publicationDate":"2025-06-17","publicationTypes":"Journal Article","fieldsOfStudy":null,"isOpenAccess":false,"openAccessPdf":"https://www.ncbi.nlm.nih.gov/pmc/articles/PMC12224061/pdf/","citationCount":"0","resultStr":null,"platform":"Semanticscholar","paperid":null,"PeriodicalName":"Southern African journal of HIV medicine","FirstCategoryId":"1085","ListUrlMain":"https://doi.org/10.4102/sajhivmed.v26i1.1705","RegionNum":0,"RegionCategory":null,"ArticlePicture":[],"TitleCN":null,"AbstractTextCN":null,"PMCID":null,"EPubDate":"2025/1/1 0:00:00","PubModel":"eCollection","JCR":"","JCRName":"","Score":null,"Total":0}
引用次数: 0

Abstract

Background: Accurate non-sputum-based tuberculosis (TB) diagnostics are urgently needed to improve diagnostic yield and patient outcomes.

Objectives: To compare the diagnostic accuracy and diagnostic yield of Urine Xpert Ultra (Urine-XPU) and Urine DetermineTM TB Lipoarabinomannan (LAM) antigen test (AlereLAM) against both a microbiological and composite reference standard (MRS and CRS) in a rural, routine care setting in South Africa.

Method: Adults (≥ 18 years) with HIV had sputum, urine and blood collected for comprehensive TB testing shortly after admission. Additionally, focused assessment with sonography for HIV-associated TB (FASH) was performed. The MRS was defined by Xpert Ultra or culture-based tests for Mycobacterium tuberculosis. The CRS incorporated these mycobacterial tests, FASH findings, and clinical response to empiric TB treatment. Follow-up was conducted at 3 months.

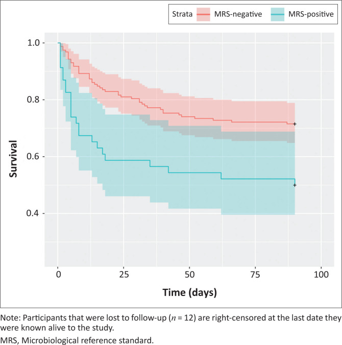
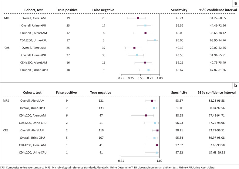
Results: A total of 206 participants were enrolled, with a median age of 39 years and 63% were female. Using the MRS the sensitivity of AlereLAM was 45.2% (95% confidence interval [CI]: 31.2-60.1) and Urine-XPU, 59.5% (95%CI: 44.5-73.0); and the specificity of AlereLAM was 93.6% (95%CI: 88.2-96.6) and Urine-XPU 95.0% (95%CI: 90.0% - 97.6%). Urine-XPU and AlereLAM performed better than sputum Xpert Ultra (Sputum-XPU) in patients with more severe illness. Additionally, Urine-XPU showed potential for accurately detecting rifampicin resistance.

Conclusion: Urine-XPU and AlereLAM demonstrated comparable diagnostic accuracy for TB in hospitalised adults with HIV. Integrating Urine-XPU alongside AlereLAM and Sputum-XPU may improve timely and accurate diagnosis of TB and rifampicin resistance. Further research is required to optimise the diagnosis-to-treatment pathway.

Abstract Image

Abstract Image

Abstract Image

南非农村hiv相关结核住院患者尿液检测
背景:迫切需要准确的非基于痰液的结核病(TB)诊断,以提高诊断率和患者预后。目的:比较尿Xpert Ultra (Urine- xpu)和尿DetermineTM TB lipoarabinman聚糖(LAM)抗原检测(AlereLAM)在南非农村常规护理环境中对微生物和复合参考标准(MRS和CRS)的诊断准确性和诊收率。方法:成人(≥18岁)HIV感染者入院后立即采集痰、尿、血进行结核综合检测。此外,对hiv相关结核(FASH)的超声检查进行了重点评估。MRS由Xpert Ultra或结核分枝杆菌培养试验确定。CRS纳入了这些分枝杆菌试验、FASH结果和对经验性结核病治疗的临床反应。随访3个月。结果:共纳入206名参与者,中位年龄39岁,63%为女性。用MRS检测AlereLAM和Urine-XPU的灵敏度分别为45.2%(95%可信区间[CI]: 31.2 ~ 60.1)和59.5%(95%可信区间[CI]: 44.5 ~ 73.0);AlereLAM特异性为93.6% (95%CI: 88.2 ~ 96.6), Urine-XPU特异性为95.0% (95%CI: 90.0% ~ 97.6%)。在病情较重的患者中,尿xpu和AlereLAM的疗效优于痰Xpert Ultra(痰- xpu)。此外,尿- xpu显示出准确检测利福平耐药性的潜力。结论:尿- xpu和AlereLAM对感染HIV的住院成人结核病的诊断准确性相当。尿- xpu与AlereLAM和痰- xpu结合可提高结核病和利福平耐药性的及时准确诊断。需要进一步的研究来优化从诊断到治疗的途径。
本文章由计算机程序翻译,如有差异,请以英文原文为准。
求助全文
约1分钟内获得全文 求助全文
来源期刊
自引率
0.00%
发文量
0
×
引用
GB/T 7714-2015
复制
MLA
复制
APA
复制
导出至
BibTeX EndNote RefMan NoteFirst NoteExpress
×
提示
您的信息不完整,为了账户安全,请先补充。
现在去补充
×
提示
您因"违规操作"
具体请查看互助需知
我知道了
×
提示
确定
请完成安全验证×
copy
已复制链接
快去分享给好友吧!
我知道了
右上角分享
点击右上角分享
0
联系我们:info@booksci.cn Book学术提供免费学术资源搜索服务,方便国内外学者检索中英文文献。致力于提供最便捷和优质的服务体验。 Copyright © 2023 布克学术 All rights reserved.
京ICP备2023020795号-1
ghs 京公网安备 11010802042870号
Book学术文献互助
Book学术文献互助群
群 号:604180095
Book学术官方微信