The IIIVmrMLM method uncovers new genetic variants associated with resistance to Fusarium wilt in flax.

IF 1 Q3 AGRICULTURE, MULTIDISCIPLINARY
М A Duk, A A Kanapin, A A Samsonova, M P Bankin, М G Samsonova
{"title":"The IIIVmrMLM method uncovers new genetic variants associated with resistance to Fusarium wilt in flax.","authors":"М A Duk, A A Kanapin, A A Samsonova, M P Bankin, М G Samsonova","doi":"10.18699/vjgb-25-41","DOIUrl":null,"url":null,"abstract":"<p><p>Flax (Linum usitatissimum) is an important agricultural crop grown for fiber and oil production, playing a key role in various industries such as production of paints, linoleum, food, clothes and composite materials. Fusarium wilt caused by the fungus Fusarium oxysporum f. sp. lini is a reason of significant economic damage in flax cultivation. The spores of the fungus can persist in the soil for a long time, so obtaining resistant varieties is important. Here we used data on the resistance of 297 flax accessions from the collection of the Federal Center for Bast Crops in Torzhok (Russian Federation) to infection by a highly virulent isolate of the fungus MI39 in 2019-2021. Genotype resistance to infection was assessed by calculating the DSI index, a normalized proportion of genotypes with the same disease symptoms. The IIIVmrMLM program in Single_env mode was used to search for regions of the flax genome associated with resistance. The IIIVmrMLM model was designed to address methodological shortcomings in identifying all types of interactions between alleles, genes and environment, and to unbiasedly estimate their genetic effects. Being a multilocus MLM model, it estimates the effects of all genes as well as the effects of all interactions simultaneously. A total of 111 QTNs were found, of which 34 fell within the body of a known gene or were located in flanking regions within 1,000 bp. The genes into which the detected variants fell were associated with resistance to abiotic and biotic stresses, root, shoot and flower growth and development. Ten of the QTNs found mapped to regions of previously identified QTLs controlling the synthesis of palmitic, oleic, and other fatty acids. QTN Chr1_1706865/Chr1_1706872 and QTN Chr8_22542741 mark regions identified previously in an association search by the GAPIT program. The allelic effect was confirmed for all the QTNs found: a Mann-Whitney test was performed, which confirmed significant differences between the DSI index value in carriers of the reference and alternative allele. An increase in the number of alleles with negative effects in the genotype leads to a statistically significant decrease in the DSI value for all three years of testing. The groups of varieties with a large number of alleles reducing the DSI index had the best resistance. A total of 5 varieties were selected from the collection for which the number of alleles reducing the DSI index value did not exceed the number of alleles with the opposite effect for all three years. These varieties can be used further in breeding programs.</p>","PeriodicalId":44339,"journal":{"name":"Vavilovskii Zhurnal Genetiki i Selektsii","volume":"29 3","pages":"380-391"},"PeriodicalIF":1.0000,"publicationDate":"2025-06-01","publicationTypes":"Journal Article","fieldsOfStudy":null,"isOpenAccess":false,"openAccessPdf":"https://www.ncbi.nlm.nih.gov/pmc/articles/PMC12202785/pdf/","citationCount":"0","resultStr":null,"platform":"Semanticscholar","paperid":null,"PeriodicalName":"Vavilovskii Zhurnal Genetiki i Selektsii","FirstCategoryId":"1085","ListUrlMain":"https://doi.org/10.18699/vjgb-25-41","RegionNum":0,"RegionCategory":null,"ArticlePicture":[],"TitleCN":null,"AbstractTextCN":null,"PMCID":null,"EPubDate":"","PubModel":"","JCR":"Q3","JCRName":"AGRICULTURE, MULTIDISCIPLINARY","Score":null,"Total":0}
引用次数: 0

Abstract

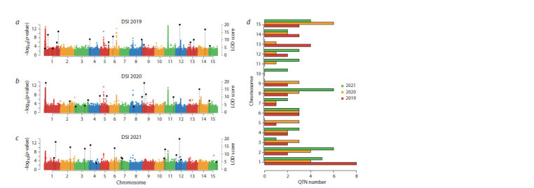
Flax (Linum usitatissimum) is an important agricultural crop grown for fiber and oil production, playing a key role in various industries such as production of paints, linoleum, food, clothes and composite materials. Fusarium wilt caused by the fungus Fusarium oxysporum f. sp. lini is a reason of significant economic damage in flax cultivation. The spores of the fungus can persist in the soil for a long time, so obtaining resistant varieties is important. Here we used data on the resistance of 297 flax accessions from the collection of the Federal Center for Bast Crops in Torzhok (Russian Federation) to infection by a highly virulent isolate of the fungus MI39 in 2019-2021. Genotype resistance to infection was assessed by calculating the DSI index, a normalized proportion of genotypes with the same disease symptoms. The IIIVmrMLM program in Single_env mode was used to search for regions of the flax genome associated with resistance. The IIIVmrMLM model was designed to address methodological shortcomings in identifying all types of interactions between alleles, genes and environment, and to unbiasedly estimate their genetic effects. Being a multilocus MLM model, it estimates the effects of all genes as well as the effects of all interactions simultaneously. A total of 111 QTNs were found, of which 34 fell within the body of a known gene or were located in flanking regions within 1,000 bp. The genes into which the detected variants fell were associated with resistance to abiotic and biotic stresses, root, shoot and flower growth and development. Ten of the QTNs found mapped to regions of previously identified QTLs controlling the synthesis of palmitic, oleic, and other fatty acids. QTN Chr1_1706865/Chr1_1706872 and QTN Chr8_22542741 mark regions identified previously in an association search by the GAPIT program. The allelic effect was confirmed for all the QTNs found: a Mann-Whitney test was performed, which confirmed significant differences between the DSI index value in carriers of the reference and alternative allele. An increase in the number of alleles with negative effects in the genotype leads to a statistically significant decrease in the DSI value for all three years of testing. The groups of varieties with a large number of alleles reducing the DSI index had the best resistance. A total of 5 varieties were selected from the collection for which the number of alleles reducing the DSI index value did not exceed the number of alleles with the opposite effect for all three years. These varieties can be used further in breeding programs.

Abstract Image

Abstract Image

Abstract Image

IIIVmrMLM方法揭示了与亚麻枯萎病抗性相关的新遗传变异。
亚麻(Linum usitatissimum)是一种重要的生产纤维和油脂的农作物,在油漆、油毡、食品、服装和复合材料的生产等各个行业中发挥着关键作用。由尖孢镰刀菌(Fusarium oxysporum f. sp. lini)引起的枯萎病(Fusarium wilt)是造成亚麻栽培重大经济损失的原因之一。真菌的孢子可以在土壤中存留很长时间,因此获得抗真菌的品种是很重要的。在这里,我们使用了来自俄罗斯联邦托尔若克联邦麻类作物中心收集的297份亚麻材料在2019-2021年对高毒力真菌MI39分离物感染的抗性数据。通过计算DSI指数(具有相同疾病症状的基因型的标准化比例)来评估基因型对感染的抗性。使用Single_env模式下的IIIVmrMLM程序搜索亚麻基因组中与抗性相关的区域。IIIVmrMLM模型旨在解决在识别等位基因、基因和环境之间所有类型的相互作用方面的方法学缺陷,并无偏倚地估计其遗传效应。作为一个多位点MLM模型,它同时估计了所有基因的影响以及所有相互作用的影响。共发现111个QTNs,其中34个位于已知基因主体内或位于1000 bp以内的侧翼区域。检测到的变异基因与对非生物和生物胁迫的抗性,根,芽和花的生长发育有关。发现的十个QTNs映射到先前确定的控制棕榈酸、油酸和其他脂肪酸合成的qttl的区域。QTN Chr1_1706865/Chr1_1706872和QTN Chr8_22542741标记了GAPIT程序先前在关联搜索中确定的区域。所有发现的qtn均证实了等位基因效应:进行Mann-Whitney检验,证实参比等位基因携带者与替代等位基因携带者的DSI指数值存在显著差异。基因型中具有负面影响的等位基因数量的增加导致所有三年测试中DSI值的统计显着下降。降低DSI指数的等位基因数量较多的品种群体具有最好的抗性。共筛选出5个降低DSI指数的等位基因数量3年都不超过降低DSI指数的等位基因数量的品种。这些品种可以进一步用于育种计划。
本文章由计算机程序翻译,如有差异,请以英文原文为准。
求助全文
约1分钟内获得全文 求助全文
来源期刊
Vavilovskii Zhurnal Genetiki i Selektsii
Vavilovskii Zhurnal Genetiki i Selektsii AGRICULTURE, MULTIDISCIPLINARY-
CiteScore
1.90
自引率
0.00%
发文量
119
审稿时长
8 weeks
期刊介绍: The "Vavilov Journal of genetics and breeding" publishes original research and review articles in all key areas of modern plant, animal and human genetics, genomics, bioinformatics and biotechnology. One of the main objectives of the journal is integration of theoretical and applied research in the field of genetics. Special attention is paid to the most topical areas in modern genetics dealing with global concerns such as food security and human health.
×
引用
GB/T 7714-2015
复制
MLA
复制
APA
复制
导出至
BibTeX EndNote RefMan NoteFirst NoteExpress
×
提示
您的信息不完整,为了账户安全,请先补充。
现在去补充
×
提示
您因"违规操作"
具体请查看互助需知
我知道了
×
提示
确定
请完成安全验证×
copy
已复制链接
快去分享给好友吧!
我知道了
右上角分享
点击右上角分享
0
联系我们:info@booksci.cn Book学术提供免费学术资源搜索服务,方便国内外学者检索中英文文献。致力于提供最便捷和优质的服务体验。 Copyright © 2023 布克学术 All rights reserved.
京ICP备2023020795号-1
ghs 京公网安备 11010802042870号
Book学术文献互助
Book学术文献互助群
群 号:604180095
Book学术官方微信