Population Pharmacokinetics Model of Thioguanine in Patients with Inflammatory Bowel Disease.

IF 4 2区 医学 Q1 PHARMACOLOGY & PHARMACY
Clinical Pharmacokinetics Pub Date : 2025-08-01 Epub Date: 2025-06-28 DOI:10.1007/s40262-025-01532-1
A B Bayoumy, N K H de Boer, R J Keizer, L J J Derijks
{"title":"Population Pharmacokinetics Model of Thioguanine in Patients with Inflammatory Bowel Disease.","authors":"A B Bayoumy, N K H de Boer, R J Keizer, L J J Derijks","doi":"10.1007/s40262-025-01532-1","DOIUrl":null,"url":null,"abstract":"<p><strong>Background: </strong>Thioguanine (TG) has recently been rediscovered as an immunosuppressive agent in the treatment of inflammatory bowel disease (IBD). This prodrug is directly converted into its active metabolites, 6-thioguanine nucleotides (6-TGNs), targeting the inhibition of RAC1 GTPase in inflammatory conditions, disrupting key cellular signaling pathways necessary for T-cell activation and survival, thereby contributing to its immunosuppressive action. In IBD, TG is used fixed dose and may benefit from model-informed precision dosing (MIPD) to optimize treatment efficacy and minimize toxicity. However, a population pharmacokinetic (PopPK) model to do so is lacking.</p><p><strong>Objective: </strong>To develop a PopPK model for TG in IBD patients, enhancing the understanding of TG's pharmacokinetics and supporting the implementation of model-informed precision dosing (MIPD).</p><p><strong>Methods: </strong>We employed a dataset comprising 131 6-TGN trough concentrations from 28 IBD patients treated with TG. The data were analyzed using nonlinear mixed-effects modeling (NONMEM) to estimate pharmacokinetic parameters and explore the influence of covariates such as weight and 5-ASA use on drug disposition. Model fit-for-purpose was evaluated through computation of the model's forecasting performance.</p><p><strong>Results: </strong>The developed PopPK model was a one-compartment model with first-order absorption. A one-compartment TG model was stable, and able to estimate pharmacokinetic parameters with good precision (relative standard error [RSE] 15%) with weight and aminosalicylic acid (5-ASA) use significantly affected TG clearance. Forecasting performance was also adequate with a relative root mean squared error (rRMSE) of 24.1% and practically no systematic bias (mean percentage error [MPE] 0.2%).</p><p><strong>Conclusion: </strong>This study presents the first PopPK model of thioguanine for IBD, offering a novel tool for MIPD in clinical settings. Future studies should explore additional covariates such as TPMT genotype and drug interactions to further refine dosing recommendations for diverse patient populations.</p>","PeriodicalId":10405,"journal":{"name":"Clinical Pharmacokinetics","volume":" ","pages":"1255-1262"},"PeriodicalIF":4.0000,"publicationDate":"2025-08-01","publicationTypes":"Journal Article","fieldsOfStudy":null,"isOpenAccess":false,"openAccessPdf":"https://www.ncbi.nlm.nih.gov/pmc/articles/PMC12263763/pdf/","citationCount":"0","resultStr":null,"platform":"Semanticscholar","paperid":null,"PeriodicalName":"Clinical Pharmacokinetics","FirstCategoryId":"3","ListUrlMain":"https://doi.org/10.1007/s40262-025-01532-1","RegionNum":2,"RegionCategory":"医学","ArticlePicture":[],"TitleCN":null,"AbstractTextCN":null,"PMCID":null,"EPubDate":"2025/6/28 0:00:00","PubModel":"Epub","JCR":"Q1","JCRName":"PHARMACOLOGY & PHARMACY","Score":null,"Total":0}
引用次数: 0

Abstract

Background: Thioguanine (TG) has recently been rediscovered as an immunosuppressive agent in the treatment of inflammatory bowel disease (IBD). This prodrug is directly converted into its active metabolites, 6-thioguanine nucleotides (6-TGNs), targeting the inhibition of RAC1 GTPase in inflammatory conditions, disrupting key cellular signaling pathways necessary for T-cell activation and survival, thereby contributing to its immunosuppressive action. In IBD, TG is used fixed dose and may benefit from model-informed precision dosing (MIPD) to optimize treatment efficacy and minimize toxicity. However, a population pharmacokinetic (PopPK) model to do so is lacking.

Objective: To develop a PopPK model for TG in IBD patients, enhancing the understanding of TG's pharmacokinetics and supporting the implementation of model-informed precision dosing (MIPD).

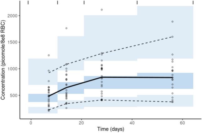
Methods: We employed a dataset comprising 131 6-TGN trough concentrations from 28 IBD patients treated with TG. The data were analyzed using nonlinear mixed-effects modeling (NONMEM) to estimate pharmacokinetic parameters and explore the influence of covariates such as weight and 5-ASA use on drug disposition. Model fit-for-purpose was evaluated through computation of the model's forecasting performance.

Results: The developed PopPK model was a one-compartment model with first-order absorption. A one-compartment TG model was stable, and able to estimate pharmacokinetic parameters with good precision (relative standard error [RSE] 15%) with weight and aminosalicylic acid (5-ASA) use significantly affected TG clearance. Forecasting performance was also adequate with a relative root mean squared error (rRMSE) of 24.1% and practically no systematic bias (mean percentage error [MPE] 0.2%).

Conclusion: This study presents the first PopPK model of thioguanine for IBD, offering a novel tool for MIPD in clinical settings. Future studies should explore additional covariates such as TPMT genotype and drug interactions to further refine dosing recommendations for diverse patient populations.

Abstract Image

Abstract Image

炎症性肠病患者中硫鸟嘌呤的人群药代动力学模型。
背景:硫鸟嘌呤(TG)最近被重新发现是一种治疗炎症性肠病(IBD)的免疫抑制剂。该前药直接转化为其活性代谢物6-硫鸟嘌呤核苷酸(6-TGNs),在炎症条件下靶向抑制RAC1 GTPase,破坏t细胞活化和存活所需的关键细胞信号通路,从而促进其免疫抑制作用。在IBD中,TG使用固定剂量,并可能受益于模型信息精确给药(MIPD),以优化治疗效果和最小化毒性。然而,群体药代动力学(PopPK)模型是缺乏的。目的:建立IBD患者TG的PopPK模型,加强对TG药代动力学的认识,支持模型知情精确给药(MIPD)的实施。方法:我们使用了一个数据集,包括28名接受TG治疗的IBD患者的131个6-TGN谷浓度。采用非线性混合效应模型(NONMEM)对数据进行分析,估计药代动力学参数,并探讨体重和5-ASA用量等协变量对药物处置的影响。通过计算模型的预测性能来评价模型的适用性。结果:建立的PopPK模型为一阶吸收的单室模型。单室TG模型稳定,能够以良好的精度(相对标准误差[RSE] 15%)估计药代动力学参数,体重和氨基水杨酸(5-ASA)的使用显著影响TG清除率。预测性能也足够,相对均方根误差(rRMSE)为24.1%,几乎没有系统偏差(平均百分比误差[MPE] 0.2%)。结论:本研究首次建立了IBD中硫鸟嘌呤的PopPK模型,为临床诊断IBD提供了一种新的工具。未来的研究应该探索更多的协变量,如TPMT基因型和药物相互作用,以进一步完善不同患者群体的剂量建议。
本文章由计算机程序翻译,如有差异,请以英文原文为准。
求助全文
约1分钟内获得全文 求助全文
来源期刊
CiteScore
8.80
自引率
4.40%
发文量
86
审稿时长
6-12 weeks
期刊介绍: Clinical Pharmacokinetics promotes the continuing development of clinical pharmacokinetics and pharmacodynamics for the improvement of drug therapy, and for furthering postgraduate education in clinical pharmacology and therapeutics. Pharmacokinetics, the study of drug disposition in the body, is an integral part of drug development and rational use. Knowledge and application of pharmacokinetic principles leads to accelerated drug development, cost effective drug use and a reduced frequency of adverse effects and drug interactions.
×
引用
GB/T 7714-2015
复制
MLA
复制
APA
复制
导出至
BibTeX EndNote RefMan NoteFirst NoteExpress
×
提示
您的信息不完整,为了账户安全,请先补充。
现在去补充
×
提示
您因"违规操作"
具体请查看互助需知
我知道了
×
提示
确定
请完成安全验证×
copy
已复制链接
快去分享给好友吧!
我知道了
右上角分享
点击右上角分享
0
联系我们:info@booksci.cn Book学术提供免费学术资源搜索服务,方便国内外学者检索中英文文献。致力于提供最便捷和优质的服务体验。 Copyright © 2023 布克学术 All rights reserved.
京ICP备2023020795号-1
ghs 京公网安备 11010802042870号
Book学术文献互助
Book学术文献互助群
群 号:604180095
Book学术官方微信