Correlation study of CAR, PLR, NLR with the prognosis of cardiogenic cerebral embolism patients.

IF 2.7 4区 医学 Q2 MEDICINE, RESEARCH & EXPERIMENTAL
Experimental Biology and Medicine Pub Date : 2025-06-17 eCollection Date: 2025-01-01 DOI:10.3389/ebm.2025.10517
Xiaojing Du, Xiaohui Li, Sheng Yue, Yuzhen Sun, Mengzhen Zhao, Lingshan Zhou, Xingwei Wang, Yapan Yang
{"title":"Correlation study of CAR, PLR, NLR with the prognosis of cardiogenic cerebral embolism patients.","authors":"Xiaojing Du, Xiaohui Li, Sheng Yue, Yuzhen Sun, Mengzhen Zhao, Lingshan Zhou, Xingwei Wang, Yapan Yang","doi":"10.3389/ebm.2025.10517","DOIUrl":null,"url":null,"abstract":"<p><p>This study explored the association between inflammatory biomarkers-C-reactive protein to albumin ratio (CAR), platelet to lymphocyte ratio (PLR), and neutrophil to lymphocyte ratio (NLR)-and the prognosis of patients with cardiogenic cerebral embolism (CCE). We retrospectively analyzed data from 80 CCE patients diagnosed between June 2020 and June 2024, categorizing them into favorable and unfavorable prognosis groups based on outcomes such as death, recurrence, and disability. The CAR, PLR, and NLR values were calculated from routine blood tests, and statistical analyses, including Spearman correlation, multivariate logistic regression, and ROC curve analysis, were performed to examine their prognostic significance. Results showed that the unfavorable prognosis group had significantly higher CAR, PLR, and NLR values compared to the favorable group (P < 0.05). Spearman correlation analysis revealed positive associations between these biomarkers and prognosis (r = 0.319 for CAR, 0.238 for PLR, 0.251 for NLR, all P < 0.05). Multivariate analysis identified CAR and NLR as independent risk factors for unfavorable prognosis (OR = 1.034 for CAR, OR = 3.887 for NLR). ROC analysis determined optimal cutoff values for CAR (>0.74), PLR (>160.00), and NLR (>3.53) to predict unfavorable prognosis with AUCs of 0.796, 0.694, and 0.705, respectively. The combined biomarker test yielded an AUC of 0.899. Kaplan-Meier survival analysis indicated significantly lower survival rates for patients with higher levels of CAR, PLR, and NLR (P < 0.05). In conclusion, elevated CAR, PLR, and NLR are reliable indicators of a poor prognosis in CCE patients.</p>","PeriodicalId":12163,"journal":{"name":"Experimental Biology and Medicine","volume":"250 ","pages":"10517"},"PeriodicalIF":2.7000,"publicationDate":"2025-06-17","publicationTypes":"Journal Article","fieldsOfStudy":null,"isOpenAccess":false,"openAccessPdf":"https://www.ncbi.nlm.nih.gov/pmc/articles/PMC12208937/pdf/","citationCount":"0","resultStr":null,"platform":"Semanticscholar","paperid":null,"PeriodicalName":"Experimental Biology and Medicine","FirstCategoryId":"3","ListUrlMain":"https://doi.org/10.3389/ebm.2025.10517","RegionNum":4,"RegionCategory":"医学","ArticlePicture":[],"TitleCN":null,"AbstractTextCN":null,"PMCID":null,"EPubDate":"2025/1/1 0:00:00","PubModel":"eCollection","JCR":"Q2","JCRName":"MEDICINE, RESEARCH & EXPERIMENTAL","Score":null,"Total":0}
引用次数: 0

Abstract

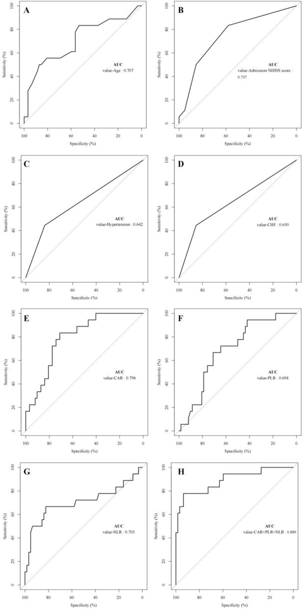
This study explored the association between inflammatory biomarkers-C-reactive protein to albumin ratio (CAR), platelet to lymphocyte ratio (PLR), and neutrophil to lymphocyte ratio (NLR)-and the prognosis of patients with cardiogenic cerebral embolism (CCE). We retrospectively analyzed data from 80 CCE patients diagnosed between June 2020 and June 2024, categorizing them into favorable and unfavorable prognosis groups based on outcomes such as death, recurrence, and disability. The CAR, PLR, and NLR values were calculated from routine blood tests, and statistical analyses, including Spearman correlation, multivariate logistic regression, and ROC curve analysis, were performed to examine their prognostic significance. Results showed that the unfavorable prognosis group had significantly higher CAR, PLR, and NLR values compared to the favorable group (P < 0.05). Spearman correlation analysis revealed positive associations between these biomarkers and prognosis (r = 0.319 for CAR, 0.238 for PLR, 0.251 for NLR, all P < 0.05). Multivariate analysis identified CAR and NLR as independent risk factors for unfavorable prognosis (OR = 1.034 for CAR, OR = 3.887 for NLR). ROC analysis determined optimal cutoff values for CAR (>0.74), PLR (>160.00), and NLR (>3.53) to predict unfavorable prognosis with AUCs of 0.796, 0.694, and 0.705, respectively. The combined biomarker test yielded an AUC of 0.899. Kaplan-Meier survival analysis indicated significantly lower survival rates for patients with higher levels of CAR, PLR, and NLR (P < 0.05). In conclusion, elevated CAR, PLR, and NLR are reliable indicators of a poor prognosis in CCE patients.

Abstract Image

Abstract Image

Abstract Image

CAR、PLR、NLR与心源性脑栓塞患者预后的相关性研究。
本研究探讨炎症生物标志物——c反应蛋白与白蛋白比(CAR)、血小板与淋巴细胞比(PLR)、中性粒细胞与淋巴细胞比(NLR)与心源性脑栓塞(CCE)患者预后的关系。我们回顾性分析了2020年6月至2024年6月诊断的80例CCE患者的数据,根据死亡、复发和残疾等结局将其分为预后良好和预后不良组。根据血常规计算CAR、PLR和NLR值,并进行Spearman相关、多因素logistic回归、ROC曲线分析等统计分析,探讨其预后意义。结果显示,预后不良组的CAR、PLR、NLR值明显高于预后良好组(P < 0.05)。Spearman相关分析显示,这些生物标志物与预后呈正相关(CAR的r = 0.319, PLR的r = 0.238, NLR的r = 0.251,均P < 0.05)。多因素分析发现CAR和NLR是不良预后的独立危险因素(CAR OR = 1.034, NLR OR = 3.887)。ROC分析确定CAR(> .74)、PLR(> . 160.00)和NLR(> . 3.53)预测不良预后的最佳截止值,auc分别为0.796、0.694和0.705。联合生物标志物检测的AUC为0.899。Kaplan-Meier生存分析显示,CAR、PLR和NLR水平较高的患者生存率显著降低(P < 0.05)。总之,CAR、PLR和NLR升高是CCE患者预后不良的可靠指标。
本文章由计算机程序翻译,如有差异,请以英文原文为准。
求助全文
约1分钟内获得全文 求助全文
来源期刊
Experimental Biology and Medicine
Experimental Biology and Medicine 医学-医学:研究与实验
CiteScore
6.00
自引率
0.00%
发文量
157
审稿时长
1 months
期刊介绍: Experimental Biology and Medicine (EBM) is a global, peer-reviewed journal dedicated to the publication of multidisciplinary and interdisciplinary research in the biomedical sciences. EBM provides both research and review articles as well as meeting symposia and brief communications. Articles in EBM represent cutting edge research at the overlapping junctions of the biological, physical and engineering sciences that impact upon the health and welfare of the world''s population. Topics covered in EBM include: Anatomy/Pathology; Biochemistry and Molecular Biology; Bioimaging; Biomedical Engineering; Bionanoscience; Cell and Developmental Biology; Endocrinology and Nutrition; Environmental Health/Biomarkers/Precision Medicine; Genomics, Proteomics, and Bioinformatics; Immunology/Microbiology/Virology; Mechanisms of Aging; Neuroscience; Pharmacology and Toxicology; Physiology; Stem Cell Biology; Structural Biology; Systems Biology and Microphysiological Systems; and Translational Research.
×
引用
GB/T 7714-2015
复制
MLA
复制
APA
复制
导出至
BibTeX EndNote RefMan NoteFirst NoteExpress
×
提示
您的信息不完整,为了账户安全,请先补充。
现在去补充
×
提示
您因"违规操作"
具体请查看互助需知
我知道了
×
提示
确定
请完成安全验证×
copy
已复制链接
快去分享给好友吧!
我知道了
右上角分享
点击右上角分享
0
联系我们:info@booksci.cn Book学术提供免费学术资源搜索服务,方便国内外学者检索中英文文献。致力于提供最便捷和优质的服务体验。 Copyright © 2023 布克学术 All rights reserved.
京ICP备2023020795号-1
ghs 京公网安备 11010802042870号
Book学术文献互助
Book学术文献互助群
群 号:604180095
Book学术官方微信