Feasibility of cognitive testing and ecological momentary assessments using smartphones in middle aged and older adults with insomnia.

BMC digital health Pub Date : 2025-01-01 Epub Date: 2025-07-01 DOI:10.1186/s44247-025-00158-4
Sara Ghadimi, Jason Ereso, Alexander J Kaula, Nick Taptiklis, Francesca Cormack, Cathy Alessi, Jennifer L Martin, Joseph M Dzierzewski, Arash Naeim, Sarah Kremen, Tue Te, Constance H Fung
{"title":"Feasibility of cognitive testing and ecological momentary assessments using smartphones in middle aged and older adults with insomnia.","authors":"Sara Ghadimi, Jason Ereso, Alexander J Kaula, Nick Taptiklis, Francesca Cormack, Cathy Alessi, Jennifer L Martin, Joseph M Dzierzewski, Arash Naeim, Sarah Kremen, Tue Te, Constance H Fung","doi":"10.1186/s44247-025-00158-4","DOIUrl":null,"url":null,"abstract":"<p><strong>Background: </strong>Older adults with insomnia who use benzodiazepine receptor agonists (BZAs) may be at increased risk of cognitive impairment. Cognitive testing outside of clinical settings may yield results that are more reflective of individuals' cognition in their natural environment, where they experience fluctuations in mental state (e.g. drowsiness). We assessed the feasibility of self-administered cognitive testing via smartphone apps for collecting in-moment, in-context data about a person's current state (ecological momentary assessment, EMA).</p><p><strong>Methods: </strong>Participants (<i>n</i> = 20; median age 66 years; 14 females, 18 white) aged ≥ 55 years who were recruited from a BZA deprescribing trial were invited to complete (over a 28 day period) daily drowsiness assessments on an EMA app (cued by smartwatch alerts) and weekly self-administered digit span (DGS) forward/backward (2 [minimum] - 9 [maximum]), verbal paired associates (VPA; 0 [best]-24 [worst] total errors), and cued delayed recall of VPA (VPA-DR; 0 [best] - 8 [worst] errors) tests on a cognitive app. We assessed the completion of EMA (0-28 days) and cognitive sessions (# of participants per # sessions completed). We performed thematic analysis of the participant interviews.</p><p><strong>Results: </strong>The median number of days that EMA was completed was 24.5. Twelve (60%) individuals participated in 4 sessions; 2 (10%) individuals participated in 3 sessions; 2 (10%) individuals participated in 2 sessions; and 4 (20%) individuals participated in 1 session. No drowsiness was reported 36% of the time, whereas 38% of the responses reflected feeling \"a little bit\" drowsy and 26% at least \"somewhat\" drowsy. Mean cognitive test scores were DGS-Forward = 7 (SD 1.3), DGS-Backward = 5.6 (SD 1.0), VPA total errors = 9.9 (SD 3.7), and VPA-DR = 2.2 (SD 1.9). Three themes emerged from the participant interviews: 1) concern for one's own cognitive abilities, 2) strategies employed for optimizing scores (including strategies that would invalidate results), and 3) ease of use of the applications.</p><p><strong>Conclusions: </strong>Our findings indicate that mobile cognitive tests and EMAs are feasible in this older population. Further work is needed to understand how scores are influenced by the setting, mood, and behaviors.</p><p><strong>Supplementary information: </strong>The online version contains supplementary material available at 10.1186/s44247-025-00158-4.</p>","PeriodicalId":72426,"journal":{"name":"BMC digital health","volume":"3 1","pages":"21"},"PeriodicalIF":0.0000,"publicationDate":"2025-01-01","publicationTypes":"Journal Article","fieldsOfStudy":null,"isOpenAccess":false,"openAccessPdf":"https://www.ncbi.nlm.nih.gov/pmc/articles/PMC12208955/pdf/","citationCount":"0","resultStr":null,"platform":"Semanticscholar","paperid":null,"PeriodicalName":"BMC digital health","FirstCategoryId":"1085","ListUrlMain":"https://doi.org/10.1186/s44247-025-00158-4","RegionNum":0,"RegionCategory":null,"ArticlePicture":[],"TitleCN":null,"AbstractTextCN":null,"PMCID":null,"EPubDate":"2025/7/1 0:00:00","PubModel":"Epub","JCR":"","JCRName":"","Score":null,"Total":0}
引用次数: 0

Abstract

Background: Older adults with insomnia who use benzodiazepine receptor agonists (BZAs) may be at increased risk of cognitive impairment. Cognitive testing outside of clinical settings may yield results that are more reflective of individuals' cognition in their natural environment, where they experience fluctuations in mental state (e.g. drowsiness). We assessed the feasibility of self-administered cognitive testing via smartphone apps for collecting in-moment, in-context data about a person's current state (ecological momentary assessment, EMA).

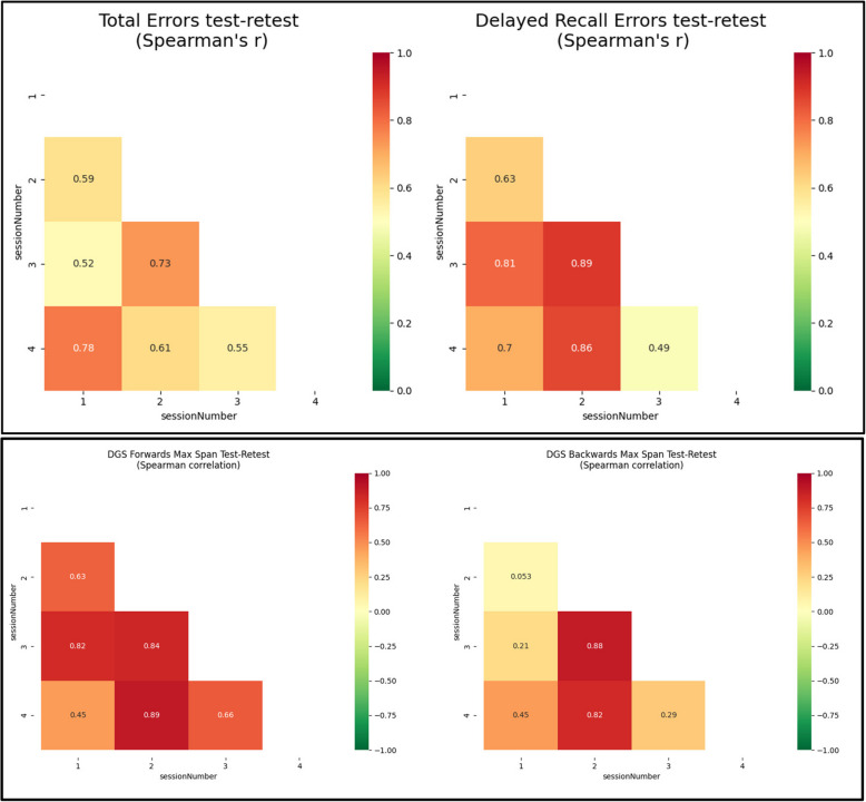
Methods: Participants (n = 20; median age 66 years; 14 females, 18 white) aged ≥ 55 years who were recruited from a BZA deprescribing trial were invited to complete (over a 28 day period) daily drowsiness assessments on an EMA app (cued by smartwatch alerts) and weekly self-administered digit span (DGS) forward/backward (2 [minimum] - 9 [maximum]), verbal paired associates (VPA; 0 [best]-24 [worst] total errors), and cued delayed recall of VPA (VPA-DR; 0 [best] - 8 [worst] errors) tests on a cognitive app. We assessed the completion of EMA (0-28 days) and cognitive sessions (# of participants per # sessions completed). We performed thematic analysis of the participant interviews.

Results: The median number of days that EMA was completed was 24.5. Twelve (60%) individuals participated in 4 sessions; 2 (10%) individuals participated in 3 sessions; 2 (10%) individuals participated in 2 sessions; and 4 (20%) individuals participated in 1 session. No drowsiness was reported 36% of the time, whereas 38% of the responses reflected feeling "a little bit" drowsy and 26% at least "somewhat" drowsy. Mean cognitive test scores were DGS-Forward = 7 (SD 1.3), DGS-Backward = 5.6 (SD 1.0), VPA total errors = 9.9 (SD 3.7), and VPA-DR = 2.2 (SD 1.9). Three themes emerged from the participant interviews: 1) concern for one's own cognitive abilities, 2) strategies employed for optimizing scores (including strategies that would invalidate results), and 3) ease of use of the applications.

Conclusions: Our findings indicate that mobile cognitive tests and EMAs are feasible in this older population. Further work is needed to understand how scores are influenced by the setting, mood, and behaviors.

Supplementary information: The online version contains supplementary material available at 10.1186/s44247-025-00158-4.

Abstract Image

Abstract Image

Abstract Image

使用智能手机对中老年失眠症患者进行认知测试和生态瞬间评估的可行性
背景:老年失眠患者使用苯二氮卓受体激动剂(BZAs)可能会增加认知障碍的风险。临床环境之外的认知测试可能产生的结果更能反映个人在自然环境中的认知,在自然环境中,他们会经历精神状态的波动(例如困倦)。我们评估了通过智能手机应用程序进行自我管理的认知测试的可行性,以收集关于一个人当前状态的即时、情境数据(生态瞬时评估,EMA)。方法:受试者(n = 20;中位年龄66岁;从BZA处方试验中招募的14名女性,18名白人,年龄≥55岁,被邀请(在28天的时间内)在EMA应用程序上完成每日睡意评估(由智能手表警报提示),每周自我管理的数字跨度(DGS)向前/向后(2[最小]- 9[最大]),口头配对(VPA;0[最佳]-24[最差]总错误),并提示VPA延迟召回(VPA- dr;在认知应用程序上进行0(最佳)- 8(最差)错误测试。我们评估了EMA(0-28天)和认知会话的完成情况(每完成#次会话的参与者数量)。我们对参与者访谈进行了专题分析。结果:完成EMA的中位天数为24.5天。12人(60%)参加了4次会议;2人(10%)参加了3次会议;2人(10%)参加了2次会议;4人(20%)参加了1次会议。36%的人不犯困,38%的人感觉“有点”犯困,26%的人至少“有点”犯困。认知测试平均得分为DGS-Forward = 7 (SD 1.3), DGS-Backward = 5.6 (SD 1.0), VPA总误差= 9.9 (SD 3.7), VPA- dr = 2.2 (SD 1.9)。参与者访谈中出现了三个主题:1)关注自己的认知能力,2)优化分数的策略(包括会使结果无效的策略),以及3)应用程序的易用性。结论:我们的研究结果表明,移动认知测试和ema在老年人群中是可行的。需要进一步的工作来了解分数是如何受到环境、情绪和行为的影响的。补充信息:在线版本包含补充资料,下载地址:10.1186/s44247-025-00158-4。
本文章由计算机程序翻译,如有差异,请以英文原文为准。
求助全文
约1分钟内获得全文 求助全文
来源期刊
自引率
0.00%
发文量
0
×
引用
GB/T 7714-2015
复制
MLA
复制
APA
复制
导出至
BibTeX EndNote RefMan NoteFirst NoteExpress
×
提示
您的信息不完整,为了账户安全,请先补充。
现在去补充
×
提示
您因"违规操作"
具体请查看互助需知
我知道了
×
提示
确定
请完成安全验证×
copy
已复制链接
快去分享给好友吧!
我知道了
右上角分享
点击右上角分享
0
联系我们:info@booksci.cn Book学术提供免费学术资源搜索服务,方便国内外学者检索中英文文献。致力于提供最便捷和优质的服务体验。 Copyright © 2023 布克学术 All rights reserved.
京ICP备2023020795号-1
ghs 京公网安备 11010802042870号
Book学术文献互助
Book学术文献互助群
群 号:604180095
Book学术官方微信