Occurrence of extended-spectrum beta-lactamase (ESBL) in Gram-negative bacterial isolates from high vaginal swabs in a teaching hospital in Nigeria.

Oluwatoyin B Famojuro, Tayo I Famojuro, Oluremi B Oluwatobi, Damilare D Olumide
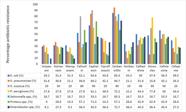
{"title":"Occurrence of extended-spectrum beta-lactamase (ESBL) in Gram-negative bacterial isolates from high vaginal swabs in a teaching hospital in Nigeria.","authors":"Oluwatoyin B Famojuro, Tayo I Famojuro, Oluremi B Oluwatobi, Damilare D Olumide","doi":"10.4314/gmj.v58i4.7","DOIUrl":null,"url":null,"abstract":"<p><strong>Objective: </strong>This study aims to determine the antibiotic susceptibility pattern and incidence of extended-spectrum beta-lactamase (ESBL) genes in isolates from vaginal discharge of symptomatic female patients.</p><p><strong>Study design: </strong>Cross-sectional study.</p><p><strong>Participant: </strong>Pregnant and non-pregnant women between 18 and 50 years who presented with genital tract infection and had not received antimicrobial therapy in the two weeks prior.</p><p><strong>Interventions: </strong>The study determines the prevalence of bacteria in the vaginal discharge of female patients of reproductive age, the antibiotic susceptibility pattern of the isolates and the incidence of ESBL genes in Gram-negative isolates from the sample.</p><p><strong>Results: </strong>Bacteria were found in 74 (80.4%) and 88 (81.5%) samples from pregnant and non-pregnant women, respectively. <i>Escherichia coli</i> (n=48; 27.6%) occurred mostly in the samples, followed by <i>Staphylococcus aureus</i> (n=38; 21.8%). Among the Gram-positive, all <i>Streptococcus. pneumoniae</i> and <i>Staphylococcus. epidermidis</i> were sensitive to imipenem and meropenem (100%). <i>S. aureus</i> was the most resistant to cephalexin (71.4%), cefoxitin (60.5%) carbenicillin (60.5%) and ceftazidime (57.9%). <i>Escherichia coli</i> was highly resistant to carbenicillin (85.4%), cephalexin (64.6%) and cefotaxime (56.3%). <i>Klebsiella pneumoniae</i> showed the highest level of imipenem resistance (31.6%), followed by <i>E. coli</i> (29.2%). The prevalence of ESBL genes in Gram-negative isolates from pregnant women was 25.6% (11/43), compared to 30.3% (23/76) in non-pregnant women. Both <i>bla</i> <sub>TEM</sub> and <i>bla</i> <sub>SHV</sub> had the highest occurrence of 14.3% (17/119) of the isolates.</p><p><strong>Conclusion: </strong>This study found Gram-negative pathogens isolated from the vaginal tract of both pregnant and non-pregnant women to be resistant to multiple antibiotics and have ESBL genes.</p><p><strong>Funding: </strong>None declared.</p>","PeriodicalId":94319,"journal":{"name":"Ghana medical journal","volume":"58 4","pages":"294-302"},"PeriodicalIF":0.0000,"publicationDate":"2024-12-01","publicationTypes":"Journal Article","fieldsOfStudy":null,"isOpenAccess":false,"openAccessPdf":"https://www.ncbi.nlm.nih.gov/pmc/articles/PMC12203749/pdf/","citationCount":"0","resultStr":null,"platform":"Semanticscholar","paperid":null,"PeriodicalName":"Ghana medical journal","FirstCategoryId":"1085","ListUrlMain":"https://doi.org/10.4314/gmj.v58i4.7","RegionNum":0,"RegionCategory":null,"ArticlePicture":[],"TitleCN":null,"AbstractTextCN":null,"PMCID":null,"EPubDate":"","PubModel":"","JCR":"","JCRName":"","Score":null,"Total":0}
引用次数: 0

Abstract

Objective: This study aims to determine the antibiotic susceptibility pattern and incidence of extended-spectrum beta-lactamase (ESBL) genes in isolates from vaginal discharge of symptomatic female patients.

Study design: Cross-sectional study.

Participant: Pregnant and non-pregnant women between 18 and 50 years who presented with genital tract infection and had not received antimicrobial therapy in the two weeks prior.

Interventions: The study determines the prevalence of bacteria in the vaginal discharge of female patients of reproductive age, the antibiotic susceptibility pattern of the isolates and the incidence of ESBL genes in Gram-negative isolates from the sample.

Results: Bacteria were found in 74 (80.4%) and 88 (81.5%) samples from pregnant and non-pregnant women, respectively. Escherichia coli (n=48; 27.6%) occurred mostly in the samples, followed by Staphylococcus aureus (n=38; 21.8%). Among the Gram-positive, all Streptococcus. pneumoniae and Staphylococcus. epidermidis were sensitive to imipenem and meropenem (100%). S. aureus was the most resistant to cephalexin (71.4%), cefoxitin (60.5%) carbenicillin (60.5%) and ceftazidime (57.9%). Escherichia coli was highly resistant to carbenicillin (85.4%), cephalexin (64.6%) and cefotaxime (56.3%). Klebsiella pneumoniae showed the highest level of imipenem resistance (31.6%), followed by E. coli (29.2%). The prevalence of ESBL genes in Gram-negative isolates from pregnant women was 25.6% (11/43), compared to 30.3% (23/76) in non-pregnant women. Both bla TEM and bla SHV had the highest occurrence of 14.3% (17/119) of the isolates.

Conclusion: This study found Gram-negative pathogens isolated from the vaginal tract of both pregnant and non-pregnant women to be resistant to multiple antibiotics and have ESBL genes.

Funding: None declared.

Abstract Image

Abstract Image

Abstract Image

尼日利亚一家教学医院阴道高拭子革兰氏阴性细菌分离物中广谱β -内酰胺酶(ESBL)的发生
目的:了解有症状女性患者阴道分泌物中广谱β -内酰胺酶(ESBL)基因的药敏模式及发生率。研究设计:横断面研究。参与者:年龄在18到50岁之间,有生殖道感染且在两周之前未接受过抗菌药物治疗的孕妇和非孕妇。干预措施:研究确定育龄女性患者阴道分泌物中细菌的流行情况、分离株的抗生素药敏模式以及样本中革兰氏阴性分离株ESBL基因的发生率。结果:孕妇标本检出细菌74例(80.4%),非孕妇标本检出细菌88例(81.5%)。大肠杆菌(n=48;27.6%),其次是金黄色葡萄球菌(n=38;21.8%)。革兰氏阳性的,都是链球菌。肺炎和葡萄球菌。表皮对亚胺培南和美罗培南敏感(100%)。金黄色葡萄球菌对头孢氨苄(71.4%)、头孢西丁(60.5%)、卡比西林(60.5%)和头孢他啶(57.9%)耐药最多。大肠杆菌对卡比西林(85.4%)、头孢氨苄(64.6%)和头孢噻肟(56.3%)耐药。肺炎克雷伯菌对亚胺培南的耐药性最高(31.6%),其次是大肠杆菌(29.2%)。孕妇革兰氏阴性分离株中ESBL基因的患病率为25.6%(11/43),而非孕妇为30.3%(23/76)。bla TEM和bla SHV的发生率最高,为14.3%(17/119)。结论:本研究发现从孕妇和非孕妇阴道分离的革兰氏阴性病原菌对多种抗生素均具有耐药性,且具有ESBL基因。资金:未宣布。
本文章由计算机程序翻译,如有差异,请以英文原文为准。
求助全文
约1分钟内获得全文 求助全文
来源期刊
CiteScore
1.10
自引率
0.00%
发文量
0
×
引用
GB/T 7714-2015
复制
MLA
复制
APA
复制
导出至
BibTeX EndNote RefMan NoteFirst NoteExpress
×
提示
您的信息不完整,为了账户安全,请先补充。
现在去补充
×
提示
您因"违规操作"
具体请查看互助需知
我知道了
×
提示
确定
请完成安全验证×
copy
已复制链接
快去分享给好友吧!
我知道了
右上角分享
点击右上角分享
0
联系我们:info@booksci.cn Book学术提供免费学术资源搜索服务,方便国内外学者检索中英文文献。致力于提供最便捷和优质的服务体验。 Copyright © 2023 布克学术 All rights reserved.
京ICP备2023020795号-1
ghs 京公网安备 11010802042870号
Book学术文献互助
Book学术文献互助群
群 号:604180095
Book学术官方微信