The utility of a new point-of-care test for synthetic cannabinoids: a mixed-methods study in people who use synthetic cannabinoids and stakeholders.

IF 4 2区 社会学 Q1 SUBSTANCE ABUSE
Martine Skumlien, Sam Craft, Luke Russell, Navyaa Toshniwal, Christopher Pudney, Tom P Freeman, Jenny Scott
{"title":"The utility of a new point-of-care test for synthetic cannabinoids: a mixed-methods study in people who use synthetic cannabinoids and stakeholders.","authors":"Martine Skumlien, Sam Craft, Luke Russell, Navyaa Toshniwal, Christopher Pudney, Tom P Freeman, Jenny Scott","doi":"10.1186/s12954-025-01227-7","DOIUrl":null,"url":null,"abstract":"<p><strong>Background: </strong>Synthetic cannabinoids (SCs) are prevalent in prisons and among people who experience homelessness in the UK and can cause serious harms to people who use them. While it is currently not possible to test for SCs at the point of care (POC), a new method for doing so using fluorescence spectral fingerprinting has recently been developed. In this study, we aimed to outline the potential utility of POC SC testing in settings where SCs and SC use occur.</p><p><strong>Methods: </strong>This is a mixed-methods study. Professional stakeholders (n = 449) working or volunteering in healthcare, homeless, police, or prison services were invited to give their views on POC SC testing in an online survey with both quantitative and qualitative (free text) questions. Follow-up interviews were conducted with 35 survey participants and additionally with 25 people who use synthetic cannabinoids (PWUSC). Quantitative survey responses on the overall view of saliva- or drug-based detection of SCs were compared between the four groups using Kruskal-Wallis tests. Qualitative survey responses were analysed using content analysis and interviews were analysed using thematic analysis.</p><p><strong>Results: </strong>SCs were perceived as prevalent in UK prisons and homeless communities, but stakeholders felt poorly equipped to tackle SC use and harms. The quantitative analyses revealed that all groups rated both saliva- and drug-based detection positively, but police and prison services were more positive towards both types of testing than healthcare and homeless services (all p's < 0.001). The thematic and content analyses outlined several potential benefits of POC SC testing across all four settings, with the strongest support for use in prisons, particularly to reduce the ingress of SCs. Both PWUSC and professional stakeholders raised concerns that testing would be used in a punitive manner and highlighted the lack of treatment options for SC dependence and overdose as a major barrier to reducing harms.</p><p><strong>Conclusions: </strong>POC SC testing has the potential to support healthcare, homeless, police, and prison services in reducing the prevalence of SCs and improving the care of PWUSC. However, ethical application of the technology must be carefully considered to avoid causing undue harm to PWUSC, such as criminalisation and stigma.</p>","PeriodicalId":12922,"journal":{"name":"Harm Reduction Journal","volume":"22 1","pages":"113"},"PeriodicalIF":4.0000,"publicationDate":"2025-06-30","publicationTypes":"Journal Article","fieldsOfStudy":null,"isOpenAccess":false,"openAccessPdf":"https://www.ncbi.nlm.nih.gov/pmc/articles/PMC12207801/pdf/","citationCount":"0","resultStr":null,"platform":"Semanticscholar","paperid":null,"PeriodicalName":"Harm Reduction Journal","FirstCategoryId":"90","ListUrlMain":"https://doi.org/10.1186/s12954-025-01227-7","RegionNum":2,"RegionCategory":"社会学","ArticlePicture":[],"TitleCN":null,"AbstractTextCN":null,"PMCID":null,"EPubDate":"","PubModel":"","JCR":"Q1","JCRName":"SUBSTANCE ABUSE","Score":null,"Total":0}
引用次数: 0

Abstract

Background: Synthetic cannabinoids (SCs) are prevalent in prisons and among people who experience homelessness in the UK and can cause serious harms to people who use them. While it is currently not possible to test for SCs at the point of care (POC), a new method for doing so using fluorescence spectral fingerprinting has recently been developed. In this study, we aimed to outline the potential utility of POC SC testing in settings where SCs and SC use occur.

Methods: This is a mixed-methods study. Professional stakeholders (n = 449) working or volunteering in healthcare, homeless, police, or prison services were invited to give their views on POC SC testing in an online survey with both quantitative and qualitative (free text) questions. Follow-up interviews were conducted with 35 survey participants and additionally with 25 people who use synthetic cannabinoids (PWUSC). Quantitative survey responses on the overall view of saliva- or drug-based detection of SCs were compared between the four groups using Kruskal-Wallis tests. Qualitative survey responses were analysed using content analysis and interviews were analysed using thematic analysis.

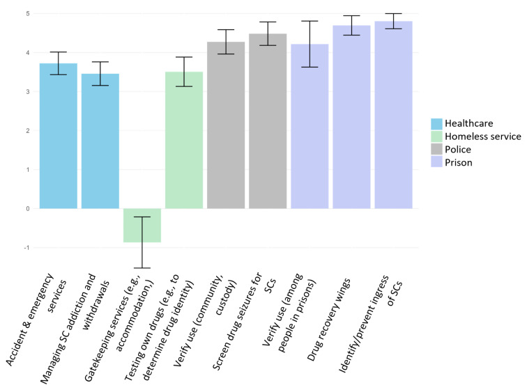
Results: SCs were perceived as prevalent in UK prisons and homeless communities, but stakeholders felt poorly equipped to tackle SC use and harms. The quantitative analyses revealed that all groups rated both saliva- and drug-based detection positively, but police and prison services were more positive towards both types of testing than healthcare and homeless services (all p's < 0.001). The thematic and content analyses outlined several potential benefits of POC SC testing across all four settings, with the strongest support for use in prisons, particularly to reduce the ingress of SCs. Both PWUSC and professional stakeholders raised concerns that testing would be used in a punitive manner and highlighted the lack of treatment options for SC dependence and overdose as a major barrier to reducing harms.

Conclusions: POC SC testing has the potential to support healthcare, homeless, police, and prison services in reducing the prevalence of SCs and improving the care of PWUSC. However, ethical application of the technology must be carefully considered to avoid causing undue harm to PWUSC, such as criminalisation and stigma.

Abstract Image

Abstract Image

合成大麻素的新护理点测试的效用:在使用合成大麻素的人和利益相关者中进行的混合方法研究。
背景:合成大麻素(SCs)在英国的监狱和无家可归者中普遍存在,并可能对使用者造成严重伤害。虽然目前不可能在护理点(POC)检测SCs,但最近开发了一种使用荧光光谱指纹识别的新方法。在本研究中,我们旨在概述POC SC测试在发生SC和SC使用的环境中的潜在效用。方法:这是一项混合方法研究。在医疗保健、无家可归者、警察或监狱服务部门工作或志愿服务的专业利益相关者(n = 449)被邀请在一项在线调查中发表他们对POC SC测试的看法,其中包括定量和定性(免费文本)问题。对35名调查参与者和25名使用合成大麻素(PWUSC)的人进行了后续访谈。采用Kruskal-Wallis试验比较四组间基于唾液或药物的SCs检测总体情况的定量调查结果。使用内容分析分析定性调查反应,使用专题分析分析访谈。结果:SCs被认为在英国监狱和无家可归者社区普遍存在,但利益相关者认为没有足够的装备来解决SC的使用和危害。定量分析显示,所有群体都对基于唾液和药物的检测持积极态度,但警察和监狱服务对这两种类型的检测比医疗保健和无家可归者服务更积极(所有p的结论:POC SC检测有可能支持医疗保健、无家可归者、警察和监狱服务,以减少SC的流行和改善对PWUSC的护理。然而,必须仔细考虑该技术的伦理应用,以避免对PWUSC造成不当伤害,例如刑事定罪和污名化。
本文章由计算机程序翻译,如有差异,请以英文原文为准。
求助全文
约1分钟内获得全文 求助全文
来源期刊
Harm Reduction Journal
Harm Reduction Journal Medicine-Public Health, Environmental and Occupational Health
CiteScore
5.90
自引率
9.10%
发文量
126
审稿时长
26 weeks
期刊介绍: Harm Reduction Journal is an Open Access, peer-reviewed, online journal whose focus is on the prevalent patterns of psychoactive drug use, the public policies meant to control them, and the search for effective methods of reducing the adverse medical, public health, and social consequences associated with both drugs and drug policies. We define "harm reduction" as "policies and programs which aim to reduce the health, social, and economic costs of legal and illegal psychoactive drug use without necessarily reducing drug consumption". We are especially interested in studies of the evolving patterns of drug use around the world, their implications for the spread of HIV/AIDS and other blood-borne pathogens.
×
引用
GB/T 7714-2015
复制
MLA
复制
APA
复制
导出至
BibTeX EndNote RefMan NoteFirst NoteExpress
×
提示
您的信息不完整,为了账户安全,请先补充。
现在去补充
×
提示
您因"违规操作"
具体请查看互助需知
我知道了
×
提示
确定
请完成安全验证×
copy
已复制链接
快去分享给好友吧!
我知道了
右上角分享
点击右上角分享
0
联系我们:info@booksci.cn Book学术提供免费学术资源搜索服务,方便国内外学者检索中英文文献。致力于提供最便捷和优质的服务体验。 Copyright © 2023 布克学术 All rights reserved.
京ICP备2023020795号-1
ghs 京公网安备 11010802042870号
Book学术文献互助
Book学术文献互助群
群 号:604180095
Book学术官方微信