Efficacy and Safety of Olezarsen in Dyslipidemia: A Systematic Review and Dose-response Meta-analysis of Randomized Controlled Trials.

IF 1.3 Q4 CARDIAC & CARDIOVASCULAR SYSTEMS
Journal of the Saudi Heart Association Pub Date : 2025-06-12 eCollection Date: 2025-01-01 DOI:10.37616/2212-5043.1439
Christopher D Tristan, Risalina Myrtha, Matthew A Wijayanto, Erlangga M Kynaya, Muhammad F Hamka, Nathania E Sudiono, Muhammad A Rusyidi, Muhana F Ilyas
{"title":"Efficacy and Safety of Olezarsen in Dyslipidemia: A Systematic Review and Dose-response Meta-analysis of Randomized Controlled Trials.","authors":"Christopher D Tristan, Risalina Myrtha, Matthew A Wijayanto, Erlangga M Kynaya, Muhammad F Hamka, Nathania E Sudiono, Muhammad A Rusyidi, Muhana F Ilyas","doi":"10.37616/2212-5043.1439","DOIUrl":null,"url":null,"abstract":"<p><p>Olezarsen emerged as a novel promising Apo-C3 inhibitor for dyslipidemia. However, its dose-response relationship remains uncertain. This review aims to evaluate the lipid-lowering effect of olezarsen, safety measures, and dose-response effects to determine the optimal dose. A systematic search was conducted across Scopus, PubMed, Science-Direct, and CENTRAL on January 2, 2025. Randomized controlled trial (RCT) comparing olezarsen with placebo in dyslipidemia was included. The Rob 2.0 tool was implemented to assess quality. R-studio and STATA were used to conduct statistical analysis. From a total of 194 documents at initial search, four RCTs involving 361 patients were included in the present analysis. Olezarsen significantly reduces plasma Apo-C3 across all dosage cohorts, including a 50 mg dose (MD: -70.31 %; 95 % CI: -83.89 to -56.74; p < 0.01) and an 80 mg dose administered every four weeks. It also significantly lowered triglycerides at any dose level, with reductions observed at 50 mg (MD: -49.84 %; 95 % CI = -70.42 to -22.37; p = 0) and 80 mg (MD: -52.32 %; 95 % CI: -58.25 to -46.40; p < 0.01). Olezarsen has minimal effect on low-density lipoprotein (LDL) but significantly increases high-density lipoprotein (HDL). Dose-response meta-analysis modeling suggests that 50 mg administered every four weeks may represent the optimal dose, beyond which added benefits diminish. Safety analysis revealed tolerability in liver, renal, and hematological parameters. In conclusion, olezarsen is an effective Apo-C3 inhibitor that improves lipid profiles with a favorable safety profile. This modeling-based insight refines previous findings by delineating a clearer therapeutic window.</p>","PeriodicalId":17319,"journal":{"name":"Journal of the Saudi Heart Association","volume":"37 3","pages":"3"},"PeriodicalIF":1.3000,"publicationDate":"2025-06-12","publicationTypes":"Journal Article","fieldsOfStudy":null,"isOpenAccess":false,"openAccessPdf":"https://www.ncbi.nlm.nih.gov/pmc/articles/PMC12186734/pdf/","citationCount":"0","resultStr":null,"platform":"Semanticscholar","paperid":null,"PeriodicalName":"Journal of the Saudi Heart Association","FirstCategoryId":"1085","ListUrlMain":"https://doi.org/10.37616/2212-5043.1439","RegionNum":0,"RegionCategory":null,"ArticlePicture":[],"TitleCN":null,"AbstractTextCN":null,"PMCID":null,"EPubDate":"2025/1/1 0:00:00","PubModel":"eCollection","JCR":"Q4","JCRName":"CARDIAC & CARDIOVASCULAR SYSTEMS","Score":null,"Total":0}
引用次数: 0

Abstract

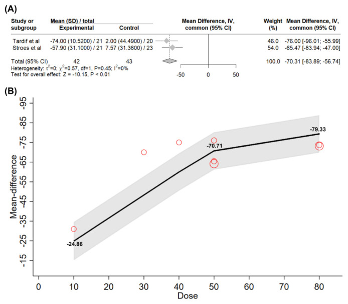
Olezarsen emerged as a novel promising Apo-C3 inhibitor for dyslipidemia. However, its dose-response relationship remains uncertain. This review aims to evaluate the lipid-lowering effect of olezarsen, safety measures, and dose-response effects to determine the optimal dose. A systematic search was conducted across Scopus, PubMed, Science-Direct, and CENTRAL on January 2, 2025. Randomized controlled trial (RCT) comparing olezarsen with placebo in dyslipidemia was included. The Rob 2.0 tool was implemented to assess quality. R-studio and STATA were used to conduct statistical analysis. From a total of 194 documents at initial search, four RCTs involving 361 patients were included in the present analysis. Olezarsen significantly reduces plasma Apo-C3 across all dosage cohorts, including a 50 mg dose (MD: -70.31 %; 95 % CI: -83.89 to -56.74; p < 0.01) and an 80 mg dose administered every four weeks. It also significantly lowered triglycerides at any dose level, with reductions observed at 50 mg (MD: -49.84 %; 95 % CI = -70.42 to -22.37; p = 0) and 80 mg (MD: -52.32 %; 95 % CI: -58.25 to -46.40; p < 0.01). Olezarsen has minimal effect on low-density lipoprotein (LDL) but significantly increases high-density lipoprotein (HDL). Dose-response meta-analysis modeling suggests that 50 mg administered every four weeks may represent the optimal dose, beyond which added benefits diminish. Safety analysis revealed tolerability in liver, renal, and hematological parameters. In conclusion, olezarsen is an effective Apo-C3 inhibitor that improves lipid profiles with a favorable safety profile. This modeling-based insight refines previous findings by delineating a clearer therapeutic window.

Abstract Image

Abstract Image

Abstract Image

Olezarsen治疗血脂异常的疗效和安全性:随机对照试验的系统评价和剂量反应荟萃分析。
Olezarsen是一种新型的有前途的脂蛋白c3抑制剂。然而,其剂量-反应关系仍不确定。本综述旨在评价奥列扎森的降脂作用、安全性措施和剂量反应效应,以确定最佳剂量。系统检索于2025年1月2日在Scopus、PubMed、Science-Direct和CENTRAL进行。随机对照试验(RCT)比较奥列扎森和安慰剂治疗血脂异常。实现了Rob 2.0工具来评估质量。采用R-studio和STATA进行统计分析。从最初检索的194份文献中,纳入了4项rct,涉及361例患者。Olezarsen在所有剂量组中显著降低血浆载脂蛋白c3,包括50mg剂量组(MD: - 70.31%;95% CI: -83.89 ~ -56.74;P < 0.01),每4周给药80 mg。在任何剂量水平下,它也显著降低甘油三酯,在50 mg时观察到降低(MD: - 49.84%;95% CI = -70.42 ~ -22.37;p = 0)和80 mg (MD: - 52.32%;95% CI: -58.25 ~ -46.40;P < 0.01)。Olezarsen对低密度脂蛋白(LDL)的影响最小,但对高密度脂蛋白(HDL)的影响显著。剂量-反应荟萃分析模型表明,每四周给药50mg可能是最佳剂量,超过这个剂量,额外的益处就会减少。安全性分析显示肝脏、肾脏和血液学指标的耐受性。综上所述,olezarsen是一种有效的Apo-C3抑制剂,可改善脂质谱并具有良好的安全性。这种基于模型的见解通过描绘一个更清晰的治疗窗口来完善先前的发现。
本文章由计算机程序翻译,如有差异,请以英文原文为准。
求助全文
约1分钟内获得全文 求助全文
来源期刊
Journal of the Saudi Heart Association
Journal of the Saudi Heart Association CARDIAC & CARDIOVASCULAR SYSTEMS-
CiteScore
1.40
自引率
0.00%
发文量
30
审稿时长
15 weeks
×
引用
GB/T 7714-2015
复制
MLA
复制
APA
复制
导出至
BibTeX EndNote RefMan NoteFirst NoteExpress
×
提示
您的信息不完整,为了账户安全,请先补充。
现在去补充
×
提示
您因"违规操作"
具体请查看互助需知
我知道了
×
提示
确定
请完成安全验证×
copy
已复制链接
快去分享给好友吧!
我知道了
右上角分享
点击右上角分享
0
联系我们:info@booksci.cn Book学术提供免费学术资源搜索服务,方便国内外学者检索中英文文献。致力于提供最便捷和优质的服务体验。 Copyright © 2023 布克学术 All rights reserved.
京ICP备2023020795号-1
ghs 京公网安备 11010802042870号
Book学术文献互助
Book学术文献互助群
群 号:604180095
Book学术官方微信