The increased risk of exposure to fine particulate matter for depression incidence is mediated by elevated TNF-R1: the Healthy Aging Longitudinal Study.

IF 2.5 3区 医学 Q1 PUBLIC, ENVIRONMENTAL & OCCUPATIONAL HEALTH
Ta-Yuan Chang, Ting-Yu Zhuang, Yun-Chieh Yang, Chih-Cheng Hsu, Wan-Ju Cheng
{"title":"The increased risk of exposure to fine particulate matter for depression incidence is mediated by elevated TNF-R1: the Healthy Aging Longitudinal Study.","authors":"Ta-Yuan Chang, Ting-Yu Zhuang, Yun-Chieh Yang, Chih-Cheng Hsu, Wan-Ju Cheng","doi":"10.1265/ehpm.25-00106","DOIUrl":null,"url":null,"abstract":"<p><strong>Background: </strong>Depression among older adults is an important public health issue, and air and noise pollution have been found to contribute to exacerbation of depressive symptoms. This study examined the association of exposure to air and noise pollutants with clinically-newly-diagnosed depressive disorder. The mediating role of individual pro-inflammatory markers was explored.</p><p><strong>Methods: </strong>We linked National Health Insurance claim data with 2998 healthy community-dwellers aged 55 and above who participated in the Healthy Aging Longitudinal Study between 2009 and 2013. Newly diagnosed depressive disorder was identified using diagnostic codes from the medical claim data. Pollutants were estimated using nationwide land use regression, including PM<sub>2.5</sub> and PM<sub>10</sub>, carbon monoxide, ozone, nitrogen dioxide, sulfur dioxide, and road traffic noise. Cox proportional hazard models were employed to examine the association between pollutants and newly developed depressive disorders. The mediating effect of serum pro-inflammatory biomarkers on the relationship was examined.</p><p><strong>Results: </strong>Among the 2998 participants, 209 had newly diagnosed depressive disorders. In adjusted Cox proportional hazard models, one interquartile range increase in PM<sub>2.5</sub> (8.53 µg/m<sup>3</sup>) was associated with a 17.5% increased hazard of developing depressive disorders. Other air pollutants and road traffic noise were not linearly associated with depressive disorder incidence. Levels of serum tumor necrosis factor receptor 1 mediated the relationship between PM<sub>2.5</sub> and survival time to newly onset depressive disorder.</p><p><strong>Conclusion: </strong>PM<sub>2.5</sub> is related to an increased risk of newly developed depressive disorder among middle-aged and older adults, and the association is partially mediated by the pro-inflammatory marker TNF-R1.</p>","PeriodicalId":11707,"journal":{"name":"Environmental Health and Preventive Medicine","volume":"30 ","pages":"49"},"PeriodicalIF":2.5000,"publicationDate":"2025-01-01","publicationTypes":"Journal Article","fieldsOfStudy":null,"isOpenAccess":false,"openAccessPdf":"https://www.ncbi.nlm.nih.gov/pmc/articles/PMC12206667/pdf/","citationCount":"0","resultStr":null,"platform":"Semanticscholar","paperid":null,"PeriodicalName":"Environmental Health and Preventive Medicine","FirstCategoryId":"3","ListUrlMain":"https://doi.org/10.1265/ehpm.25-00106","RegionNum":3,"RegionCategory":"医学","ArticlePicture":[],"TitleCN":null,"AbstractTextCN":null,"PMCID":null,"EPubDate":"","PubModel":"","JCR":"Q1","JCRName":"PUBLIC, ENVIRONMENTAL & OCCUPATIONAL HEALTH","Score":null,"Total":0}
引用次数: 0

Abstract

Background: Depression among older adults is an important public health issue, and air and noise pollution have been found to contribute to exacerbation of depressive symptoms. This study examined the association of exposure to air and noise pollutants with clinically-newly-diagnosed depressive disorder. The mediating role of individual pro-inflammatory markers was explored.

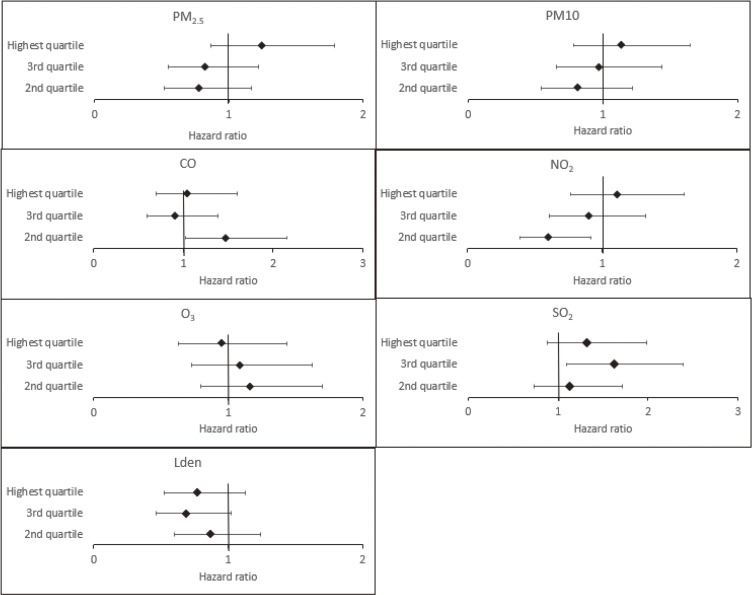
Methods: We linked National Health Insurance claim data with 2998 healthy community-dwellers aged 55 and above who participated in the Healthy Aging Longitudinal Study between 2009 and 2013. Newly diagnosed depressive disorder was identified using diagnostic codes from the medical claim data. Pollutants were estimated using nationwide land use regression, including PM2.5 and PM10, carbon monoxide, ozone, nitrogen dioxide, sulfur dioxide, and road traffic noise. Cox proportional hazard models were employed to examine the association between pollutants and newly developed depressive disorders. The mediating effect of serum pro-inflammatory biomarkers on the relationship was examined.

Results: Among the 2998 participants, 209 had newly diagnosed depressive disorders. In adjusted Cox proportional hazard models, one interquartile range increase in PM2.5 (8.53 µg/m3) was associated with a 17.5% increased hazard of developing depressive disorders. Other air pollutants and road traffic noise were not linearly associated with depressive disorder incidence. Levels of serum tumor necrosis factor receptor 1 mediated the relationship between PM2.5 and survival time to newly onset depressive disorder.

Conclusion: PM2.5 is related to an increased risk of newly developed depressive disorder among middle-aged and older adults, and the association is partially mediated by the pro-inflammatory marker TNF-R1.

Abstract Image

Abstract Image

暴露于细颗粒物中增加抑郁症发病率的风险是由升高的TNF-R1介导的:健康老龄化纵向研究
背景:老年人抑郁症是一个重要的公共卫生问题,空气和噪音污染已被发现有助于加剧抑郁症状。本研究调查了暴露于空气和噪音污染物与临床新诊断的抑郁症之间的关系。探讨了个体促炎标志物的介导作用。方法:我们将2009年至2013年期间参加健康老龄化纵向研究的2998名55岁及以上的健康社区居民的国民健康保险索赔数据联系起来。使用医疗索赔数据中的诊断代码确定新诊断的抑郁症。利用全国土地利用回归估算污染物,包括PM2.5和PM10、一氧化碳、臭氧、二氧化氮、二氧化硫和道路交通噪音。采用Cox比例风险模型来检验污染物与新发抑郁症之间的关系。研究了血清促炎生物标志物在这一关系中的中介作用。结果:在2998名参与者中,209名新诊断为抑郁症。在调整后的Cox比例风险模型中,PM2.5浓度每增加一个四分位数范围(8.53µg/m3),患抑郁症的风险就会增加17.5%。其他空气污染物和道路交通噪音与抑郁症发病率没有线性关系。血清肿瘤坏死因子受体1水平介导PM2.5与新发抑郁症患者生存时间的关系结论:PM2.5与中老年人群新发抑郁症风险增加有关,且该关联部分由促炎标志物TNF-R1介导。
本文章由计算机程序翻译,如有差异,请以英文原文为准。
求助全文
约1分钟内获得全文 求助全文
来源期刊
Environmental Health and Preventive Medicine
Environmental Health and Preventive Medicine PUBLIC, ENVIRONMENTAL & OCCUPATIONAL HEALTH -
CiteScore
7.90
自引率
2.10%
发文量
44
审稿时长
10 weeks
期刊介绍: The official journal of the Japanese Society for Hygiene, Environmental Health and Preventive Medicine (EHPM) brings a comprehensive approach to prevention and environmental health related to medical, biological, molecular biological, genetic, physical, psychosocial, chemical, and other environmental factors. Environmental Health and Preventive Medicine features definitive studies on human health sciences and provides comprehensive and unique information to a worldwide readership.
×
引用
GB/T 7714-2015
复制
MLA
复制
APA
复制
导出至
BibTeX EndNote RefMan NoteFirst NoteExpress
×
提示
您的信息不完整,为了账户安全,请先补充。
现在去补充
×
提示
您因"违规操作"
具体请查看互助需知
我知道了
×
提示
确定
请完成安全验证×
copy
已复制链接
快去分享给好友吧!
我知道了
右上角分享
点击右上角分享
0
联系我们:info@booksci.cn Book学术提供免费学术资源搜索服务,方便国内外学者检索中英文文献。致力于提供最便捷和优质的服务体验。 Copyright © 2023 布克学术 All rights reserved.
京ICP备2023020795号-1
ghs 京公网安备 11010802042870号
Book学术文献互助
Book学术文献互助群
群 号:604180095
Book学术官方微信