Ripping the public apart? Politicians’ dark personality and affective polarization

IF 4.2 1区 社会学 Q1 POLITICAL SCIENCE
ALESSANDRO NAI, FREDERICO FERREIRA DA SILVA, LOES AALDERING, KATJANA GATTERMANN, DIEGO GARZIA
{"title":"Ripping the public apart? Politicians’ dark personality and affective polarization","authors":"ALESSANDRO NAI,&nbsp;FREDERICO FERREIRA DA SILVA,&nbsp;LOES AALDERING,&nbsp;KATJANA GATTERMANN,&nbsp;DIEGO GARZIA","doi":"10.1111/1475-6765.70002","DOIUrl":null,"url":null,"abstract":"<p>Growing evidence exists about the importance of dark personality traits – narcissism, psychopathy and Machiavellianism – in political leaders, broadly leading to heightened political aggressiveness and partisan conflict. Building on this expanding research agenda, we study the possible association between dark personality in politicians and deepened affective polarization – that is, increased affective distance between partisan groups coupled with stronger dislike for out-parties – in the public. We do so by linking a large-scale expert survey (NEGex) and a collection of post-election surveys (CSES), including information for more than 90 leading candidates having competed in 40 elections worldwide. Our results show that the dark personality of top politicians can be associated with upticks in affective polarization in the public – but only when it comes to the personality of in-party candidates (that is, a candidate from voters' preferred party), and only for high levels of ideological proximity between the candidate and the voter.</p>","PeriodicalId":48273,"journal":{"name":"European Journal of Political Research","volume":"64 3","pages":"1575-1588"},"PeriodicalIF":4.2000,"publicationDate":"2025-02-05","publicationTypes":"Journal Article","fieldsOfStudy":null,"isOpenAccess":false,"openAccessPdf":"https://onlinelibrary.wiley.com/doi/epdf/10.1111/1475-6765.70002","citationCount":"0","resultStr":null,"platform":"Semanticscholar","paperid":null,"PeriodicalName":"European Journal of Political Research","FirstCategoryId":"90","ListUrlMain":"https://ejpr.onlinelibrary.wiley.com/doi/10.1111/1475-6765.70002","RegionNum":1,"RegionCategory":"社会学","ArticlePicture":[],"TitleCN":null,"AbstractTextCN":null,"PMCID":null,"EPubDate":"","PubModel":"","JCR":"Q1","JCRName":"POLITICAL SCIENCE","Score":null,"Total":0}
引用次数: 0

Abstract

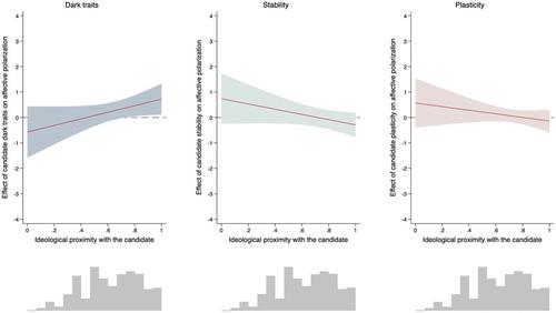
Growing evidence exists about the importance of dark personality traits – narcissism, psychopathy and Machiavellianism – in political leaders, broadly leading to heightened political aggressiveness and partisan conflict. Building on this expanding research agenda, we study the possible association between dark personality in politicians and deepened affective polarization – that is, increased affective distance between partisan groups coupled with stronger dislike for out-parties – in the public. We do so by linking a large-scale expert survey (NEGex) and a collection of post-election surveys (CSES), including information for more than 90 leading candidates having competed in 40 elections worldwide. Our results show that the dark personality of top politicians can be associated with upticks in affective polarization in the public – but only when it comes to the personality of in-party candidates (that is, a candidate from voters' preferred party), and only for high levels of ideological proximity between the candidate and the voter.

Abstract Image

Abstract Image

Abstract Image

Abstract Image

撕裂公众?政治家的黑暗人格与情感两极分化
越来越多的证据表明,黑暗人格特征——自恋、精神病和马基雅维利主义——在政治领导人中的重要性,普遍导致了政治侵略性和党派冲突的加剧。在这一不断扩大的研究议程的基础上,我们研究了政治家的黑暗人格与加深的情感两极分化之间的可能联系——即,党派之间的情感距离增加,加上公众对党外政党的强烈厌恶。为此,我们将一项大规模专家调查(NEGex)与一系列选举后调查(CSES)联系起来,其中包括在全球40个选举中竞争的90多位领先候选人的信息。我们的研究结果表明,高层政治家的黑暗性格可能与公众情感两极分化的上升有关——但这只适用于党内候选人(即选民喜欢的政党的候选人)的性格,也只适用于候选人和选民之间意识形态上的高度接近。
本文章由计算机程序翻译,如有差异,请以英文原文为准。
求助全文
约1分钟内获得全文 求助全文
来源期刊
CiteScore
10.00
自引率
5.70%
发文量
67
期刊介绍: European Journal of Political Research specialises in articles articulating theoretical and comparative perspectives in political science, and welcomes both quantitative and qualitative approaches. EJPR also publishes short research notes outlining ongoing research in more specific areas of research. The Journal includes the Political Data Yearbook, published as a double issue at the end of each volume.
×
引用
GB/T 7714-2015
复制
MLA
复制
APA
复制
导出至
BibTeX EndNote RefMan NoteFirst NoteExpress
×
提示
您的信息不完整,为了账户安全,请先补充。
现在去补充
×
提示
您因"违规操作"
具体请查看互助需知
我知道了
×
提示
确定
请完成安全验证×
copy
已复制链接
快去分享给好友吧!
我知道了
右上角分享
点击右上角分享
0
联系我们:info@booksci.cn Book学术提供免费学术资源搜索服务,方便国内外学者检索中英文文献。致力于提供最便捷和优质的服务体验。 Copyright © 2023 布克学术 All rights reserved.
京ICP备2023020795号-1
ghs 京公网安备 11010802042870号
Book学术文献互助
Book学术文献互助群
群 号:604180095
Book学术官方微信