Decline in quality of life among caregivers of patients undergoing chemotherapy for incurable cancer: implications for early social and medical support.

IF 2.9 Q2 HEALTH CARE SCIENCES & SERVICES
Nobumichi Takeuchi, Saiko Kurosawa, Sonomi Yoshida, Kumiko Koike
{"title":"Decline in quality of life among caregivers of patients undergoing chemotherapy for incurable cancer: implications for early social and medical support.","authors":"Nobumichi Takeuchi, Saiko Kurosawa, Sonomi Yoshida, Kumiko Koike","doi":"10.1186/s41687-025-00912-2","DOIUrl":null,"url":null,"abstract":"<p><strong>Background: </strong>Recent advances in cancer treatment have extended patient survival and improved quality of life (QOL), often enabling home-based chemotherapy. However, this shift places a growing burden on informal caregivers, impacting their own well-being. This study aims to explore changes in caregiver QOL over the course of treatment and identify contributing factors.</p><p><strong>Methods: </strong>We conducted a single-institution, prospective observational study involving patients receiving chemotherapy for unresectable or recurrent solid tumors and their primary caregivers. QOL was assessed using the EORTC QLQ-C30 before each treatment line. Scores were stratified by treatment duration and line. Paired t-tests and multiple linear regression analyses were performed.</p><p><strong>Results: </strong>Among 378 patient-caregiver pairs, caregiver emotional and cognitive functioning declined over time, particularly with longer treatment durations and later treatment lines. Fatigue prevalence increased to 100% by the fourth-line treatment. Regression analyses revealed that caregiver QOL was affected by patient symptoms (e.g., insomnia, appetite loss), patient QOL scores, treatment duration, and caregiver age and gender.</p><p><strong>Conclusions: </strong>Caregivers experienced progressive emotional and cognitive declines paralleling the patient's clinical trajectory. These findings highlight the necessity of early and comprehensive support systems for caregivers, including psychological and social support, to maintain their QOL throughout cancer treatment.</p>","PeriodicalId":36660,"journal":{"name":"Journal of Patient-Reported Outcomes","volume":"9 1","pages":"74"},"PeriodicalIF":2.9000,"publicationDate":"2025-07-01","publicationTypes":"Journal Article","fieldsOfStudy":null,"isOpenAccess":false,"openAccessPdf":"https://www.ncbi.nlm.nih.gov/pmc/articles/PMC12214165/pdf/","citationCount":"0","resultStr":null,"platform":"Semanticscholar","paperid":null,"PeriodicalName":"Journal of Patient-Reported Outcomes","FirstCategoryId":"1085","ListUrlMain":"https://doi.org/10.1186/s41687-025-00912-2","RegionNum":0,"RegionCategory":null,"ArticlePicture":[],"TitleCN":null,"AbstractTextCN":null,"PMCID":null,"EPubDate":"","PubModel":"","JCR":"Q2","JCRName":"HEALTH CARE SCIENCES & SERVICES","Score":null,"Total":0}
引用次数: 0

Abstract

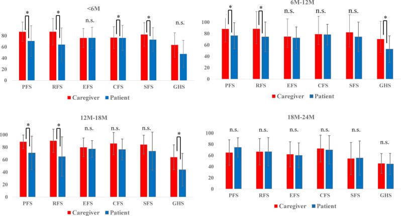
Background: Recent advances in cancer treatment have extended patient survival and improved quality of life (QOL), often enabling home-based chemotherapy. However, this shift places a growing burden on informal caregivers, impacting their own well-being. This study aims to explore changes in caregiver QOL over the course of treatment and identify contributing factors.

Methods: We conducted a single-institution, prospective observational study involving patients receiving chemotherapy for unresectable or recurrent solid tumors and their primary caregivers. QOL was assessed using the EORTC QLQ-C30 before each treatment line. Scores were stratified by treatment duration and line. Paired t-tests and multiple linear regression analyses were performed.

Results: Among 378 patient-caregiver pairs, caregiver emotional and cognitive functioning declined over time, particularly with longer treatment durations and later treatment lines. Fatigue prevalence increased to 100% by the fourth-line treatment. Regression analyses revealed that caregiver QOL was affected by patient symptoms (e.g., insomnia, appetite loss), patient QOL scores, treatment duration, and caregiver age and gender.

Conclusions: Caregivers experienced progressive emotional and cognitive declines paralleling the patient's clinical trajectory. These findings highlight the necessity of early and comprehensive support systems for caregivers, including psychological and social support, to maintain their QOL throughout cancer treatment.

Abstract Image

Abstract Image

Abstract Image

因无法治愈的癌症而接受化疗的患者护理人员的生活质量下降:对早期社会和医疗支持的影响
背景:癌症治疗的最新进展延长了患者的生存期,改善了生活质量(QOL),通常使家庭化疗成为可能。然而,这种转变给非正规照顾者带来越来越大的负担,影响到他们自己的福祉。本研究旨在探讨护理人员在治疗过程中生活质量的变化,并找出影响因素。方法:我们进行了一项单机构、前瞻性观察性研究,涉及接受化疗的不可切除或复发性实体瘤患者及其主要护理人员。在每个治疗线之前,使用EORTC QLQ-C30评估生活质量。评分按治疗时间和治疗线进行分层。进行配对t检验和多元线性回归分析。结果:在378对患者-护理者中,护理者的情绪和认知功能随着时间的推移而下降,特别是随着治疗持续时间的延长和治疗线的延长。经四线治疗,疲劳发生率提高至100%。回归分析显示,护理人员的生活质量受患者症状(如失眠、食欲不振)、患者生活质量评分、治疗持续时间、护理人员年龄和性别的影响。结论:护理人员经历了与患者临床轨迹平行的进行性情绪和认知衰退。这些发现强调了护理人员早期和全面支持系统的必要性,包括心理和社会支持,以维持他们在癌症治疗期间的生活质量。
本文章由计算机程序翻译,如有差异,请以英文原文为准。
求助全文
约1分钟内获得全文 求助全文
来源期刊
Journal of Patient-Reported Outcomes
Journal of Patient-Reported Outcomes Health Professions-Health Information Management
CiteScore
3.80
自引率
7.40%
发文量
120
审稿时长
20 weeks
×
引用
GB/T 7714-2015
复制
MLA
复制
APA
复制
导出至
BibTeX EndNote RefMan NoteFirst NoteExpress
×
提示
您的信息不完整,为了账户安全,请先补充。
现在去补充
×
提示
您因"违规操作"
具体请查看互助需知
我知道了
×
提示
确定
请完成安全验证×
copy
已复制链接
快去分享给好友吧!
我知道了
右上角分享
点击右上角分享
0
联系我们:info@booksci.cn Book学术提供免费学术资源搜索服务,方便国内外学者检索中英文文献。致力于提供最便捷和优质的服务体验。 Copyright © 2023 布克学术 All rights reserved.
京ICP备2023020795号-1
ghs 京公网安备 11010802042870号
Book学术文献互助
Book学术文献互助群
群 号:604180095
Book学术官方微信