Hemogram-derived ratios as prognostic markers for major adverse cardiovascular events in patients with non-ST-segment elevation myocardial infarction.

Emir Bećirović, Minela Bećirović, Sabina Šegalo, Amir Bećirović, Semir Hadžić, Kenana Ljuca, Emsel Papić, Lamija Ferhatbegović, Malik Ejubović, Amira Jagodić Ejubović, Amila Kovčić, Armin Šljivo, Emir Begagić
{"title":"Hemogram-derived ratios as prognostic markers for major adverse cardiovascular events in patients with non-ST-segment elevation myocardial infarction.","authors":"Emir Bećirović, Minela Bećirović, Sabina Šegalo, Amir Bećirović, Semir Hadžić, Kenana Ljuca, Emsel Papić, Lamija Ferhatbegović, Malik Ejubović, Amira Jagodić Ejubović, Amila Kovčić, Armin Šljivo, Emir Begagić","doi":"10.5662/wjm.v15.i2.98143","DOIUrl":null,"url":null,"abstract":"<p><strong>Background: </strong>Non-ST segment elevation myocardial infarction (NSTEMI) poses significant challenges in clinical management due to its diverse outcomes. Understanding the prognostic role of hematological parameters and derived ratios in NSTEMI patients could aid in risk stratification and improve patient care.</p><p><strong>Aim: </strong>To evaluate the predictive value of hemogram-derived ratios for major adverse cardiovascular events (MACE) in NSTEMI patients, potentially improving clinical outcomes.</p><p><strong>Methods: </strong>A prospective, observational cohort study was conducted in 2021 at the Internal Medicine Clinic of the University Hospital in Tuzla, Bosnia and Herzegovina. The study included 170 patients with NSTEMI, who were divided into a group with MACE and a control group without MACE. Furthermore, the MACE group was subdivided into lethal and non-lethal groups for prognostic analysis. Alongside hematological parameters, an additional 13 hematological-derived ratios (HDRs) were monitored, and their prognostic role was investigated.</p><p><strong>Results: </strong>Hematological parameters did not significantly differ between non-ST segment elevation myocardial infarction (NSTEMI) patients with MACE and a control group at T1 and T2. However, significant disparities emerged in HDRs among NSTEMI patients with lethal and non-lethal outcomes post-MACE. Notably, neutrophil-to-lymphocyte ratio (NLR) and platelet-to-lymphocyte ratio (PLR) were elevated in lethal outcomes. Furthermore, C-reactive protein-to-lymphocyte ratio (CRP/Ly) at T1 (> 4.737) demonstrated predictive value [odds ratio (OR): 3.690, <i>P</i> = 0.024]. Both NLR at T1 (> 4.076) and T2 (> 4.667) emerged as significant predictors, with NLR at T2 exhibiting the highest diagnostic performance, as indicated by an area under the curve of 0.811 (95%CI: 0.727-0.859) and OR of 4.915 (95%CI: 1.917-12.602, <i>P</i> = 0.001), emphasizing its important role as a prognostic marker.</p><p><strong>Conclusion: </strong>This study highlights the significant prognostic value of hemogram-derived indexes in predicting MACE among NSTEMI patients. During follow-up, NLR, PLR, and CRP/Ly offer important insights into the inflammatory processes underlying cardiovascular events.</p>","PeriodicalId":94271,"journal":{"name":"World journal of methodology","volume":"15 2","pages":"98143"},"PeriodicalIF":0.0000,"publicationDate":"2025-06-20","publicationTypes":"Journal Article","fieldsOfStudy":null,"isOpenAccess":false,"openAccessPdf":"https://www.ncbi.nlm.nih.gov/pmc/articles/PMC11612734/pdf/","citationCount":"0","resultStr":null,"platform":"Semanticscholar","paperid":null,"PeriodicalName":"World journal of methodology","FirstCategoryId":"1085","ListUrlMain":"https://doi.org/10.5662/wjm.v15.i2.98143","RegionNum":0,"RegionCategory":null,"ArticlePicture":[],"TitleCN":null,"AbstractTextCN":null,"PMCID":null,"EPubDate":"","PubModel":"","JCR":"","JCRName":"","Score":null,"Total":0}
引用次数: 0

Abstract

Background: Non-ST segment elevation myocardial infarction (NSTEMI) poses significant challenges in clinical management due to its diverse outcomes. Understanding the prognostic role of hematological parameters and derived ratios in NSTEMI patients could aid in risk stratification and improve patient care.

Aim: To evaluate the predictive value of hemogram-derived ratios for major adverse cardiovascular events (MACE) in NSTEMI patients, potentially improving clinical outcomes.

Methods: A prospective, observational cohort study was conducted in 2021 at the Internal Medicine Clinic of the University Hospital in Tuzla, Bosnia and Herzegovina. The study included 170 patients with NSTEMI, who were divided into a group with MACE and a control group without MACE. Furthermore, the MACE group was subdivided into lethal and non-lethal groups for prognostic analysis. Alongside hematological parameters, an additional 13 hematological-derived ratios (HDRs) were monitored, and their prognostic role was investigated.

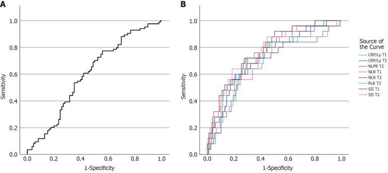
Results: Hematological parameters did not significantly differ between non-ST segment elevation myocardial infarction (NSTEMI) patients with MACE and a control group at T1 and T2. However, significant disparities emerged in HDRs among NSTEMI patients with lethal and non-lethal outcomes post-MACE. Notably, neutrophil-to-lymphocyte ratio (NLR) and platelet-to-lymphocyte ratio (PLR) were elevated in lethal outcomes. Furthermore, C-reactive protein-to-lymphocyte ratio (CRP/Ly) at T1 (> 4.737) demonstrated predictive value [odds ratio (OR): 3.690, P = 0.024]. Both NLR at T1 (> 4.076) and T2 (> 4.667) emerged as significant predictors, with NLR at T2 exhibiting the highest diagnostic performance, as indicated by an area under the curve of 0.811 (95%CI: 0.727-0.859) and OR of 4.915 (95%CI: 1.917-12.602, P = 0.001), emphasizing its important role as a prognostic marker.

Conclusion: This study highlights the significant prognostic value of hemogram-derived indexes in predicting MACE among NSTEMI patients. During follow-up, NLR, PLR, and CRP/Ly offer important insights into the inflammatory processes underlying cardiovascular events.

Abstract Image

血图衍生比值作为非st段抬高型心肌梗死患者主要不良心血管事件的预后指标。
背景:非st段抬高型心肌梗死(NSTEMI)因其预后多样,在临床治疗中面临重大挑战。了解血液学参数和衍生比值在非stemi患者中的预后作用有助于风险分层和改善患者护理。目的:评价血图衍生比值对NSTEMI患者主要不良心血管事件(MACE)的预测价值,以期潜在地改善临床预后。方法:于2021年在波斯尼亚和黑塞哥维那图兹拉大学医院内科诊所进行了一项前瞻性观察性队列研究。该研究纳入170例NSTEMI患者,将其分为MACE组和未MACE组。进一步将MACE组细分为致死性组和非致死性组进行预后分析。除了血液学参数外,还监测了另外13项血液学衍生比率(hdr),并研究了它们的预后作用。结果:非st段抬高型心肌梗死(NSTEMI)合并MACE患者与对照组在T1和T2时的血液学参数无显著差异。然而,mace后致死性和非致死性NSTEMI患者的hdr出现了显著差异。值得注意的是,在致死性结局中,中性粒细胞与淋巴细胞比率(NLR)和血小板与淋巴细胞比率(PLR)升高。此外,T1时c反应蛋白与淋巴细胞比值(CRP/Ly)(> 4.737)具有预测价值[比值比(OR): 3.690, P = 0.024]。T1时NLR(> 4.076)和T2时NLR(> 4.667)都是重要的预测指标,其中T2时NLR表现出最高的诊断性能,曲线下面积为0.811 (95%CI: 0.727-0.859), OR为4.915 (95%CI: 1.917-12.602, P = 0.001),强调了其作为预后指标的重要作用。结论:本研究强调了血图衍生指标在预测NSTEMI患者MACE中的重要预后价值。在随访期间,NLR、PLR和CRP/Ly为心血管事件的炎症过程提供了重要的见解。
本文章由计算机程序翻译,如有差异,请以英文原文为准。
求助全文
约1分钟内获得全文 求助全文
来源期刊
自引率
0.00%
发文量
0
×
引用
GB/T 7714-2015
复制
MLA
复制
APA
复制
导出至
BibTeX EndNote RefMan NoteFirst NoteExpress
×
提示
您的信息不完整,为了账户安全,请先补充。
现在去补充
×
提示
您因"违规操作"
具体请查看互助需知
我知道了
×
提示
确定
请完成安全验证×
copy
已复制链接
快去分享给好友吧!
我知道了
右上角分享
点击右上角分享
0
联系我们:info@booksci.cn Book学术提供免费学术资源搜索服务,方便国内外学者检索中英文文献。致力于提供最便捷和优质的服务体验。 Copyright © 2023 布克学术 All rights reserved.
京ICP备2023020795号-1
ghs 京公网安备 11010802042870号
Book学术文献互助
Book学术文献互助群
群 号:604180095
Book学术官方微信