Impact of patient size on image quality of OSEM3D and BSREM reconstructions in [68Ga]Ga-DOTA-TATE PET/MR.

IF 3.2 2区 医学 Q2 RADIOLOGY, NUCLEAR MEDICINE & MEDICAL IMAGING
Christina P W Cox, Tessa Brabander, Frederik A Verburg, Marcel Segbers
{"title":"Impact of patient size on image quality of OSEM3D and BSREM reconstructions in [<sup>68</sup>Ga]Ga-DOTA-TATE PET/MR.","authors":"Christina P W Cox, Tessa Brabander, Frederik A Verburg, Marcel Segbers","doi":"10.1186/s40658-025-00777-w","DOIUrl":null,"url":null,"abstract":"<p><strong>Background: </strong>Previous [<sup>68</sup>Ga]Ga-DOTA-TATE PET/CT studies using ordered subset expectation maximization (OSEM3D) based reconstruction algorithms, demonstrated non-linear relations between body weight and image quality. Block Sequential Regularized Expectation Maximization (BSREM) algorithm reduces noise amplification during reconstruction. The impact of the reconstruction algorithm on the relation between image quality and patient size in [<sup>68</sup>Ga]Ga-DOTA-TATE PET/MR may differ from PET/CT and OSEM3D. Therefore, the aim of this study is to investigate the relation between patient size and image quality in OSEM3D and BSREM [<sup>68</sup>Ga]Ga-DOTA-TATE PET/MR reconstructions.</p><p><strong>Methods: </strong>[<sup>68</sup>Ga]Ga-DOTA-TATE PET/MR images of 55 patients were included. Images were reconstructed using OSEM3D (VUE Point FX SharpIR, 4 iterations, 28 subsets and 7 mm Gaussian filter) and BSREM (Q.Clear, β = 300). Liver signal-to-noise ratio (SNRliver) normalized for injected activity and acquisition time (SNRliver,norm) was measured to perform curve fitting with patient-dependent parameters using fixed, linear and non-linear fit models, followed by Akaike's corrected information criterion (AICc) model selection.</p><p><strong>Results: </strong>BSREM mean SNRliver was significantly (p < 0.001) higher than OSEM3D mean SNRliver. Body mass, the best patient-dependent parameter for both algorithms, clarified 40% (linear model) and 53% (non-linear model) of the variability in SNRliver,norm for OSEM3D and 20% (linear model) and 21% (non-linear model) for BSREM. AICc preferred a non-linear model for OSEM3D and a linear model for BSREM.</p><p><strong>Conclusion: </strong>The image quality predictor body weight is a weaker predictor for BSREM than for OSEM3D image quality in [<sup>68</sup>Ga]Ga-DOTA-TATE PET/MR. Therefore, a linear dosage regimen based on body weight is preferable for BSREM, whereas a quadratic dosage regimen based on body weight is optimal for OSEM3D.</p>","PeriodicalId":11559,"journal":{"name":"EJNMMI Physics","volume":"12 1","pages":"60"},"PeriodicalIF":3.2000,"publicationDate":"2025-07-01","publicationTypes":"Journal Article","fieldsOfStudy":null,"isOpenAccess":false,"openAccessPdf":"https://www.ncbi.nlm.nih.gov/pmc/articles/PMC12214164/pdf/","citationCount":"0","resultStr":null,"platform":"Semanticscholar","paperid":null,"PeriodicalName":"EJNMMI Physics","FirstCategoryId":"3","ListUrlMain":"https://doi.org/10.1186/s40658-025-00777-w","RegionNum":2,"RegionCategory":"医学","ArticlePicture":[],"TitleCN":null,"AbstractTextCN":null,"PMCID":null,"EPubDate":"","PubModel":"","JCR":"Q2","JCRName":"RADIOLOGY, NUCLEAR MEDICINE & MEDICAL IMAGING","Score":null,"Total":0}
引用次数: 0

Abstract

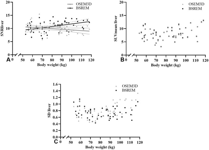
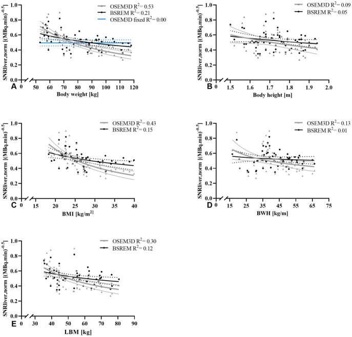
Background: Previous [68Ga]Ga-DOTA-TATE PET/CT studies using ordered subset expectation maximization (OSEM3D) based reconstruction algorithms, demonstrated non-linear relations between body weight and image quality. Block Sequential Regularized Expectation Maximization (BSREM) algorithm reduces noise amplification during reconstruction. The impact of the reconstruction algorithm on the relation between image quality and patient size in [68Ga]Ga-DOTA-TATE PET/MR may differ from PET/CT and OSEM3D. Therefore, the aim of this study is to investigate the relation between patient size and image quality in OSEM3D and BSREM [68Ga]Ga-DOTA-TATE PET/MR reconstructions.

Methods: [68Ga]Ga-DOTA-TATE PET/MR images of 55 patients were included. Images were reconstructed using OSEM3D (VUE Point FX SharpIR, 4 iterations, 28 subsets and 7 mm Gaussian filter) and BSREM (Q.Clear, β = 300). Liver signal-to-noise ratio (SNRliver) normalized for injected activity and acquisition time (SNRliver,norm) was measured to perform curve fitting with patient-dependent parameters using fixed, linear and non-linear fit models, followed by Akaike's corrected information criterion (AICc) model selection.

Results: BSREM mean SNRliver was significantly (p < 0.001) higher than OSEM3D mean SNRliver. Body mass, the best patient-dependent parameter for both algorithms, clarified 40% (linear model) and 53% (non-linear model) of the variability in SNRliver,norm for OSEM3D and 20% (linear model) and 21% (non-linear model) for BSREM. AICc preferred a non-linear model for OSEM3D and a linear model for BSREM.

Conclusion: The image quality predictor body weight is a weaker predictor for BSREM than for OSEM3D image quality in [68Ga]Ga-DOTA-TATE PET/MR. Therefore, a linear dosage regimen based on body weight is preferable for BSREM, whereas a quadratic dosage regimen based on body weight is optimal for OSEM3D.

Abstract Image

Abstract Image

Abstract Image

[68Ga]Ga-DOTA-TATE PET/MR中患者尺寸对OSEM3D和BSREM重建图像质量的影响
背景:先前的[68Ga]Ga-DOTA-TATE PET/CT研究使用基于有序子集期望最大化(OSEM3D)的重建算法,证明了体重与图像质量之间的非线性关系。块序贯正则化期望最大化(BSREM)算法降低了重构过程中的噪声放大。在[68Ga]Ga-DOTA-TATE PET/MR中,重建算法对图像质量与患者尺寸关系的影响可能与PET/CT和OSEM3D有所不同。因此,本研究的目的是研究OSEM3D和BSREM [68Ga]Ga-DOTA-TATE PET/MR重建中患者尺寸与图像质量之间的关系。方法:选取55例患者的[68Ga]Ga-DOTA-TATE PET/MR图像。使用OSEM3D (VUE Point FX SharpIR, 4次迭代,28个子集和7 mm高斯滤波器)和BSREM (Q.Clear, β = 300)重建图像。测量肝脏信噪比(SNRliver)归一化的注射活性和采集时间(SNRliver,范数),使用固定、线性和非线性拟合模型与患者相关参数进行曲线拟合,然后选择Akaike的校正信息准则(AICc)模型。结论:在[68Ga]Ga-DOTA-TATE PET/MR中,体重对BSREM的预测能力弱于OSEM3D图像质量的预测能力。因此,基于体重的线性给药方案是BSREM的优选方案,而基于体重的二次给药方案是OSEM3D的最佳方案。
本文章由计算机程序翻译,如有差异,请以英文原文为准。
求助全文
约1分钟内获得全文 求助全文
来源期刊
EJNMMI Physics
EJNMMI Physics Physics and Astronomy-Radiation
CiteScore
6.70
自引率
10.00%
发文量
78
审稿时长
13 weeks
期刊介绍: EJNMMI Physics is an international platform for scientists, users and adopters of nuclear medicine with a particular interest in physics matters. As a companion journal to the European Journal of Nuclear Medicine and Molecular Imaging, this journal has a multi-disciplinary approach and welcomes original materials and studies with a focus on applied physics and mathematics as well as imaging systems engineering and prototyping in nuclear medicine. This includes physics-driven approaches or algorithms supported by physics that foster early clinical adoption of nuclear medicine imaging and therapy.
×
引用
GB/T 7714-2015
复制
MLA
复制
APA
复制
导出至
BibTeX EndNote RefMan NoteFirst NoteExpress
×
提示
您的信息不完整,为了账户安全,请先补充。
现在去补充
×
提示
您因"违规操作"
具体请查看互助需知
我知道了
×
提示
确定
请完成安全验证×
copy
已复制链接
快去分享给好友吧!
我知道了
右上角分享
点击右上角分享
0
联系我们:info@booksci.cn Book学术提供免费学术资源搜索服务,方便国内外学者检索中英文文献。致力于提供最便捷和优质的服务体验。 Copyright © 2023 布克学术 All rights reserved.
京ICP备2023020795号-1
ghs 京公网安备 11010802042870号
Book学术文献互助
Book学术文献互助群
群 号:604180095
Book学术官方微信