Randomized Controlled Trial of Atorvastatin in Acute Influenza in the Emergency Department.

IF 2 3区 医学 Q2 EMERGENCY MEDICINE
Maureen Chase, Michael N Cocchi, Anne V Grossestreuer, Xiaowen Liu, Jacob Vine, Ari L Moskowitz, Michael W Donnino
{"title":"Randomized Controlled Trial of Atorvastatin in Acute Influenza in the Emergency Department.","authors":"Maureen Chase, Michael N Cocchi, Anne V Grossestreuer, Xiaowen Liu, Jacob Vine, Ari L Moskowitz, Michael W Donnino","doi":"10.5811/westjem.33580","DOIUrl":null,"url":null,"abstract":"<p><strong>Objectives: </strong>We sought to determine whether atorvastatin administration attenuates the inflammatory response and improves clinical outcomes in acute influenza.</p><p><strong>Methods: </strong>We conducted a randomized double-blind trial administering atorvastatin 40 milligrams or placebo to adults with confirmed influenza for five days between December 2013-May 2018. Patients were primarily enrolled in the emergency department (ED) at an urban, tertiary-care center. Serum was obtained at enrollment and 72 hours for the primary outcome, change in interleukin (IL-6). Patients reported severity of influenza symptoms over 10 days. We used linear mixed-effects models for the primary comparisons.</p><p><strong>Results: </strong>Of the 116 enrolled patients, 59 received atorvastatin and 57 received placebo. Groups were well-matched including baseline influenza symptom scores and receipt of an antiviral medication. There was no difference between groups in the change in interleukin-6 (IL-6) levels (P=0.468). However, there were significant differences in the overall influenza symptom scores, favoring faster resolution in the atorvastatin group (P=0.05). For patients presenting within 48 hours of symptom onset, resolution was faster for the overall score (P <0.001) and for the fever (P=0.001), sore throat (P=0.005) and headache (P=0.006) components. No safety concerns were identified.</p><p><strong>Conclusion: </strong>Atorvastatin administration in acute influenza appears safe. We did not find attenuation of IL-6 with atorvastatin. Patients receiving atorvastatin reported improvement in their clinical symptoms at a faster rate than those in the placebo group, particularly in patients presenting within 48 hours of symptom onset. This trial is registered at ClinicalTrials.gov, Identifier: NCT02056340.</p>","PeriodicalId":23682,"journal":{"name":"Western Journal of Emergency Medicine","volume":"26 3","pages":"600-608"},"PeriodicalIF":2.0000,"publicationDate":"2025-04-29","publicationTypes":"Journal Article","fieldsOfStudy":null,"isOpenAccess":false,"openAccessPdf":"https://www.ncbi.nlm.nih.gov/pmc/articles/PMC12208048/pdf/","citationCount":"0","resultStr":null,"platform":"Semanticscholar","paperid":null,"PeriodicalName":"Western Journal of Emergency Medicine","FirstCategoryId":"3","ListUrlMain":"https://doi.org/10.5811/westjem.33580","RegionNum":3,"RegionCategory":"医学","ArticlePicture":[],"TitleCN":null,"AbstractTextCN":null,"PMCID":null,"EPubDate":"","PubModel":"","JCR":"Q2","JCRName":"EMERGENCY MEDICINE","Score":null,"Total":0}
引用次数: 0

Abstract

Objectives: We sought to determine whether atorvastatin administration attenuates the inflammatory response and improves clinical outcomes in acute influenza.

Methods: We conducted a randomized double-blind trial administering atorvastatin 40 milligrams or placebo to adults with confirmed influenza for five days between December 2013-May 2018. Patients were primarily enrolled in the emergency department (ED) at an urban, tertiary-care center. Serum was obtained at enrollment and 72 hours for the primary outcome, change in interleukin (IL-6). Patients reported severity of influenza symptoms over 10 days. We used linear mixed-effects models for the primary comparisons.

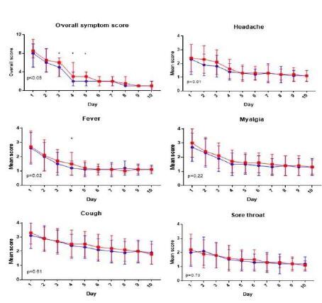
Results: Of the 116 enrolled patients, 59 received atorvastatin and 57 received placebo. Groups were well-matched including baseline influenza symptom scores and receipt of an antiviral medication. There was no difference between groups in the change in interleukin-6 (IL-6) levels (P=0.468). However, there were significant differences in the overall influenza symptom scores, favoring faster resolution in the atorvastatin group (P=0.05). For patients presenting within 48 hours of symptom onset, resolution was faster for the overall score (P <0.001) and for the fever (P=0.001), sore throat (P=0.005) and headache (P=0.006) components. No safety concerns were identified.

Conclusion: Atorvastatin administration in acute influenza appears safe. We did not find attenuation of IL-6 with atorvastatin. Patients receiving atorvastatin reported improvement in their clinical symptoms at a faster rate than those in the placebo group, particularly in patients presenting within 48 hours of symptom onset. This trial is registered at ClinicalTrials.gov, Identifier: NCT02056340.

Abstract Image

Abstract Image

Abstract Image

阿托伐他汀治疗急诊科急性流感的随机对照试验
目的:我们试图确定阿托伐他汀是否能减轻急性流感患者的炎症反应并改善临床结果。方法:我们进行了一项随机双盲试验,在2013年12月至2018年5月期间,对确诊流感的成年人给予阿托伐他汀40毫克或安慰剂5天。患者主要在城市三级保健中心的急诊科(ED)登记。在入组时和72小时获得血清作为主要结局,白细胞介素(IL-6)的变化。患者报告在10天内出现严重的流感症状。我们使用线性混合效应模型进行初步比较。结果:116例入组患者中,59例接受阿托伐他汀治疗,57例接受安慰剂治疗。各组在基线流感症状评分和接受抗病毒药物方面匹配良好。各组间白细胞介素-6 (IL-6)水平变化差异无统计学意义(P=0.468)。然而,总体流感症状评分存在显著差异,阿托伐他汀组缓解更快(P=0.05)。对于在症状出现48小时内出现的患者,总体评分的缓解速度更快(P)。结论:阿托伐他汀治疗急性流感是安全的。我们没有发现阿托伐他汀降低IL-6。接受阿托伐他汀治疗的患者报告其临床症状改善的速度比安慰剂组更快,特别是在症状出现48小时内出现的患者。该试验已在ClinicalTrials.gov注册,标识符:NCT02056340。
本文章由计算机程序翻译,如有差异,请以英文原文为准。
求助全文
约1分钟内获得全文 求助全文
来源期刊
Western Journal of Emergency Medicine
Western Journal of Emergency Medicine Medicine-Emergency Medicine
CiteScore
5.30
自引率
3.20%
发文量
125
审稿时长
16 weeks
期刊介绍: WestJEM focuses on how the systems and delivery of emergency care affects health, health disparities, and health outcomes in communities and populations worldwide, including the impact of social conditions on the composition of patients seeking care in emergency departments.
×
引用
GB/T 7714-2015
复制
MLA
复制
APA
复制
导出至
BibTeX EndNote RefMan NoteFirst NoteExpress
×
提示
您的信息不完整,为了账户安全,请先补充。
现在去补充
×
提示
您因"违规操作"
具体请查看互助需知
我知道了
×
提示
确定
请完成安全验证×
copy
已复制链接
快去分享给好友吧!
我知道了
右上角分享
点击右上角分享
0
联系我们:info@booksci.cn Book学术提供免费学术资源搜索服务,方便国内外学者检索中英文文献。致力于提供最便捷和优质的服务体验。 Copyright © 2023 布克学术 All rights reserved.
京ICP备2023020795号-1
ghs 京公网安备 11010802042870号
Book学术文献互助
Book学术文献互助群
群 号:604180095
Book学术官方微信