Open Access to Antipsychotics in State Medicaid Programs: Effect on Healthcare Resource Utilization and Costs among Patients with Serious Mental Illness.

IF 2.3 Q2 ECONOMICS
Journal of Health Economics and Outcomes Research Pub Date : 2025-06-17 eCollection Date: 2025-01-01 DOI:10.36469/001c.137909
Rashmi Patel, Onur Baser, Heidi C Waters, Daniel Huang, Leigh Morrissey, Katarzyna Rodchenko, Gabriela Samayoa
{"title":"Open Access to Antipsychotics in State Medicaid Programs: Effect on Healthcare Resource Utilization and Costs among Patients with Serious Mental Illness.","authors":"Rashmi Patel, Onur Baser, Heidi C Waters, Daniel Huang, Leigh Morrissey, Katarzyna Rodchenko, Gabriela Samayoa","doi":"10.36469/001c.137909","DOIUrl":null,"url":null,"abstract":"<p><p><b>Background:</b> The restrictive consequences of Medicaid formulary restriction policies on antipsychotic medications may lead to higher healthcare utilization and costs among beneficiaries with serious mental illness (SMI). <b>Objectives:</b> This study compared outcomes among patients with SMI accessing antipsychotic medications through state Medicaid programs with open access (OA) policies (Michigan) vs 5 states without Medicaid OA policies (California, Colorado, Florida, Illinois, Wisconsin). <b>Methods:</b> A retrospective analysis was conducted using Kythera Labs Medicaid data (Jan. 1, 2016-Dec. 31, 2023). Outcomes were assessed for patients with SMI (>18 years of age, ≥1 antipsychotic medication claim during the identification period (Jan. 1, 2017-Dec. 31, 2022), ≥1 SMI claim in the 12-month baseline). Continuous medical and pharmacy benefits were required for 12 months pre- and post-index date. Outcomes included SMI-related hospital admissions, length of hospital stay, emergency department and outpatient visits, and associated costs. <b>Results:</b> A greater proportion of beneficiaries with SMI resided in Michigan than in the other states. After matching, significantly more antipsychotics users experienced SMI-related hospitalizations in California (18.25% vs 9.47%, P < .0001), Colorado (11.41% vs 7.33%, P  =.0004), Florida (19.70% vs 10.17%, P < .0001), Illinois (23.57% vs 8.79%, P < .0001), and Wisconsin (15.21% vs 10.02%, P = .0046) than in Michigan. Length of stay was lower in Michigan than in California, Colorado, and Illinois. Inpatient costs related to SMI were significantly lower in Michigan, yet pharmacy costs were higher. Total SMI-related costs were higher in all non-OA states than in Michigan, except Colorado. <b>Discussion:</b> State Medicaid programs without OA to antipsychotics were associated with higher rates of SMI-related resource utilization and costs vs Michigan. <b>Conclusions:</b> Policy makers should consider the potential downstream cost implications of restrictive access policies and evaluate whether OA could result in improved health outcomes for patients and savings for Medicaid programs.</p>","PeriodicalId":16012,"journal":{"name":"Journal of Health Economics and Outcomes Research","volume":"12 1","pages":"222-229"},"PeriodicalIF":2.3000,"publicationDate":"2025-06-17","publicationTypes":"Journal Article","fieldsOfStudy":null,"isOpenAccess":false,"openAccessPdf":"https://www.ncbi.nlm.nih.gov/pmc/articles/PMC12178157/pdf/","citationCount":"0","resultStr":null,"platform":"Semanticscholar","paperid":null,"PeriodicalName":"Journal of Health Economics and Outcomes Research","FirstCategoryId":"1085","ListUrlMain":"https://doi.org/10.36469/001c.137909","RegionNum":0,"RegionCategory":null,"ArticlePicture":[],"TitleCN":null,"AbstractTextCN":null,"PMCID":null,"EPubDate":"2025/1/1 0:00:00","PubModel":"eCollection","JCR":"Q2","JCRName":"ECONOMICS","Score":null,"Total":0}
引用次数: 0

Abstract

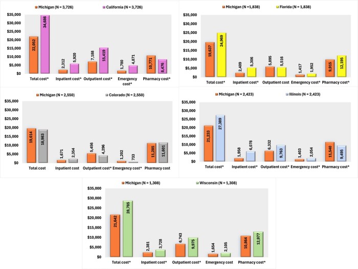
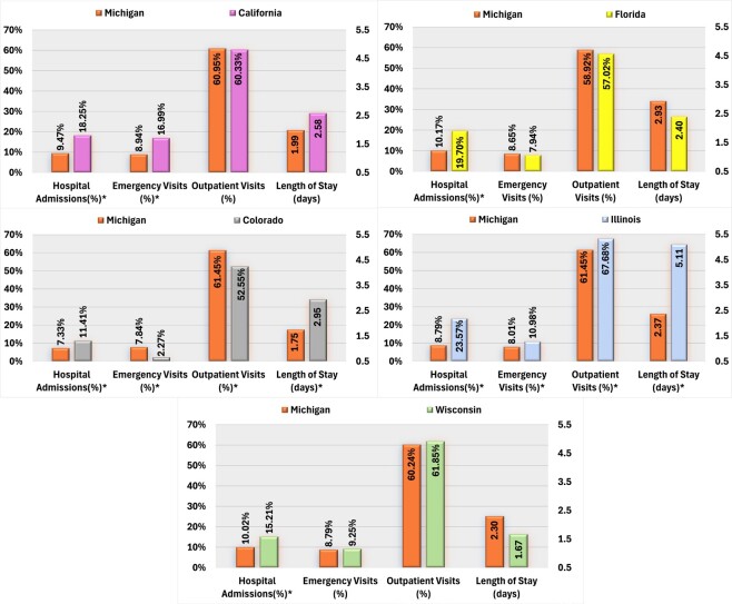
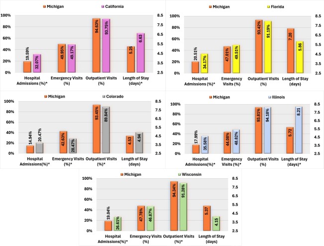
Background: The restrictive consequences of Medicaid formulary restriction policies on antipsychotic medications may lead to higher healthcare utilization and costs among beneficiaries with serious mental illness (SMI). Objectives: This study compared outcomes among patients with SMI accessing antipsychotic medications through state Medicaid programs with open access (OA) policies (Michigan) vs 5 states without Medicaid OA policies (California, Colorado, Florida, Illinois, Wisconsin). Methods: A retrospective analysis was conducted using Kythera Labs Medicaid data (Jan. 1, 2016-Dec. 31, 2023). Outcomes were assessed for patients with SMI (>18 years of age, ≥1 antipsychotic medication claim during the identification period (Jan. 1, 2017-Dec. 31, 2022), ≥1 SMI claim in the 12-month baseline). Continuous medical and pharmacy benefits were required for 12 months pre- and post-index date. Outcomes included SMI-related hospital admissions, length of hospital stay, emergency department and outpatient visits, and associated costs. Results: A greater proportion of beneficiaries with SMI resided in Michigan than in the other states. After matching, significantly more antipsychotics users experienced SMI-related hospitalizations in California (18.25% vs 9.47%, P < .0001), Colorado (11.41% vs 7.33%, P  =.0004), Florida (19.70% vs 10.17%, P < .0001), Illinois (23.57% vs 8.79%, P < .0001), and Wisconsin (15.21% vs 10.02%, P = .0046) than in Michigan. Length of stay was lower in Michigan than in California, Colorado, and Illinois. Inpatient costs related to SMI were significantly lower in Michigan, yet pharmacy costs were higher. Total SMI-related costs were higher in all non-OA states than in Michigan, except Colorado. Discussion: State Medicaid programs without OA to antipsychotics were associated with higher rates of SMI-related resource utilization and costs vs Michigan. Conclusions: Policy makers should consider the potential downstream cost implications of restrictive access policies and evaluate whether OA could result in improved health outcomes for patients and savings for Medicaid programs.

Abstract Image

Abstract Image

Abstract Image

国家医疗补助计划中抗精神病药物的开放获取:对严重精神疾病患者医疗资源利用和成本的影响
背景:医疗补助对抗精神病药物处方限制政策的限制性后果可能导致患有严重精神疾病(SMI)的受益人更高的医疗保健利用率和成本。目的:本研究比较了通过开放获取(OA)政策的州医疗补助计划获得抗精神病药物的重度精神障碍患者(密歇根州)与没有开放获取(OA)政策的5个州(加利福尼亚州、科罗拉多州、佛罗里达州、伊利诺伊州、威斯康星州)的结果。方法:使用Kythera实验室医疗补助数据(2016年1月1日至12月1日)进行回顾性分析。31, 2023)。结果评估了重度精神分裂症患者(>18岁,在鉴定期间(2017年1月1日- 12月1日)≥1个抗精神病药物索赔。31,2022), 12个月基线内SMI索赔≥1例)。在指数之前和之后的12个月内需要持续的医疗和药品福利。结果包括与重度精神分裂症相关的住院次数、住院时间、急诊科和门诊就诊以及相关费用。结果:与其他州相比,居住在密歇根州的SMI受益人比例更大。在匹配后,明显更多的抗精神病药物使用者经历了重度精神分裂症相关的住院治疗(18.25% vs 9.47%), P讨论:与密歇根州相比,没有OA抗精神病药物的州医疗补助计划与更高的重度精神分裂症相关资源利用率和成本相关。结论:政策制定者应考虑限制性准入政策的潜在下游成本影响,并评估OA是否可以改善患者的健康结果并节省医疗补助计划的费用。
本文章由计算机程序翻译,如有差异,请以英文原文为准。
求助全文
约1分钟内获得全文 求助全文
来源期刊
CiteScore
3.00
自引率
0.00%
发文量
55
审稿时长
10 weeks
×
引用
GB/T 7714-2015
复制
MLA
复制
APA
复制
导出至
BibTeX EndNote RefMan NoteFirst NoteExpress
×
提示
您的信息不完整,为了账户安全,请先补充。
现在去补充
×
提示
您因"违规操作"
具体请查看互助需知
我知道了
×
提示
确定
请完成安全验证×
copy
已复制链接
快去分享给好友吧!
我知道了
右上角分享
点击右上角分享
0
联系我们:info@booksci.cn Book学术提供免费学术资源搜索服务,方便国内外学者检索中英文文献。致力于提供最便捷和优质的服务体验。 Copyright © 2023 布克学术 All rights reserved.
京ICP备2023020795号-1
ghs 京公网安备 11010802042870号
Book学术文献互助
Book学术文献互助群
群 号:604180095
Book学术官方微信