Comprehensive Computational Assessment of SNAI1 and SNAI2 in Gastric Cancer: Linking EMT, Tumor Microenvironment, and Survival Outcomes.

IF 2.5 Q2 MATHEMATICAL & COMPUTATIONAL BIOLOGY
Cancer Informatics Pub Date : 2025-06-30 eCollection Date: 2025-01-01 DOI:10.1177/11769351251352892
Maryam Kalantari-Dehaghi, Hasan Rahimi-Tamandegani, Modjtaba Emadi-Baygi
{"title":"Comprehensive Computational Assessment of SNAI1 and SNAI2 in Gastric Cancer: Linking EMT, Tumor Microenvironment, and Survival Outcomes.","authors":"Maryam Kalantari-Dehaghi, Hasan Rahimi-Tamandegani, Modjtaba Emadi-Baygi","doi":"10.1177/11769351251352892","DOIUrl":null,"url":null,"abstract":"<p><strong>Background: </strong>Gastric cancer is aggressive with poor prognosis due to high invasion and metastasis rates, a hallmark of cancer. The Snail family (SNAI1 and SNAI2) drives EMT, enabling epithelial cells to gain migratory and invasive traits.</p><p><strong>Methods: </strong>We used \"limma\" package to identify genes with differential expression between high and low levels of SNAI1/SNAI2 in TCGA stomach adenocarcinoma dataset, intersecting these with cancer invasion and metastasis genes obtained from 5 databases. Using Cox regression analysis, we developed a risk score model and created a nomogram incorporating clinical data. The model's prognostic accuracy was validated with survival and ROC analyses in both TCGA and GEO datasets. Additionally, we performed WGCNA and constructed a ceRNA network to investigate gene interactions, and used CIBERSORT analysis to evaluate immune cell composition in the tumor microenvironment.</p><p><strong>Results: </strong>We developed 5 and 9 risk signatures and nomograms incorporating clinical data. Survival analysis showed high-risk patients had worse overall survival than low-risk patients. WGCNA identified a lightyellow module associated with SNAI1 and SNAI2 expressions, emphasizing extracellular matrix organization. CeRNA network analyses found 6 common hub genes linked to SNAI1 and SNAI2. Immune profiling showed that SNAI1 expression was related to 8 types of immune cells, while SNAI2 was connected to 6, indicating their roles in influencing the tumor microenvironment.</p><p><strong>Conclusion: </strong>This study highlights the significant prognostic impact of SNAI1 and SNAI2 in stomach adenocarcinoma, linking their high expression to poorer survival and aggressive tumor behavior, while also identifying potential therapeutic targets through comprehensive computational analysis.</p>","PeriodicalId":35418,"journal":{"name":"Cancer Informatics","volume":"24 ","pages":"11769351251352892"},"PeriodicalIF":2.5000,"publicationDate":"2025-06-30","publicationTypes":"Journal Article","fieldsOfStudy":null,"isOpenAccess":false,"openAccessPdf":"https://www.ncbi.nlm.nih.gov/pmc/articles/PMC12214337/pdf/","citationCount":"0","resultStr":null,"platform":"Semanticscholar","paperid":null,"PeriodicalName":"Cancer Informatics","FirstCategoryId":"1085","ListUrlMain":"https://doi.org/10.1177/11769351251352892","RegionNum":0,"RegionCategory":null,"ArticlePicture":[],"TitleCN":null,"AbstractTextCN":null,"PMCID":null,"EPubDate":"2025/1/1 0:00:00","PubModel":"eCollection","JCR":"Q2","JCRName":"MATHEMATICAL & COMPUTATIONAL BIOLOGY","Score":null,"Total":0}
引用次数: 0

Abstract

Background: Gastric cancer is aggressive with poor prognosis due to high invasion and metastasis rates, a hallmark of cancer. The Snail family (SNAI1 and SNAI2) drives EMT, enabling epithelial cells to gain migratory and invasive traits.

Methods: We used "limma" package to identify genes with differential expression between high and low levels of SNAI1/SNAI2 in TCGA stomach adenocarcinoma dataset, intersecting these with cancer invasion and metastasis genes obtained from 5 databases. Using Cox regression analysis, we developed a risk score model and created a nomogram incorporating clinical data. The model's prognostic accuracy was validated with survival and ROC analyses in both TCGA and GEO datasets. Additionally, we performed WGCNA and constructed a ceRNA network to investigate gene interactions, and used CIBERSORT analysis to evaluate immune cell composition in the tumor microenvironment.

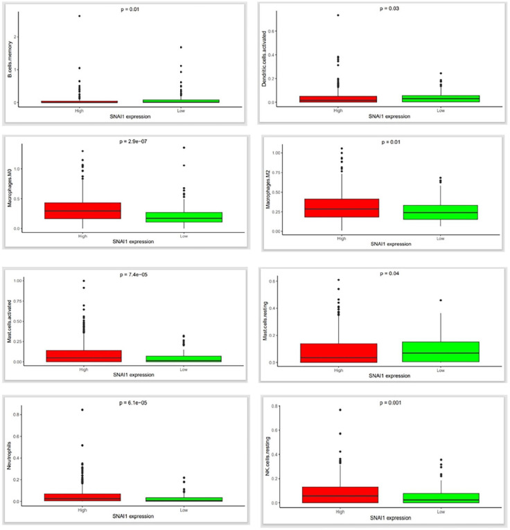
Results: We developed 5 and 9 risk signatures and nomograms incorporating clinical data. Survival analysis showed high-risk patients had worse overall survival than low-risk patients. WGCNA identified a lightyellow module associated with SNAI1 and SNAI2 expressions, emphasizing extracellular matrix organization. CeRNA network analyses found 6 common hub genes linked to SNAI1 and SNAI2. Immune profiling showed that SNAI1 expression was related to 8 types of immune cells, while SNAI2 was connected to 6, indicating their roles in influencing the tumor microenvironment.

Conclusion: This study highlights the significant prognostic impact of SNAI1 and SNAI2 in stomach adenocarcinoma, linking their high expression to poorer survival and aggressive tumor behavior, while also identifying potential therapeutic targets through comprehensive computational analysis.

Abstract Image

Abstract Image

Abstract Image

胃癌中SNAI1和SNAI2的综合计算评估:连接EMT、肿瘤微环境和生存结果。
背景:胃癌侵袭和转移率高,预后差。蜗牛家族(SNAI1和SNAI2)驱动EMT,使上皮细胞获得迁移和侵袭性特征。方法:采用“limma”包鉴定TCGA胃腺癌数据集中SNAI1/SNAI2高、低表达差异基因,并将其与5个数据库中获得的肿瘤侵袭转移基因相交叉。使用Cox回归分析,我们建立了一个风险评分模型,并创建了一个包含临床数据的nomogram。该模型的预后准确性通过TCGA和GEO数据集的生存和ROC分析得到验证。此外,我们进行了WGCNA和构建了ceRNA网络来研究基因相互作用,并使用CIBERSORT分析来评估肿瘤微环境中的免疫细胞组成。结果:我们开发了5个和9个纳入临床数据的风险特征和特征图。生存分析显示,高危患者的总生存率低于低危患者。WGCNA鉴定出一个与SNAI1和SNAI2表达相关的淡黄色模块,强调细胞外基质组织。CeRNA网络分析发现了6个与SNAI1和SNAI2相关的常见枢纽基因。免疫谱分析显示,SNAI1表达与8种免疫细胞相关,而SNAI2表达与6种免疫细胞相关,提示它们在影响肿瘤微环境中发挥作用。结论:本研究强调了SNAI1和SNAI2在胃腺癌中的显著预后影响,将其高表达与较差的生存率和侵袭性肿瘤行为联系起来,同时通过综合计算分析确定了潜在的治疗靶点。
本文章由计算机程序翻译,如有差异,请以英文原文为准。
求助全文
约1分钟内获得全文 求助全文
来源期刊
Cancer Informatics
Cancer Informatics Medicine-Oncology
CiteScore
3.00
自引率
5.00%
发文量
30
审稿时长
8 weeks
期刊介绍: The field of cancer research relies on advances in many other disciplines, including omics technology, mass spectrometry, radio imaging, computer science, and biostatistics. Cancer Informatics provides open access to peer-reviewed high-quality manuscripts reporting bioinformatics analysis of molecular genetics and/or clinical data pertaining to cancer, emphasizing the use of machine learning, artificial intelligence, statistical algorithms, advanced imaging techniques, data visualization, and high-throughput technologies. As the leading journal dedicated exclusively to the report of the use of computational methods in cancer research and practice, Cancer Informatics leverages methodological improvements in systems biology, genomics, proteomics, metabolomics, and molecular biochemistry into the fields of cancer detection, treatment, classification, risk-prediction, prevention, outcome, and modeling.
×
引用
GB/T 7714-2015
复制
MLA
复制
APA
复制
导出至
BibTeX EndNote RefMan NoteFirst NoteExpress
×
提示
您的信息不完整,为了账户安全,请先补充。
现在去补充
×
提示
您因"违规操作"
具体请查看互助需知
我知道了
×
提示
确定
请完成安全验证×
copy
已复制链接
快去分享给好友吧!
我知道了
右上角分享
点击右上角分享
0
联系我们:info@booksci.cn Book学术提供免费学术资源搜索服务,方便国内外学者检索中英文文献。致力于提供最便捷和优质的服务体验。 Copyright © 2023 布克学术 All rights reserved.
京ICP备2023020795号-1
ghs 京公网安备 11010802042870号
Book学术文献互助
Book学术文献互助群
群 号:604180095
Book学术官方微信