Early detection of Alzheimer's disease using small RNAs. Results from the EPAD cohort.

IF 7.8 Q2 BUSINESS
Tobias Sikosek, Marco Heuvelman, Jagoda Mika, Mustafa Kahraman, Julia Jehn, Maurice Frank, Alberto Daniel-Moreno, Jessika Ceiler, Jasmin Skottke, Marta Sanchez-Delgado, Patrick Neubert, Christina Rudolf, Kaja Tikk, Rastislav Horos, Jeffrey L Cummings, Josie Butchart, Craig Ritchie, Jean Manson, Bruno R Steinkraus
{"title":"Early detection of Alzheimer's disease using small RNAs. Results from the EPAD cohort.","authors":"Tobias Sikosek, Marco Heuvelman, Jagoda Mika, Mustafa Kahraman, Julia Jehn, Maurice Frank, Alberto Daniel-Moreno, Jessika Ceiler, Jasmin Skottke, Marta Sanchez-Delgado, Patrick Neubert, Christina Rudolf, Kaja Tikk, Rastislav Horos, Jeffrey L Cummings, Josie Butchart, Craig Ritchie, Jean Manson, Bruno R Steinkraus","doi":"10.1016/j.tjpad.2025.100257","DOIUrl":null,"url":null,"abstract":"<p><strong>Background: </strong>Alzheimer's disease (AD) is the most common form of dementia, and early diagnosis is crucial to enable effective interventions. Currently, Alzheimer's disease is diagnosed through cognitive assessments, brain imaging and fluid biomarkers focused on determining amyloid (A) and, tau (T) protein levels as well as neurodegeneration (N) in the AT(N) framework. Prognostic biomarkers for predicting cognitive decline within the amyloid positive (Aβ+) individuals would further strengthen the framework.</p><p><strong>Objectives: </strong>This study evaluated small RNAs as novel auxiliary biomarkers, independent of the AT(N) framework, either alone or in combination with established protein markers, for detecting the earliest cognitive decline in AD.</p><p><strong>Design: </strong>The European Prevention of Alzheimer's Disease (EPAD) clinical trial platform is a prospective, multi-center study designed to investigate biomarkers for preclinical and prodromal AD.</p><p><strong>Setting: </strong>Peripheral whole blood RNA sequencing was performed on participants across Europe with no cognitive impairment or very mild cognitive impairment (MCI), stratified by cerebrospinal fluid amyloid levels.</p><p><strong>Participants: </strong>1,913 participants, 50 years or older and free of dementia diagnosis at enrollment, were analyzed.</p><p><strong>Intervention: </strong>(if any) Not applicable.</p><p><strong>Measurements: </strong>Ultra-deep small RNA sequencing was performed on whole blood samples using a refined blocking protocol to eliminate highly abundant erythroid small RNAs, and thereby to open sequencing bandwidth for the discovery of less abundant biomarker RNAs. Biomarker RNAs were deconvolved into plasma or blood cell origin and analyzed for functional relevance. We define high and low amyloid groups based on a cutoff on the p-tau<sub>181</sub>/Aβ<sub>1-42</sub> ratio as determined from cerebrospinal fluid.</p><p><strong>Results: </strong>We identified a combination of small RNAs that predicted early cognitive decline (Clinical Dementia Rating of 0.5) with an area under the receiver-operator curve of ∼0.7. Notably, when focusing on individuals with cognitive decline and high amyloid burden (Aβ+), the predictive accuracy improved to an AUC of 0.77. This performance could be extended to the entire cohort when combining blood RNA and CSF amyloid markers (AUC 0.76). We conducted bioinformatic analyses to interrogate the likely functional relevance of these small RNAs, uncovering several links to dementia-relevant pathways, including neuronal, cardiovascular, and inflammatory activities. Our findings also suggest that small nucleolar RNAs warrant further investigation as potential disease-relevant markers, in addition to microRNAs.</p><p><strong>Conclusions: </strong>Integrating small RNA biomarkers with protein-based assays offers preliminary evidence for stratifying MCI, particularly within the amyloid positive continuum. Small nucleolar RNAs and microRNAs warrant further exploration as complementary diagnostic tools, and their use may enable more precise and effective interventions.</p>","PeriodicalId":22711,"journal":{"name":"The Journal of Prevention of Alzheimer's Disease","volume":" ","pages":"100257"},"PeriodicalIF":7.8000,"publicationDate":"2025-09-01","publicationTypes":"Journal Article","fieldsOfStudy":null,"isOpenAccess":false,"openAccessPdf":"https://www.ncbi.nlm.nih.gov/pmc/articles/PMC12413721/pdf/","citationCount":"0","resultStr":null,"platform":"Semanticscholar","paperid":null,"PeriodicalName":"The Journal of Prevention of Alzheimer's Disease","FirstCategoryId":"1085","ListUrlMain":"https://doi.org/10.1016/j.tjpad.2025.100257","RegionNum":0,"RegionCategory":null,"ArticlePicture":[],"TitleCN":null,"AbstractTextCN":null,"PMCID":null,"EPubDate":"2025/6/28 0:00:00","PubModel":"Epub","JCR":"Q2","JCRName":"BUSINESS","Score":null,"Total":0}
引用次数: 0

Abstract

Background: Alzheimer's disease (AD) is the most common form of dementia, and early diagnosis is crucial to enable effective interventions. Currently, Alzheimer's disease is diagnosed through cognitive assessments, brain imaging and fluid biomarkers focused on determining amyloid (A) and, tau (T) protein levels as well as neurodegeneration (N) in the AT(N) framework. Prognostic biomarkers for predicting cognitive decline within the amyloid positive (Aβ+) individuals would further strengthen the framework.

Objectives: This study evaluated small RNAs as novel auxiliary biomarkers, independent of the AT(N) framework, either alone or in combination with established protein markers, for detecting the earliest cognitive decline in AD.

Design: The European Prevention of Alzheimer's Disease (EPAD) clinical trial platform is a prospective, multi-center study designed to investigate biomarkers for preclinical and prodromal AD.

Setting: Peripheral whole blood RNA sequencing was performed on participants across Europe with no cognitive impairment or very mild cognitive impairment (MCI), stratified by cerebrospinal fluid amyloid levels.

Participants: 1,913 participants, 50 years or older and free of dementia diagnosis at enrollment, were analyzed.

Intervention: (if any) Not applicable.

Measurements: Ultra-deep small RNA sequencing was performed on whole blood samples using a refined blocking protocol to eliminate highly abundant erythroid small RNAs, and thereby to open sequencing bandwidth for the discovery of less abundant biomarker RNAs. Biomarker RNAs were deconvolved into plasma or blood cell origin and analyzed for functional relevance. We define high and low amyloid groups based on a cutoff on the p-tau181/Aβ1-42 ratio as determined from cerebrospinal fluid.

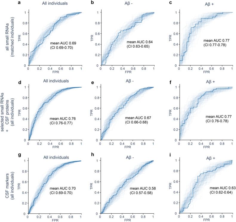
Results: We identified a combination of small RNAs that predicted early cognitive decline (Clinical Dementia Rating of 0.5) with an area under the receiver-operator curve of ∼0.7. Notably, when focusing on individuals with cognitive decline and high amyloid burden (Aβ+), the predictive accuracy improved to an AUC of 0.77. This performance could be extended to the entire cohort when combining blood RNA and CSF amyloid markers (AUC 0.76). We conducted bioinformatic analyses to interrogate the likely functional relevance of these small RNAs, uncovering several links to dementia-relevant pathways, including neuronal, cardiovascular, and inflammatory activities. Our findings also suggest that small nucleolar RNAs warrant further investigation as potential disease-relevant markers, in addition to microRNAs.

Conclusions: Integrating small RNA biomarkers with protein-based assays offers preliminary evidence for stratifying MCI, particularly within the amyloid positive continuum. Small nucleolar RNAs and microRNAs warrant further exploration as complementary diagnostic tools, and their use may enable more precise and effective interventions.

Abstract Image

Abstract Image

Abstract Image

利用小rna早期检测阿尔茨海默病。EPAD队列的结果。
背景:阿尔茨海默病(AD)是最常见的痴呆症,早期诊断对于有效干预至关重要。目前,阿尔茨海默病的诊断是通过认知评估、脑成像和液体生物标志物来确定淀粉样蛋白(A)和tau蛋白(T)水平以及AT(N)框架中的神经变性(N)。预测淀粉样蛋白阳性(Aβ+)个体认知能力下降的预后生物标志物将进一步加强这一框架。目的:本研究评估了小rna作为独立于AT(N)框架的新型辅助生物标志物,可单独或与已建立的蛋白质标志物联合用于检测AD患者早期认知能力下降。设计:欧洲阿尔茨海默病预防(EPAD)临床试验平台是一项前瞻性、多中心研究,旨在研究临床前和前驱阿尔茨海默病的生物标志物。环境:外周全血RNA测序在全欧洲无认知障碍或非常轻度认知障碍(MCI)的参与者中进行,按脑脊液淀粉样蛋白水平分层。参与者:分析了1,913名参与者,年龄在50岁或以上,在入组时没有痴呆诊断。干预:(如有)不适用。测量方法:对全血样本进行超深小RNA测序,使用精细的阻断方案来消除高丰度的红系小RNA,从而打开测序带宽,以发现较少丰度的生物标志物RNA。生物标志物rna被解卷积到血浆或血细胞起源,并分析其功能相关性。我们根据从脑脊液中测定的p-tau181/ a - β1-42比值的截止值来定义高和低淀粉样蛋白组。结果:我们确定了一个小rna的组合,可以预测早期认知能力下降(临床痴呆评分为0.5),受体-操作者曲线下的面积为~ 0.7。值得注意的是,当关注认知能力下降和高淀粉样蛋白负担(Aβ+)的个体时,预测准确性提高到0.77的AUC。当结合血液RNA和脑脊液淀粉样蛋白标记物(AUC 0.76)时,这种性能可以扩展到整个队列。我们进行了生物信息学分析,以询问这些小rna可能的功能相关性,揭示了与痴呆相关途径的几种联系,包括神经元、心血管和炎症活动。我们的研究结果还表明,除了微小rna外,小核仁rna作为潜在的疾病相关标志物值得进一步研究。结论:将小RNA生物标志物与基于蛋白质的检测相结合,为MCI的分层提供了初步证据,特别是在淀粉样蛋白阳性连续体中。小核仁rna和微小rna作为辅助诊断工具值得进一步探索,它们的使用可能使更精确和有效的干预成为可能。
本文章由计算机程序翻译,如有差异,请以英文原文为准。
求助全文
约1分钟内获得全文 求助全文
来源期刊
The Journal of Prevention of Alzheimer's Disease
The Journal of Prevention of Alzheimer's Disease Medicine-Psychiatry and Mental Health
CiteScore
9.20
自引率
0.00%
发文量
0
期刊介绍: The JPAD Journal of Prevention of Alzheimer’Disease will publish reviews, original research articles and short reports to improve our knowledge in the field of Alzheimer prevention including: neurosciences, biomarkers, imaging, epidemiology, public health, physical cognitive exercise, nutrition, risk and protective factors, drug development, trials design, and heath economic outcomes.JPAD will publish also the meeting abstracts from Clinical Trial on Alzheimer Disease (CTAD) and will be distributed both in paper and online version worldwide.We hope that JPAD with your contribution will play a role in the development of Alzheimer prevention.
×
引用
GB/T 7714-2015
复制
MLA
复制
APA
复制
导出至
BibTeX EndNote RefMan NoteFirst NoteExpress
×
提示
您的信息不完整,为了账户安全,请先补充。
现在去补充
×
提示
您因"违规操作"
具体请查看互助需知
我知道了
×
提示
确定
请完成安全验证×
copy
已复制链接
快去分享给好友吧!
我知道了
右上角分享
点击右上角分享
0
联系我们:info@booksci.cn Book学术提供免费学术资源搜索服务,方便国内外学者检索中英文文献。致力于提供最便捷和优质的服务体验。 Copyright © 2023 布克学术 All rights reserved.
京ICP备2023020795号-1
ghs 京公网安备 11010802042870号
Book学术文献互助
Book学术文献互助群
群 号:604180095
Book学术官方微信