The effects of Non3 mutations on chromatin organization in Drosophila melanogaster.

IF 1 Q3 AGRICULTURE, MULTIDISCIPLINARY
A A Yushkova, A A Ogienko, E N Andreyeva, A V Pindyurin, A E Letiagina, E S Omelina
{"title":"The effects of Non3 mutations on chromatin organization in Drosophila melanogaster.","authors":"A A Yushkova, A A Ogienko, E N Andreyeva, A V Pindyurin, A E Letiagina, E S Omelina","doi":"10.18699/vjgb-25-43","DOIUrl":null,"url":null,"abstract":"<p><p>The nucleolus is a large membraneless subnuclear structure, the main function of which is ribosome biogenesis. However, there is growing evidence that the function of the nucleolus extends beyond this process. While the nucleolus is the most transcriptionally active site in the nucleus, it is also the compartment for the location and regulation of repressive genomic domains and, like the nuclear lamina, is the hub for the organization of inactive heterochromatin. Studies in human and Drosophila cells have shown that a decrease in some nucleolar proteins leads to changes in nucleolar morphology, heterochromatin organization and declustering of centromeres. This work is devoted to the study of the effects of Novel nucleolar protein 3 (Non3) gene mutations in D. melanogaster on the organization of chromatin in the nucleus. Previously, it was shown that partial deletion of the Non3 gene leads to embryonic lethality, and a decrease in NON3 causes an extension of ontogenesis and formation of a Minute-like phenotype in adult flies. In the present work, we have shown that mutations in the Non3 gene suppress the position effect variegation (PEV) and increase the frequency of meiotic recombination. We have analyzed the classical heterochromatin markers in Non3 mutants and shown that the amount of the HP1 protein as well as the modification of the histone H3K9me2 do not change significantly in larval brains and salivary glands compared to the control in Western blot analysis. Immunostaining with antibodies to HP1 and H3K9me2 did not reveal a significant reduction or change in the localization patterns of these proteins in the pericentromeric regions of salivary gland polytene chromosomes either. We analyzed the localization of the HP1 protein in Non3 mutants using DNA adenine methyltransferase identification (DamID) analysis and did not find substantial differences in protein distribution compared to the control. In hemocytes of Non3 mutants, we observed changes in the morphology of the nucleolus and in the size of the region detected by anti-centromere antibodies, but this was not accompanied by declustering of centromeres and their untethering from the nucleolar periphery. Thus, the NON3 protein is important for the formation/function of the nucleolus and is required for the correct chromatin packaging, but the exact mechanism of NON3 involvement in these processes requires further investigations.</p>","PeriodicalId":44339,"journal":{"name":"Vavilovskii Zhurnal Genetiki i Selektsii","volume":"29 3","pages":"401-413"},"PeriodicalIF":1.0000,"publicationDate":"2025-06-01","publicationTypes":"Journal Article","fieldsOfStudy":null,"isOpenAccess":false,"openAccessPdf":"https://www.ncbi.nlm.nih.gov/pmc/articles/PMC12187998/pdf/","citationCount":"0","resultStr":null,"platform":"Semanticscholar","paperid":null,"PeriodicalName":"Vavilovskii Zhurnal Genetiki i Selektsii","FirstCategoryId":"1085","ListUrlMain":"https://doi.org/10.18699/vjgb-25-43","RegionNum":0,"RegionCategory":null,"ArticlePicture":[],"TitleCN":null,"AbstractTextCN":null,"PMCID":null,"EPubDate":"","PubModel":"","JCR":"Q3","JCRName":"AGRICULTURE, MULTIDISCIPLINARY","Score":null,"Total":0}
引用次数: 0

Abstract

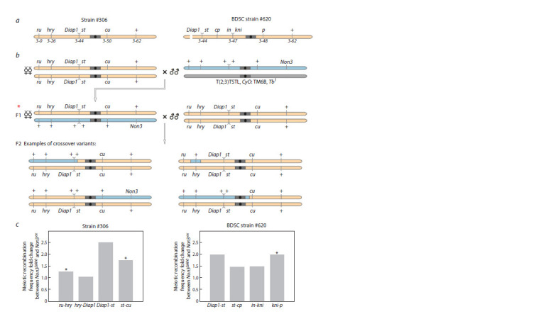
The nucleolus is a large membraneless subnuclear structure, the main function of which is ribosome biogenesis. However, there is growing evidence that the function of the nucleolus extends beyond this process. While the nucleolus is the most transcriptionally active site in the nucleus, it is also the compartment for the location and regulation of repressive genomic domains and, like the nuclear lamina, is the hub for the organization of inactive heterochromatin. Studies in human and Drosophila cells have shown that a decrease in some nucleolar proteins leads to changes in nucleolar morphology, heterochromatin organization and declustering of centromeres. This work is devoted to the study of the effects of Novel nucleolar protein 3 (Non3) gene mutations in D. melanogaster on the organization of chromatin in the nucleus. Previously, it was shown that partial deletion of the Non3 gene leads to embryonic lethality, and a decrease in NON3 causes an extension of ontogenesis and formation of a Minute-like phenotype in adult flies. In the present work, we have shown that mutations in the Non3 gene suppress the position effect variegation (PEV) and increase the frequency of meiotic recombination. We have analyzed the classical heterochromatin markers in Non3 mutants and shown that the amount of the HP1 protein as well as the modification of the histone H3K9me2 do not change significantly in larval brains and salivary glands compared to the control in Western blot analysis. Immunostaining with antibodies to HP1 and H3K9me2 did not reveal a significant reduction or change in the localization patterns of these proteins in the pericentromeric regions of salivary gland polytene chromosomes either. We analyzed the localization of the HP1 protein in Non3 mutants using DNA adenine methyltransferase identification (DamID) analysis and did not find substantial differences in protein distribution compared to the control. In hemocytes of Non3 mutants, we observed changes in the morphology of the nucleolus and in the size of the region detected by anti-centromere antibodies, but this was not accompanied by declustering of centromeres and their untethering from the nucleolar periphery. Thus, the NON3 protein is important for the formation/function of the nucleolus and is required for the correct chromatin packaging, but the exact mechanism of NON3 involvement in these processes requires further investigations.

Abstract Image

Abstract Image

Abstract Image

非3突变对黑腹果蝇染色质组织的影响。
核仁是一个大的无膜亚核结构,其主要功能是核糖体的生物发生。然而,越来越多的证据表明,核仁的功能超出了这一过程。虽然核仁是细胞核中转录最活跃的部位,但它也是抑制基因组结构域定位和调控的隔室,并且与核层一样,是组织非活性异染色质的枢纽。对人类和果蝇细胞的研究表明,一些核仁蛋白的减少会导致核仁形态、异染色质组织和着丝粒散簇的改变。本研究旨在研究黑腹龙(D. melanogaster)新核仁蛋白3 (Non3)基因突变对细胞核染色质组织的影响。先前的研究表明,Non3基因的部分缺失会导致胚胎死亡,而Non3基因的减少会导致成年果蝇个体发生的延长和Minute-like表型的形成。在本研究中,我们发现Non3基因的突变抑制了位置效应变异(PEV),增加了减数分裂重组的频率。我们分析了Non3突变体的经典异染色质标记,并在Western blot分析中发现,与对照组相比,HP1蛋白的数量以及组蛋白H3K9me2的修饰在幼虫的大脑和唾液腺中没有显著变化。HP1和H3K9me2抗体的免疫染色也没有显示这些蛋白在唾液腺多粒染色体中心点周围区域的定位模式显著减少或改变。我们使用DNA腺嘌呤甲基转移酶鉴定(DamID)分析了Non3突变体中HP1蛋白的定位,并没有发现蛋白质分布与对照组有实质性差异。在非3突变体的血细胞中,我们观察到核仁形态和抗着丝粒抗体检测到的区域大小的变化,但这并不伴随着着丝粒的散簇和它们与核仁周围的分离。因此,NON3蛋白对核仁的形成/功能很重要,并且是正确的染色质包装所必需的,但NON3参与这些过程的确切机制需要进一步研究。
本文章由计算机程序翻译,如有差异,请以英文原文为准。
求助全文
约1分钟内获得全文 求助全文
来源期刊
Vavilovskii Zhurnal Genetiki i Selektsii
Vavilovskii Zhurnal Genetiki i Selektsii AGRICULTURE, MULTIDISCIPLINARY-
CiteScore
1.90
自引率
0.00%
发文量
119
审稿时长
8 weeks
期刊介绍: The "Vavilov Journal of genetics and breeding" publishes original research and review articles in all key areas of modern plant, animal and human genetics, genomics, bioinformatics and biotechnology. One of the main objectives of the journal is integration of theoretical and applied research in the field of genetics. Special attention is paid to the most topical areas in modern genetics dealing with global concerns such as food security and human health.
×
引用
GB/T 7714-2015
复制
MLA
复制
APA
复制
导出至
BibTeX EndNote RefMan NoteFirst NoteExpress
×
提示
您的信息不完整,为了账户安全,请先补充。
现在去补充
×
提示
您因"违规操作"
具体请查看互助需知
我知道了
×
提示
确定
请完成安全验证×
copy
已复制链接
快去分享给好友吧!
我知道了
右上角分享
点击右上角分享
0
联系我们:info@booksci.cn Book学术提供免费学术资源搜索服务,方便国内外学者检索中英文文献。致力于提供最便捷和优质的服务体验。 Copyright © 2023 布克学术 All rights reserved.
京ICP备2023020795号-1
ghs 京公网安备 11010802042870号
Book学术文献互助
Book学术文献互助群
群 号:604180095
Book学术官方微信