Nomograms for Predicting Overall Survival and Cancer-Specific Survival of Small Cell Carcinoma of Ovary Patients: A Retrospective Cohort Study.

IF 2.2 Q3 ONCOLOGY
World Journal of Oncology Pub Date : 2025-06-01 Epub Date: 2025-04-22 DOI:10.14740/wjon2543
Chun Mei Yan, Ya Rong Chen, Hong Fang Li, Ri Cheng Li
{"title":"Nomograms for Predicting Overall Survival and Cancer-Specific Survival of Small Cell Carcinoma of Ovary Patients: A Retrospective Cohort Study.","authors":"Chun Mei Yan, Ya Rong Chen, Hong Fang Li, Ri Cheng Li","doi":"10.14740/wjon2543","DOIUrl":null,"url":null,"abstract":"<p><strong>Background: </strong>This study aimed to develop functional nomograms to predict overall survival (OS) and cancer-specific survival (CSS) of small cell carcinoma of ovary (SCCO).</p><p><strong>Methods: </strong>SSCO case data were recruited retrospectively from the Surveillance, Epidemiology, and End Results (SEER) database. Nomograms were constructed to predict the probabilities of OS and CSS in SCCO patients based on independent predictors. The predictive performance of nomogram was evaluated with the concordance index (C-index), area under the curve (AUC), calibration curves, and decision curve analysis (DCA).</p><p><strong>Results: </strong>The independent risk factors affecting the prognosis of SCCO patients were older age, lower income, surgery, chemotherapy, radiation, advanced International Federation of Gynecology and Obstetrics (FIGO) stage, and number of primary tumors. The C-index for the OS nomogram was 0.78 (95% confidence interval (CI): 0.75 - 0.82), and AUCs for 1-, 3-, and 5-year OS were 0.861, 0.807, and 0.821, respectively. The C-index for the CSS nomogram was 0.79 (95% CI: 0.76 - 0.83), and AUCs for 1-, 3-, and 5-year OS were 0.873, 0.841, and 0.864, respectively. The calibration curves indicated reasonable agreement between the observed and predicted probabilities of the OS and CSS nomograms, which indicated a good degree of confidence. According to the C-index, ROC, and DCA, the prognostic nomograms of OS and CSS showed better prediction accuracy and clinical application value for SCCO than the FIGO staging system.</p><p><strong>Conclusions: </strong>We constructed original nomograms that provided useful prediction of OS and CSS for patients with SCCO. These models could facilitate the postoperative personalized assessment and the identification of treatment strategy.</p>","PeriodicalId":46797,"journal":{"name":"World Journal of Oncology","volume":"16 3","pages":"317-330"},"PeriodicalIF":2.2000,"publicationDate":"2025-06-01","publicationTypes":"Journal Article","fieldsOfStudy":null,"isOpenAccess":false,"openAccessPdf":"https://www.ncbi.nlm.nih.gov/pmc/articles/PMC12185125/pdf/","citationCount":"0","resultStr":null,"platform":"Semanticscholar","paperid":null,"PeriodicalName":"World Journal of Oncology","FirstCategoryId":"1085","ListUrlMain":"https://doi.org/10.14740/wjon2543","RegionNum":0,"RegionCategory":null,"ArticlePicture":[],"TitleCN":null,"AbstractTextCN":null,"PMCID":null,"EPubDate":"2025/4/22 0:00:00","PubModel":"Epub","JCR":"Q3","JCRName":"ONCOLOGY","Score":null,"Total":0}
引用次数: 0

Abstract

Background: This study aimed to develop functional nomograms to predict overall survival (OS) and cancer-specific survival (CSS) of small cell carcinoma of ovary (SCCO).

Methods: SSCO case data were recruited retrospectively from the Surveillance, Epidemiology, and End Results (SEER) database. Nomograms were constructed to predict the probabilities of OS and CSS in SCCO patients based on independent predictors. The predictive performance of nomogram was evaluated with the concordance index (C-index), area under the curve (AUC), calibration curves, and decision curve analysis (DCA).

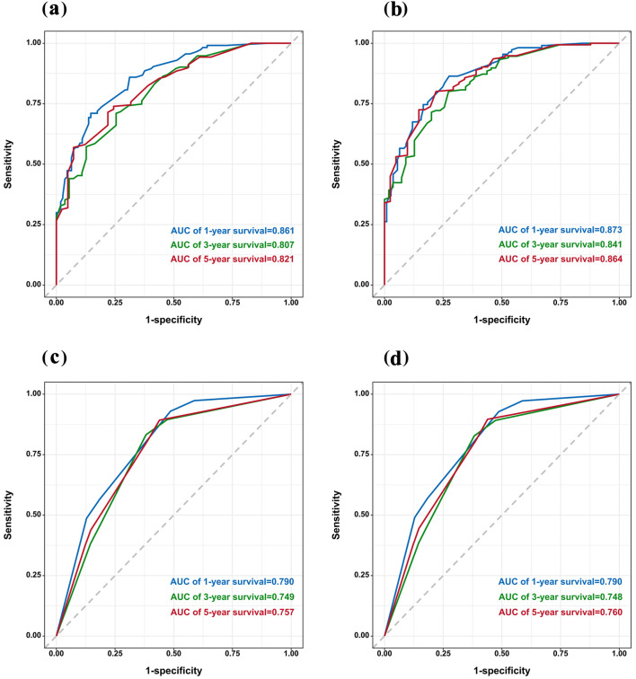
Results: The independent risk factors affecting the prognosis of SCCO patients were older age, lower income, surgery, chemotherapy, radiation, advanced International Federation of Gynecology and Obstetrics (FIGO) stage, and number of primary tumors. The C-index for the OS nomogram was 0.78 (95% confidence interval (CI): 0.75 - 0.82), and AUCs for 1-, 3-, and 5-year OS were 0.861, 0.807, and 0.821, respectively. The C-index for the CSS nomogram was 0.79 (95% CI: 0.76 - 0.83), and AUCs for 1-, 3-, and 5-year OS were 0.873, 0.841, and 0.864, respectively. The calibration curves indicated reasonable agreement between the observed and predicted probabilities of the OS and CSS nomograms, which indicated a good degree of confidence. According to the C-index, ROC, and DCA, the prognostic nomograms of OS and CSS showed better prediction accuracy and clinical application value for SCCO than the FIGO staging system.

Conclusions: We constructed original nomograms that provided useful prediction of OS and CSS for patients with SCCO. These models could facilitate the postoperative personalized assessment and the identification of treatment strategy.

Abstract Image

Abstract Image

Abstract Image

预测卵巢小细胞癌患者总生存率和癌症特异性生存率的nomogram:一项回顾性队列研究。
背景:本研究旨在建立预测卵巢小细胞癌(SCCO)总生存期(OS)和肿瘤特异性生存期(CSS)的功能形态图。方法:从监测、流行病学和最终结果(SEER)数据库中回顾性收集SSCO病例资料。基于独立预测因子构建nomogram来预测SCCO患者OS和CSS的概率。用一致性指数(C-index)、曲线下面积(AUC)、校正曲线和决策曲线分析(DCA)评价nomogram预测效果。结果:影响SCCO患者预后的独立危险因素为年龄较大、收入较低、手术、化疗、放疗、FIGO (International Federation of Gynecology and Obstetrics)分期及原发肿瘤数量。OS nomogram C-index为0.78(95%可信区间(CI): 0.75 ~ 0.82), 1年、3年和5年OS的auc分别为0.861、0.807和0.821。CSS nomogram C-index为0.79 (95% CI: 0.76 ~ 0.83), 1年、3年和5年OS的auc分别为0.873、0.841和0.864。校正曲线表明,OS和CSS图的观测概率与预测概率基本一致,具有良好的置信度。从c指数、ROC和DCA的预后图来看,OS和CSS对SCCO的预测准确度和临床应用价值优于FIGO分期系统。结论:我们构建了原始的nomograph,为SCCO患者的OS和CSS提供了有用的预测。这些模型有助于术后的个性化评估和治疗策略的确定。
本文章由计算机程序翻译,如有差异,请以英文原文为准。
求助全文
约1分钟内获得全文 求助全文
来源期刊
CiteScore
6.10
自引率
15.40%
发文量
37
期刊介绍: World Journal of Oncology, bimonthly, publishes original contributions describing basic research and clinical investigation of cancer, on the cellular, molecular, prevention, diagnosis, therapy and prognosis aspects. The submissions can be basic research or clinical investigation oriented. This journal welcomes those submissions focused on the clinical trials of new treatment modalities for cancer, and those submissions focused on molecular or cellular research of the oncology pathogenesis. Case reports submitted for consideration of publication should explore either a novel genomic event/description or a new safety signal from an oncolytic agent. The areas of interested manuscripts are these disciplines: tumor immunology and immunotherapy; cancer molecular pharmacology and chemotherapy; drug sensitivity and resistance; cancer epidemiology; clinical trials; cancer pathology; radiobiology and radiation oncology; solid tumor oncology; hematological malignancies; surgical oncology; pediatric oncology; molecular oncology and cancer genes; gene therapy; cancer endocrinology; cancer metastasis; prevention and diagnosis of cancer; other cancer related subjects. The types of manuscripts accepted are original article, review, editorial, short communication, case report, letter to the editor, book review.
×
引用
GB/T 7714-2015
复制
MLA
复制
APA
复制
导出至
BibTeX EndNote RefMan NoteFirst NoteExpress
×
提示
您的信息不完整,为了账户安全,请先补充。
现在去补充
×
提示
您因"违规操作"
具体请查看互助需知
我知道了
×
提示
确定
请完成安全验证×
copy
已复制链接
快去分享给好友吧!
我知道了
右上角分享
点击右上角分享
0
联系我们:info@booksci.cn Book学术提供免费学术资源搜索服务,方便国内外学者检索中英文文献。致力于提供最便捷和优质的服务体验。 Copyright © 2023 布克学术 All rights reserved.
京ICP备2023020795号-1
ghs 京公网安备 11010802042870号
Book学术文献互助
Book学术文献互助群
群 号:604180095
Book学术官方微信