Reduced splenic uptake of [68Ga]Ga-Pentixafor following first-line chemotherapy is associated with poor prognosis in patients with newly diagnosed multiple myeloma.

IF 3.1 3区 医学 Q1 RADIOLOGY, NUCLEAR MEDICINE & MEDICAL IMAGING
Qingqing Pan, Zhenying Chen, Silu Liu, Hongzhe Zhang, Jie Feng, Weibing Miao, Fang Li, Xinxin Cao, Yaping Luo
{"title":"Reduced splenic uptake of [<sup>68</sup>Ga]Ga-Pentixafor following first-line chemotherapy is associated with poor prognosis in patients with newly diagnosed multiple myeloma.","authors":"Qingqing Pan, Zhenying Chen, Silu Liu, Hongzhe Zhang, Jie Feng, Weibing Miao, Fang Li, Xinxin Cao, Yaping Luo","doi":"10.1186/s13550-025-01262-2","DOIUrl":null,"url":null,"abstract":"<p><strong>Background: </strong>We aim to investigate the prognostic value of [<sup>68</sup>Ga]Ga-Pentixafor PET/CT in multiple myeloma (MM) patients.</p><p><strong>Results: </strong>This is a retrospective analysis of a prospective cohort study. Twenty-five patients with treatment-naïve, newly diagnosed MM were included. All participants underwent [<sup>68</sup>Ga]Ga-Pentixafor PET/CT scans at baseline and after first-line chemotherapy. The endpoints included the time to progression (TTP) and the time to next treatment (TTNT). The correlation between PET/CT characteristics and survival was then analyzed. Patients with a decline in SUVmax of bone marrow of less than 40% from baseline demonstrated significantly shorter TTP and TTNT (estimated median TTP, 27.5 months [95% CI, 16.7-38.2] vs. not reached, P = 0.047; estimated median TTNT, 31.8 months [95% CI, 20.8-42.8] vs. not reached, P = 0.012). Patients with visually reduced splenic uptake in the follow-up [<sup>68</sup>Ga]Ga-Pentixafor PET/CT from baseline exhibited significantly shorter TTP and TTNT (estimated median TTP, 24.4 months [95% CI, 7.9-24.4] vs. not reached, P = 0.018; estimated median TTNT, 31.9 months [95% CI, 18.5-31.9] vs. not reached, P = 0.043). A 20% reduction in splenic SUVmax was identified as a predictive indicator for shorter TTP and TTNT (estimated median TTP, 24.4 months [95% CI, 14.5-24.4] vs. not reached, P = 0.025; estimated mean TTNT, 31.9 months [95% CI, 18.5-31.9] vs. not reached, P = 0.048). Patients with splenic SUVmax < 5.0 at follow-up also exhibited significantly shorter TTP and TTNT. However, the splenic SUVmax at baseline PET/CT was not predictive of TTP or TTNT (P > 0.05).</p><p><strong>Conclusion: </strong>Reduced splenic uptake of [<sup>68</sup>Ga]Ga-Pentixafor following first-line chemotherapy was predictive for poor prognosis in patients with newly diagnosed MM, while baseline splenic uptake is not associated with prognosis.</p><p><strong>Trial registration: </strong>ClinicalTrials. NCT03436342 Registered 25 October 2017, https://register.</p><p><strong>Clinicaltrials: </strong>gov/prs/app/action/SelectProtocol?sid=S0007IL2&selectaction=Edit&uid=U0001JRW&ts=6&cx=-3sdpwu .</p><p><strong>Clinicaltrials: </strong>NCT04504526 Registered 6 August 2020, https://clinicaltrials.gov/study/NCT04504526?cond=NCT04504526&rank=1 .</p>","PeriodicalId":11611,"journal":{"name":"EJNMMI Research","volume":"15 1","pages":"74"},"PeriodicalIF":3.1000,"publicationDate":"2025-06-20","publicationTypes":"Journal Article","fieldsOfStudy":null,"isOpenAccess":false,"openAccessPdf":"https://www.ncbi.nlm.nih.gov/pmc/articles/PMC12181446/pdf/","citationCount":"0","resultStr":null,"platform":"Semanticscholar","paperid":null,"PeriodicalName":"EJNMMI Research","FirstCategoryId":"3","ListUrlMain":"https://doi.org/10.1186/s13550-025-01262-2","RegionNum":3,"RegionCategory":"医学","ArticlePicture":[],"TitleCN":null,"AbstractTextCN":null,"PMCID":null,"EPubDate":"","PubModel":"","JCR":"Q1","JCRName":"RADIOLOGY, NUCLEAR MEDICINE & MEDICAL IMAGING","Score":null,"Total":0}
引用次数: 0

Abstract

Background: We aim to investigate the prognostic value of [68Ga]Ga-Pentixafor PET/CT in multiple myeloma (MM) patients.

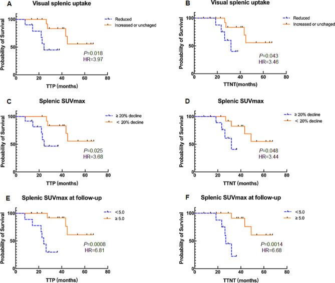
Results: This is a retrospective analysis of a prospective cohort study. Twenty-five patients with treatment-naïve, newly diagnosed MM were included. All participants underwent [68Ga]Ga-Pentixafor PET/CT scans at baseline and after first-line chemotherapy. The endpoints included the time to progression (TTP) and the time to next treatment (TTNT). The correlation between PET/CT characteristics and survival was then analyzed. Patients with a decline in SUVmax of bone marrow of less than 40% from baseline demonstrated significantly shorter TTP and TTNT (estimated median TTP, 27.5 months [95% CI, 16.7-38.2] vs. not reached, P = 0.047; estimated median TTNT, 31.8 months [95% CI, 20.8-42.8] vs. not reached, P = 0.012). Patients with visually reduced splenic uptake in the follow-up [68Ga]Ga-Pentixafor PET/CT from baseline exhibited significantly shorter TTP and TTNT (estimated median TTP, 24.4 months [95% CI, 7.9-24.4] vs. not reached, P = 0.018; estimated median TTNT, 31.9 months [95% CI, 18.5-31.9] vs. not reached, P = 0.043). A 20% reduction in splenic SUVmax was identified as a predictive indicator for shorter TTP and TTNT (estimated median TTP, 24.4 months [95% CI, 14.5-24.4] vs. not reached, P = 0.025; estimated mean TTNT, 31.9 months [95% CI, 18.5-31.9] vs. not reached, P = 0.048). Patients with splenic SUVmax < 5.0 at follow-up also exhibited significantly shorter TTP and TTNT. However, the splenic SUVmax at baseline PET/CT was not predictive of TTP or TTNT (P > 0.05).

Conclusion: Reduced splenic uptake of [68Ga]Ga-Pentixafor following first-line chemotherapy was predictive for poor prognosis in patients with newly diagnosed MM, while baseline splenic uptake is not associated with prognosis.

Trial registration: ClinicalTrials. NCT03436342 Registered 25 October 2017, https://register.

Clinicaltrials: gov/prs/app/action/SelectProtocol?sid=S0007IL2&selectaction=Edit&uid=U0001JRW&ts=6&cx=-3sdpwu .

Clinicaltrials: NCT04504526 Registered 6 August 2020, https://clinicaltrials.gov/study/NCT04504526?cond=NCT04504526&rank=1 .

Abstract Image

Abstract Image

Abstract Image

新诊断多发性骨髓瘤患者一线化疗后脾脏对[68Ga]Ga-Pentixafor的摄取减少与预后不良相关。
背景:我们旨在探讨[68Ga] ga - pentixapet /CT对多发性骨髓瘤(MM)患者的预后价值。结果:这是一项前瞻性队列研究的回顾性分析。纳入25例treatment-naïve新诊断MM患者。所有参与者在基线和一线化疗后均接受了[68Ga]Ga-Pentixafor PET/CT扫描。终点包括进展时间(TTP)和下一次治疗时间(TTNT)。然后分析PET/CT特征与生存率的相关性。骨髓SUVmax较基线下降小于40%的患者TTP和TTNT显著缩短(估计TTP中位数为27.5个月[95% CI, 16.7-38.2] vs.未达到TTP, P = 0.047;估计中位TTNT为31.8个月[95% CI, 20.8-42.8] vs.未达到,P = 0.012)。在随访[68Ga]中,脾摄取明显减少的患者从基线开始,Ga-Pentixafor PET/CT显示TTP和TTNT显著缩短(估计TTP中位,24.4个月[95% CI, 7.9-24.4] vs.未达到,P = 0.018;估计中位TTNT为31.9个月[95% CI, 18.5-31.9] vs.未达到,P = 0.043)。脾SUVmax降低20%被认为是TTP和TTNT缩短的预测指标(TTP中位数估计为24.4个月[95% CI, 14.5-24.4] vs.未达到TTP, P = 0.025;估计平均TTNT为31.9个月[95% CI, 18.5-31.9] vs.未达到,P = 0.048)。脾SUVmax 0.05)。结论:新发MM患者一线化疗后脾摄取[68Ga]Ga-Pentixafor降低预示预后不良,而基线脾摄取与预后无相关性。试验注册:临床试验。NCT03436342注册于2017年10月25日https://register.Clinicaltrials: gov/prs/app/action/SelectProtocol?sid=S0007IL2&selectaction=Edit&uid=U0001JRW&ts=6&cx=-3sdpwu .临床试验:NCT04504526 2020年8月6日注册,https://clinicaltrials.gov/study/NCT04504526?cond=NCT04504526&rank=1。
本文章由计算机程序翻译,如有差异,请以英文原文为准。
求助全文
约1分钟内获得全文 求助全文
来源期刊
EJNMMI Research
EJNMMI Research RADIOLOGY, NUCLEAR MEDICINE & MEDICAL IMAGING&nb-
CiteScore
5.90
自引率
3.10%
发文量
72
审稿时长
13 weeks
期刊介绍: EJNMMI Research publishes new basic, translational and clinical research in the field of nuclear medicine and molecular imaging. Regular features include original research articles, rapid communication of preliminary data on innovative research, interesting case reports, editorials, and letters to the editor. Educational articles on basic sciences, fundamental aspects and controversy related to pre-clinical and clinical research or ethical aspects of research are also welcome. Timely reviews provide updates on current applications, issues in imaging research and translational aspects of nuclear medicine and molecular imaging technologies. The main emphasis is placed on the development of targeted imaging with radiopharmaceuticals within the broader context of molecular probes to enhance understanding and characterisation of the complex biological processes underlying disease and to develop, test and guide new treatment modalities, including radionuclide therapy.
×
引用
GB/T 7714-2015
复制
MLA
复制
APA
复制
导出至
BibTeX EndNote RefMan NoteFirst NoteExpress
×
提示
您的信息不完整,为了账户安全,请先补充。
现在去补充
×
提示
您因"违规操作"
具体请查看互助需知
我知道了
×
提示
确定
请完成安全验证×
copy
已复制链接
快去分享给好友吧!
我知道了
右上角分享
点击右上角分享
0
联系我们:info@booksci.cn Book学术提供免费学术资源搜索服务,方便国内外学者检索中英文文献。致力于提供最便捷和优质的服务体验。 Copyright © 2023 布克学术 All rights reserved.
京ICP备2023020795号-1
ghs 京公网安备 11010802042870号
Book学术文献互助
Book学术文献互助群
群 号:604180095
Book学术官方微信