Antibiotic Usage During Surgery may be Correlated With Survival in Radically Resected Non-Small-Cell Lung Cancer Patients.

IF 1.9 4区 医学 Q3 ONCOLOGY
Clinical Medicine Insights-Oncology Pub Date : 2025-06-18 eCollection Date: 2025-01-01 DOI:10.1177/11795549251348376
Qianwen Ye, Long Liu, Meiqi Cui, Mingjuan Liu, Bing Yan
{"title":"Antibiotic Usage During Surgery may be Correlated With Survival in Radically Resected Non-Small-Cell Lung Cancer Patients.","authors":"Qianwen Ye, Long Liu, Meiqi Cui, Mingjuan Liu, Bing Yan","doi":"10.1177/11795549251348376","DOIUrl":null,"url":null,"abstract":"<p><strong>Background: </strong>Accumulating evidence suggests that the use of antibiotics (ATBs) is harmful to the survival of patients with non-small-cell lung cancer (NSCLC). However, the association between the prophylactic use of these agents during surgery and patient survival has been less well studied.</p><p><strong>Methods: </strong>Data concerning the use of ATBs, including the cumulative defined daily dose (cDDD) and type, in stage I to III NSCLC patients were collected. The patients were subsequently divided into low or high-cDDD subgroups and ⩽2 or ⩾3 ATB-type subgroups. Differences in clinical variables, overall survival (OS), and disease-free survival (DFS) among these groups were assessed. Furthermore, differences in survival among specific ATB types (<i>β-lactams</i> and <i>fluoroquinolones</i>) were also tested. Finally, the risk factors for OS were determined using the Cox proportional hazards model.</p><p><strong>Results: </strong>A total of 324 patients were included. Low cDDD was more common in patients with advanced T stages, whereas ⩽2 types of ATBs were common in female patients and those with adenocarcinoma, N<sub>0</sub> disease and stage I disease. No significant difference was found in OS among the low- or high-cDDD subgroups; however, a significant difference in OS was found between the ⩽2 and ⩾3 ATB. Similarly, patients with or without <i>β-lactams</i> displayed no difference in OS, whereas those with or without <i>fluoroquinolones</i> did. No differences were found in DFS between the subgroups. Multiple types of ATBs, rather than cDDD, were found to be risk factors for OS; however, they were not validated as independent risk factors.</p><p><strong>Conclusions: </strong>This study, for the first time, explored the prognostic value of ATB use during surgery in NSCLC patients and revealed that multiple types of ATBs may be associated with OS in patients with stage I to III disease. Notably, patients treated with <i>fluoroquinolones</i> may have inferior outcomes than those without ATB use. However, multiple types of ATBs were not validated as independent risk factors for OS. These results suggest that the use of ATBs during surgery in early-stage NSCLC is generally safe; however, caution should be taken when selecting ATB types. Multiple ATB types should be avoided, and some specific ATB types, such as <i>fluoroquinolones</i>, should not be administered. Nonetheless, owing to the limited sample sizes, future studies are needed to validate our results.</p>","PeriodicalId":48591,"journal":{"name":"Clinical Medicine Insights-Oncology","volume":"19 ","pages":"11795549251348376"},"PeriodicalIF":1.9000,"publicationDate":"2025-06-18","publicationTypes":"Journal Article","fieldsOfStudy":null,"isOpenAccess":false,"openAccessPdf":"https://www.ncbi.nlm.nih.gov/pmc/articles/PMC12177260/pdf/","citationCount":"0","resultStr":null,"platform":"Semanticscholar","paperid":null,"PeriodicalName":"Clinical Medicine Insights-Oncology","FirstCategoryId":"3","ListUrlMain":"https://doi.org/10.1177/11795549251348376","RegionNum":4,"RegionCategory":"医学","ArticlePicture":[],"TitleCN":null,"AbstractTextCN":null,"PMCID":null,"EPubDate":"2025/1/1 0:00:00","PubModel":"eCollection","JCR":"Q3","JCRName":"ONCOLOGY","Score":null,"Total":0}
引用次数: 0

Abstract

Background: Accumulating evidence suggests that the use of antibiotics (ATBs) is harmful to the survival of patients with non-small-cell lung cancer (NSCLC). However, the association between the prophylactic use of these agents during surgery and patient survival has been less well studied.

Methods: Data concerning the use of ATBs, including the cumulative defined daily dose (cDDD) and type, in stage I to III NSCLC patients were collected. The patients were subsequently divided into low or high-cDDD subgroups and ⩽2 or ⩾3 ATB-type subgroups. Differences in clinical variables, overall survival (OS), and disease-free survival (DFS) among these groups were assessed. Furthermore, differences in survival among specific ATB types (β-lactams and fluoroquinolones) were also tested. Finally, the risk factors for OS were determined using the Cox proportional hazards model.

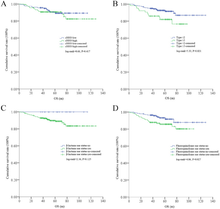
Results: A total of 324 patients were included. Low cDDD was more common in patients with advanced T stages, whereas ⩽2 types of ATBs were common in female patients and those with adenocarcinoma, N0 disease and stage I disease. No significant difference was found in OS among the low- or high-cDDD subgroups; however, a significant difference in OS was found between the ⩽2 and ⩾3 ATB. Similarly, patients with or without β-lactams displayed no difference in OS, whereas those with or without fluoroquinolones did. No differences were found in DFS between the subgroups. Multiple types of ATBs, rather than cDDD, were found to be risk factors for OS; however, they were not validated as independent risk factors.

Conclusions: This study, for the first time, explored the prognostic value of ATB use during surgery in NSCLC patients and revealed that multiple types of ATBs may be associated with OS in patients with stage I to III disease. Notably, patients treated with fluoroquinolones may have inferior outcomes than those without ATB use. However, multiple types of ATBs were not validated as independent risk factors for OS. These results suggest that the use of ATBs during surgery in early-stage NSCLC is generally safe; however, caution should be taken when selecting ATB types. Multiple ATB types should be avoided, and some specific ATB types, such as fluoroquinolones, should not be administered. Nonetheless, owing to the limited sample sizes, future studies are needed to validate our results.

Abstract Image

Abstract Image

Abstract Image

手术期间抗生素的使用可能与根治性非小细胞肺癌患者的生存相关。
背景:越来越多的证据表明,抗生素(ATBs)的使用对非小细胞肺癌(NSCLC)患者的生存有害。然而,手术期间预防性使用这些药物与患者生存之间的关系尚未得到充分研究。方法:收集I至III期NSCLC患者使用atb的数据,包括累积定义日剂量(cDDD)和类型。随后将患者分为低或高cddd亚组和≥2或≥3 atb型亚组。评估两组间临床变量、总生存期(OS)和无病生存期(DFS)的差异。此外,还测试了特定ATB类型(β-内酰胺类和氟喹诺酮类)的生存差异。最后,使用Cox比例风险模型确定OS的危险因素。结果:共纳入324例患者。低cDDD在晚期T期患者中更为常见,而≥2型atb在女性患者、腺癌、N0期和I期患者中较为常见。低、高cddd亚组间OS差异无统计学意义;然而,在≥2和≥3 ATB之间发现了OS的显著差异。同样,服用或不服用β-内酰胺类药物的患者在OS方面没有差异,而服用或不服用氟喹诺酮类药物的患者则有差异。亚组间DFS无差异。多种类型的ATBs是OS的危险因素,而不是cDDD;然而,它们并没有被证实为独立的危险因素。结论:本研究首次探讨了非小细胞肺癌患者手术中使用ATB的预后价值,并揭示了多种类型的ATB可能与I至III期疾病患者的OS相关。值得注意的是,与未使用ATB的患者相比,使用氟喹诺酮类药物治疗的患者预后可能较差。然而,多种类型的ATBs并未被证实为OS的独立危险因素。这些结果表明,在早期NSCLC手术中使用ATBs通常是安全的;但是,在选择ATB类型时应该谨慎。应避免使用多种ATB,不应使用某些特定类型的ATB,如氟喹诺酮类药物。然而,由于样本量有限,需要进一步的研究来验证我们的结果。
本文章由计算机程序翻译,如有差异,请以英文原文为准。
求助全文
约1分钟内获得全文 求助全文
来源期刊
CiteScore
2.40
自引率
4.50%
发文量
57
审稿时长
8 weeks
期刊介绍: Clinical Medicine Insights: Oncology is an international, peer-reviewed, open access journal that focuses on all aspects of cancer research and treatment, in addition to related genetic, pathophysiological and epidemiological topics. Of particular but not exclusive importance are molecular biology, clinical interventions, controlled trials, therapeutics, pharmacology and drug delivery, and techniques of cancer surgery. The journal welcomes unsolicited article proposals.
×
引用
GB/T 7714-2015
复制
MLA
复制
APA
复制
导出至
BibTeX EndNote RefMan NoteFirst NoteExpress
×
提示
您的信息不完整,为了账户安全,请先补充。
现在去补充
×
提示
您因"违规操作"
具体请查看互助需知
我知道了
×
提示
确定
请完成安全验证×
copy
已复制链接
快去分享给好友吧!
我知道了
右上角分享
点击右上角分享
0
联系我们:info@booksci.cn Book学术提供免费学术资源搜索服务,方便国内外学者检索中英文文献。致力于提供最便捷和优质的服务体验。 Copyright © 2023 布克学术 All rights reserved.
京ICP备2023020795号-1
ghs 京公网安备 11010802042870号
Book学术文献互助
Book学术文献互助群
群 号:604180095
Book学术官方微信