Sustained Molecular Allograft Injury After Episodes of Acute Rejection and Organizing Pneumonia Increases the Risk of Lung Allograft Failure.

IF 1.9 Q3 TRANSPLANTATION
Transplantation Direct Pub Date : 2025-06-27 eCollection Date: 2025-07-01 DOI:10.1097/TXD.0000000000001828
Michael B Keller, Allison Y Lin, Moon Kyoo Jang, Hyesik Kong, Ananth Charya, Gerald J Berry, Charles C Marboe, Ileana L Ponor, Shambhu Aryal, Jonathan B Orens, Pali D Shah, Steven D Nathan, Xin Tian, Sean Agbor-Enoh
{"title":"Sustained Molecular Allograft Injury After Episodes of Acute Rejection and Organizing Pneumonia Increases the Risk of Lung Allograft Failure.","authors":"Michael B Keller, Allison Y Lin, Moon Kyoo Jang, Hyesik Kong, Ananth Charya, Gerald J Berry, Charles C Marboe, Ileana L Ponor, Shambhu Aryal, Jonathan B Orens, Pali D Shah, Steven D Nathan, Xin Tian, Sean Agbor-Enoh","doi":"10.1097/TXD.0000000000001828","DOIUrl":null,"url":null,"abstract":"<p><strong>Background: </strong>Despite treatment of major risk factors such as acute rejection (AR) and organizing pneumonia (OP) in lung transplant recipients, chronic lung allograft dysfunction (CLAD) still develops at high rates, suggesting that traditional methods of assessing response to treatment and resolution remain inadequate. It is unknown whether the degree of molecular allograft injury after treatment of AR/OP modulates the risk of CLAD and death.</p><p><strong>Methods: </strong>To evaluate the association of molecular allograft injury after AR/OP with the incidence of CLAD/death, we conducted a multicenter prospective cohort study that included 93 patients who underwent lung transplantation between 2015 and 2022. The degree of molecular allograft injury after AR/OP was quantified by the mean area under the curve of longitudinal measures of plasma donor-derived cell-free DNA (dd-cfDNA).</p><p><strong>Results: </strong>Over a median follow-up of 5 y, patients who developed CLAD/death had persistently higher levels of dd-cfDNA in the months after AR/OP. In multivariable Cox regression analysis adjusting for patient and transplant risk factors, mean dd-cfDNA levels after AR/OP were independently associated with an increased risk of CLAD/death (adjusted hazard ratio, 2.84; 95% confidence interval, 1.67-4.83; <i>P</i> < 0.001) and remained consistent when accounting for changes in pulmonary function after AR/OP events (hazard ratio, 2.62; 95% confidence interval, 1.53-4.47; <i>P</i> < 0.001).</p><p><strong>Conclusions: </strong>The degree of allograft injury on the molecular level after AR/OP events in lung transplant recipients is associated with the risk of developing CLAD or death. This study demonstrates the potential of dd-cfDNA for improving risk stratification and monitoring the resolution and treatment responses of lung allograft injury.</p>","PeriodicalId":23225,"journal":{"name":"Transplantation Direct","volume":"11 7","pages":"e1828"},"PeriodicalIF":1.9000,"publicationDate":"2025-06-27","publicationTypes":"Journal Article","fieldsOfStudy":null,"isOpenAccess":false,"openAccessPdf":"https://www.ncbi.nlm.nih.gov/pmc/articles/PMC12208644/pdf/","citationCount":"0","resultStr":null,"platform":"Semanticscholar","paperid":null,"PeriodicalName":"Transplantation Direct","FirstCategoryId":"1085","ListUrlMain":"https://doi.org/10.1097/TXD.0000000000001828","RegionNum":0,"RegionCategory":null,"ArticlePicture":[],"TitleCN":null,"AbstractTextCN":null,"PMCID":null,"EPubDate":"2025/7/1 0:00:00","PubModel":"eCollection","JCR":"Q3","JCRName":"TRANSPLANTATION","Score":null,"Total":0}
引用次数: 0

Abstract

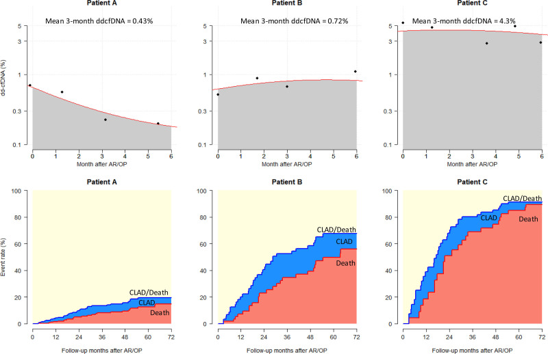
Background: Despite treatment of major risk factors such as acute rejection (AR) and organizing pneumonia (OP) in lung transplant recipients, chronic lung allograft dysfunction (CLAD) still develops at high rates, suggesting that traditional methods of assessing response to treatment and resolution remain inadequate. It is unknown whether the degree of molecular allograft injury after treatment of AR/OP modulates the risk of CLAD and death.

Methods: To evaluate the association of molecular allograft injury after AR/OP with the incidence of CLAD/death, we conducted a multicenter prospective cohort study that included 93 patients who underwent lung transplantation between 2015 and 2022. The degree of molecular allograft injury after AR/OP was quantified by the mean area under the curve of longitudinal measures of plasma donor-derived cell-free DNA (dd-cfDNA).

Results: Over a median follow-up of 5 y, patients who developed CLAD/death had persistently higher levels of dd-cfDNA in the months after AR/OP. In multivariable Cox regression analysis adjusting for patient and transplant risk factors, mean dd-cfDNA levels after AR/OP were independently associated with an increased risk of CLAD/death (adjusted hazard ratio, 2.84; 95% confidence interval, 1.67-4.83; P < 0.001) and remained consistent when accounting for changes in pulmonary function after AR/OP events (hazard ratio, 2.62; 95% confidence interval, 1.53-4.47; P < 0.001).

Conclusions: The degree of allograft injury on the molecular level after AR/OP events in lung transplant recipients is associated with the risk of developing CLAD or death. This study demonstrates the potential of dd-cfDNA for improving risk stratification and monitoring the resolution and treatment responses of lung allograft injury.

Abstract Image

Abstract Image

Abstract Image

急性排斥反应和组织性肺炎发作后持续的同种异体分子损伤增加了同种异体肺移植失败的风险。
背景:尽管肺移植受者的急性排斥反应(AR)和组织性肺炎(OP)等主要危险因素得到了治疗,但慢性同种异体肺移植功能障碍(CLAD)的发生率仍然很高,这表明评估治疗反应和解决方案的传统方法仍然不足。目前尚不清楚AR/OP治疗后同种异体分子移植损伤的程度是否会调节CLAD和死亡的风险。方法:为了评估AR/OP后同种异体分子移植损伤与CLAD/死亡发生率的关系,我们进行了一项多中心前瞻性队列研究,纳入了2015年至2022年间接受肺移植的93例患者。采用血浆供体源性无细胞DNA (dd-cfDNA)纵向测量曲线下平均面积量化AR/OP后同种异体分子移植损伤程度。结果:在中位5年的随访中,发生CLAD/死亡的患者在AR/OP后的几个月内持续存在较高水平的dd-cfDNA。在调整患者和移植危险因素的多变量Cox回归分析中,AR/OP后的平均dd-cfDNA水平与CLAD/死亡风险增加独立相关(校正风险比,2.84;95%置信区间为1.67-4.83;结论:肺移植受者AR/OP事件后同种异体移植物在分子水平上的损伤程度与发生CLAD或死亡的风险相关。这项研究证明了dd-cfDNA在改善风险分层和监测同种异体肺移植损伤的消退和治疗反应方面的潜力。
本文章由计算机程序翻译,如有差异,请以英文原文为准。
求助全文
约1分钟内获得全文 求助全文
来源期刊
Transplantation Direct
Transplantation Direct TRANSPLANTATION-
CiteScore
3.40
自引率
4.30%
发文量
193
审稿时长
8 weeks
×
引用
GB/T 7714-2015
复制
MLA
复制
APA
复制
导出至
BibTeX EndNote RefMan NoteFirst NoteExpress
×
提示
您的信息不完整,为了账户安全,请先补充。
现在去补充
×
提示
您因"违规操作"
具体请查看互助需知
我知道了
×
提示
确定
请完成安全验证×
copy
已复制链接
快去分享给好友吧!
我知道了
右上角分享
点击右上角分享
0
联系我们:info@booksci.cn Book学术提供免费学术资源搜索服务,方便国内外学者检索中英文文献。致力于提供最便捷和优质的服务体验。 Copyright © 2023 布克学术 All rights reserved.
京ICP备2023020795号-1
ghs 京公网安备 11010802042870号
Book学术文献互助
Book学术文献互助群
群 号:604180095
Book学术官方微信