Real-World Outcomes of Pembrolizumab in Advanced Melanoma by Age and Sex: A National Population-Based Study.

IF 4 3区 医学 Q2 ONCOLOGY
Targeted Oncology Pub Date : 2025-09-01 Epub Date: 2025-06-30 DOI:10.1007/s11523-025-01164-2
Chin Hang Yiu, Alexander M Menzies, Christine Y Lu
{"title":"Real-World Outcomes of Pembrolizumab in Advanced Melanoma by Age and Sex: A National Population-Based Study.","authors":"Chin Hang Yiu, Alexander M Menzies, Christine Y Lu","doi":"10.1007/s11523-025-01164-2","DOIUrl":null,"url":null,"abstract":"<p><strong>Background: </strong>Immune checkpoint inhibitors are standard treatment for advanced melanoma. Pembrolizumab (programmed cell death-1 inhibitor) monotherapy is recommended as first-line treatment. However, real-world evidence on its efficacy and safety in Australia, a region with the highest melanoma incidence, remains limited.</p><p><strong>Objective: </strong>This study aimed to assess real-world outcomes of pembrolizumab in patients with advanced melanoma in Australia.</p><p><strong>Methods: </strong>A retrospective cohort study was conducted using national Pharmaceutical Benefits Scheme and National Death Index data via the Australian Bureau of Statistics DataLab. Patients who initiated pembrolizumab monotherapy for stage III/IV unresectable melanoma (1 January, 2017-30 June, 2022) were included. Kaplan-Meier analyses and multivariate Cox regressions were performed to assess overall survival and time to treatment discontinuation. Immune-related adverse events were inferred from corticosteroid and levothyroxine prescriptions. Subgroup analyses were performed by age (18-64, 65-84, ≥ 85 years) and sex.</p><p><strong>Results: </strong>Among 4127 patients, the median overall survival was 816 days. Mortality was higher in patients aged 65-84 years (adjusted hazards ratio 1.39, 95% confidence interval 1.24-1.56) and ≥85 years (adjusted hazards ratio 1.93, 95% confidence interval 1.69-2.21) versus 18-64 years. Median time to treatment discontinuation was 377 days, with a higher discontinuation rate in female individuals (adjusted hazards ratio 1.19, 95% confidence interval 1.09-1.29). Incident corticosteroid and levothyroxine prescriptions were observed in 19.3 and 7.6% of patients, respectively.</p><p><strong>Conclusions: </strong>Our findings align with clinical trials, demonstrating similar survival outcomes. Younger patients benefited more from pembrolizumab, while female individuals had shorter treatment durations. Further research is required to explore immune checkpoint inhibitor efficacy, safety, and treatment disparities.</p>","PeriodicalId":22195,"journal":{"name":"Targeted Oncology","volume":" ","pages":"847-859"},"PeriodicalIF":4.0000,"publicationDate":"2025-09-01","publicationTypes":"Journal Article","fieldsOfStudy":null,"isOpenAccess":false,"openAccessPdf":"https://www.ncbi.nlm.nih.gov/pmc/articles/PMC12454464/pdf/","citationCount":"0","resultStr":null,"platform":"Semanticscholar","paperid":null,"PeriodicalName":"Targeted Oncology","FirstCategoryId":"3","ListUrlMain":"https://doi.org/10.1007/s11523-025-01164-2","RegionNum":3,"RegionCategory":"医学","ArticlePicture":[],"TitleCN":null,"AbstractTextCN":null,"PMCID":null,"EPubDate":"2025/6/30 0:00:00","PubModel":"Epub","JCR":"Q2","JCRName":"ONCOLOGY","Score":null,"Total":0}
引用次数: 0

Abstract

Background: Immune checkpoint inhibitors are standard treatment for advanced melanoma. Pembrolizumab (programmed cell death-1 inhibitor) monotherapy is recommended as first-line treatment. However, real-world evidence on its efficacy and safety in Australia, a region with the highest melanoma incidence, remains limited.

Objective: This study aimed to assess real-world outcomes of pembrolizumab in patients with advanced melanoma in Australia.

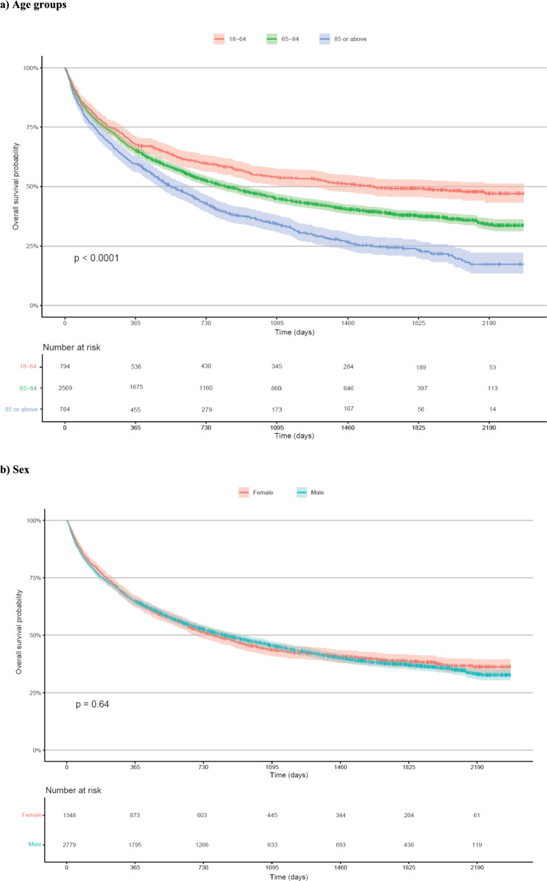
Methods: A retrospective cohort study was conducted using national Pharmaceutical Benefits Scheme and National Death Index data via the Australian Bureau of Statistics DataLab. Patients who initiated pembrolizumab monotherapy for stage III/IV unresectable melanoma (1 January, 2017-30 June, 2022) were included. Kaplan-Meier analyses and multivariate Cox regressions were performed to assess overall survival and time to treatment discontinuation. Immune-related adverse events were inferred from corticosteroid and levothyroxine prescriptions. Subgroup analyses were performed by age (18-64, 65-84, ≥ 85 years) and sex.

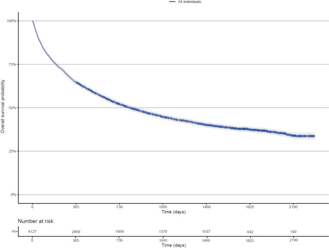
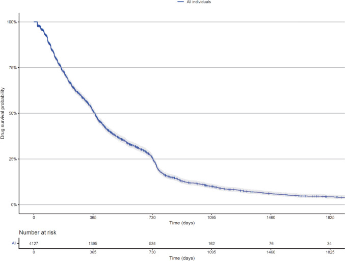
Results: Among 4127 patients, the median overall survival was 816 days. Mortality was higher in patients aged 65-84 years (adjusted hazards ratio 1.39, 95% confidence interval 1.24-1.56) and ≥85 years (adjusted hazards ratio 1.93, 95% confidence interval 1.69-2.21) versus 18-64 years. Median time to treatment discontinuation was 377 days, with a higher discontinuation rate in female individuals (adjusted hazards ratio 1.19, 95% confidence interval 1.09-1.29). Incident corticosteroid and levothyroxine prescriptions were observed in 19.3 and 7.6% of patients, respectively.

Conclusions: Our findings align with clinical trials, demonstrating similar survival outcomes. Younger patients benefited more from pembrolizumab, while female individuals had shorter treatment durations. Further research is required to explore immune checkpoint inhibitor efficacy, safety, and treatment disparities.

Abstract Image

Abstract Image

Abstract Image

Pembrolizumab治疗晚期黑色素瘤的实际结果:一项基于年龄和性别的全国人群研究
背景:免疫检查点抑制剂是晚期黑色素瘤的标准治疗方法。Pembrolizumab(程序性细胞死亡-1抑制剂)单药治疗推荐作为一线治疗。然而,在黑色素瘤发病率最高的澳大利亚,关于其有效性和安全性的真实证据仍然有限。目的:本研究旨在评估派姆单抗在澳大利亚晚期黑色素瘤患者中的实际结果。方法:通过澳大利亚统计局数据实验室使用国家药品福利计划和国家死亡指数数据进行回顾性队列研究。接受派姆单抗单药治疗III/IV期不可切除黑色素瘤(2017年1月1日至2022年6月30日)的患者纳入研究。Kaplan-Meier分析和多变量Cox回归评估总生存期和停药时间。免疫相关不良事件从皮质类固醇和左甲状腺素处方推断。按年龄(18-64岁、65-84岁、≥85岁)和性别进行亚组分析。结果:4127例患者中位总生存期为816天。65-84岁(校正风险比1.39,95%可信区间1.24-1.56)和≥85岁(校正风险比1.93,95%可信区间1.69-2.21)患者的死亡率高于18-64岁。到停药的中位时间为377天,女性停药率较高(调整后的危险比1.19,95%可信区间1.09-1.29)。皮质类固醇和左甲状腺素处方发生率分别为19.3%和7.6%。结论:我们的发现与临床试验一致,显示出相似的生存结果。年轻患者从派姆单抗中获益更多,而女性患者的治疗持续时间更短。需要进一步的研究来探索免疫检查点抑制剂的有效性、安全性和治疗差异。
本文章由计算机程序翻译,如有差异,请以英文原文为准。
求助全文
约1分钟内获得全文 求助全文
来源期刊
Targeted Oncology
Targeted Oncology 医学-肿瘤学
CiteScore
8.40
自引率
3.70%
发文量
64
审稿时长
>12 weeks
期刊介绍: Targeted Oncology addresses physicians and scientists committed to oncology and cancer research by providing a programme of articles on molecularly targeted pharmacotherapy in oncology. The journal includes: Original Research Articles on all aspects of molecularly targeted agents for the treatment of cancer, including immune checkpoint inhibitors and related approaches. Comprehensive narrative Review Articles and shorter Leading Articles discussing relevant clinically established as well as emerging agents and pathways. Current Opinion articles that place interesting areas in perspective. Therapy in Practice articles that provide a guide to the optimum management of a condition and highlight practical, clinically relevant considerations and recommendations. Systematic Reviews that use explicit, systematic methods as outlined by the PRISMA statement. Adis Drug Reviews of the properties and place in therapy of both newer and established targeted drugs in oncology.
×
引用
GB/T 7714-2015
复制
MLA
复制
APA
复制
导出至
BibTeX EndNote RefMan NoteFirst NoteExpress
×
提示
您的信息不完整,为了账户安全,请先补充。
现在去补充
×
提示
您因"违规操作"
具体请查看互助需知
我知道了
×
提示
确定
请完成安全验证×
copy
已复制链接
快去分享给好友吧!
我知道了
右上角分享
点击右上角分享
0
联系我们:info@booksci.cn Book学术提供免费学术资源搜索服务,方便国内外学者检索中英文文献。致力于提供最便捷和优质的服务体验。 Copyright © 2023 布克学术 All rights reserved.
京ICP备2023020795号-1
ghs 京公网安备 11010802042870号
Book学术文献互助
Book学术文献互助群
群 号:604180095
Book学术官方微信