Psychological Interventions Added to Standard Care Improve Pain and Function Outcomes in Knee Osteoarthritis: A Systematic Review and Meta-Analysis.

IF 1.6 Q3 RHEUMATOLOGY
Tim Phelps, Jonathan Gilby, Joanne Hosking, Jonathon Gill
{"title":"Psychological Interventions Added to Standard Care Improve Pain and Function Outcomes in Knee Osteoarthritis: A Systematic Review and Meta-Analysis.","authors":"Tim Phelps, Jonathan Gilby, Joanne Hosking, Jonathon Gill","doi":"10.1002/msc.70141","DOIUrl":null,"url":null,"abstract":"<p><strong>Objective: </strong>Knee osteoarthritis is a primary cause of disability across the world and current standard care fails to address all biopsychosocial contributions to pain. The current review aims to evaluate randomised controlled trials examining the effect of adding cognitive behavioural therapy or pain coping skills training to standard care on pain and function outcomes for individuals with knee osteoarthritis.</p><p><strong>Data sources: </strong>Systematic searches were conducted of CINAHL, EMBASE (OVID), Medline (EBSCO) and PsycINFO databases until July 2024 with no date restrictions.</p><p><strong>Methods: </strong>This systematic review followed the preferred reporting items for systematic reviews and meta-analyses (PRISMA) guidelines. Risk of bias was assessed using the Risk of bias 2 tool. Meta-analysis using a random-effects model was carried out using the ​Statistical Package for the Social Sciences, and effect sizes from standardised mean differences were calculated using Cohen's d statistic. Heterogeneity was assessed using I-squared and Tau-squared tests.</p><p><strong>Results: </strong>Four randomised controlled trials met eligibility criteria (n = 628, mean age 62.91), demonstrating a low risk of bias. The addition of cognitive behavioural therapy or pain coping skills training to standard care for knee osteoarthritis produced statistically significant changes in standardised mean differences (p < 0.001), showing small to medium effect sizes in pain (0.488) and function (0.340) between 3- and 6-month time points. Heterogeneity measured by I<sup>-</sup>squared and Tau-squared was low for pain and function.</p><p><strong>Conclusion: </strong>Adding psychological interventions to standard care for knee osteoarthritis improves outcomes in both pain and function. These findings support the integration of psychological interventions into clinical practice.</p>","PeriodicalId":46945,"journal":{"name":"Musculoskeletal Care","volume":"23 2","pages":"e70141"},"PeriodicalIF":1.6000,"publicationDate":"2025-06-01","publicationTypes":"Journal Article","fieldsOfStudy":null,"isOpenAccess":false,"openAccessPdf":"https://www.ncbi.nlm.nih.gov/pmc/articles/PMC12176529/pdf/","citationCount":"0","resultStr":null,"platform":"Semanticscholar","paperid":null,"PeriodicalName":"Musculoskeletal Care","FirstCategoryId":"1085","ListUrlMain":"https://doi.org/10.1002/msc.70141","RegionNum":0,"RegionCategory":null,"ArticlePicture":[],"TitleCN":null,"AbstractTextCN":null,"PMCID":null,"EPubDate":"","PubModel":"","JCR":"Q3","JCRName":"RHEUMATOLOGY","Score":null,"Total":0}
引用次数: 0

Abstract

Objective: Knee osteoarthritis is a primary cause of disability across the world and current standard care fails to address all biopsychosocial contributions to pain. The current review aims to evaluate randomised controlled trials examining the effect of adding cognitive behavioural therapy or pain coping skills training to standard care on pain and function outcomes for individuals with knee osteoarthritis.

Data sources: Systematic searches were conducted of CINAHL, EMBASE (OVID), Medline (EBSCO) and PsycINFO databases until July 2024 with no date restrictions.

Methods: This systematic review followed the preferred reporting items for systematic reviews and meta-analyses (PRISMA) guidelines. Risk of bias was assessed using the Risk of bias 2 tool. Meta-analysis using a random-effects model was carried out using the ​Statistical Package for the Social Sciences, and effect sizes from standardised mean differences were calculated using Cohen's d statistic. Heterogeneity was assessed using I-squared and Tau-squared tests.

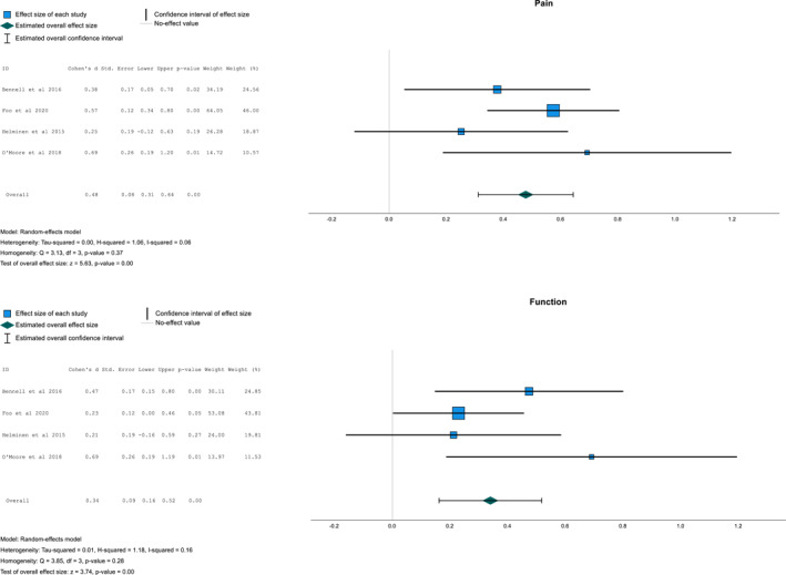
Results: Four randomised controlled trials met eligibility criteria (n = 628, mean age 62.91), demonstrating a low risk of bias. The addition of cognitive behavioural therapy or pain coping skills training to standard care for knee osteoarthritis produced statistically significant changes in standardised mean differences (p < 0.001), showing small to medium effect sizes in pain (0.488) and function (0.340) between 3- and 6-month time points. Heterogeneity measured by I-squared and Tau-squared was low for pain and function.

Conclusion: Adding psychological interventions to standard care for knee osteoarthritis improves outcomes in both pain and function. These findings support the integration of psychological interventions into clinical practice.

Abstract Image

Abstract Image

Abstract Image

标准治疗中加入心理干预可改善膝关节骨性关节炎的疼痛和功能结局:一项系统回顾和荟萃分析。
目的:膝关节骨关节炎是世界范围内致残的主要原因,目前的标准治疗未能解决所有生物心理社会因素对疼痛的影响。当前的综述旨在评估随机对照试验,这些试验检验了在标准治疗中加入认知行为疗法或疼痛应对技能训练对膝骨关节炎患者疼痛和功能结局的影响。数据来源:系统检索CINAHL、EMBASE (OVID)、Medline (EBSCO)和PsycINFO数据库至2024年7月,无日期限制。方法:本系统评价遵循系统评价和荟萃分析(PRISMA)指南的首选报告项目。使用Risk of bias 2工具评估偏倚风险。使用社会科学统计软件包进行随机效应模型的荟萃分析,使用Cohen's d统计量计算标准化平均差异的效应量。异质性评估采用i平方和tau平方检验。结果:4项随机对照试验符合入选标准(n = 628,平均年龄62.91),显示低偏倚风险。在膝关节骨性关节炎的标准治疗中加入认知行为疗法或疼痛应对技能训练,在疼痛和功能的标准化平均差异上产生了统计学上显著的变化(p -平方和tau -平方较低)。结论:在膝骨关节炎的标准治疗中加入心理干预可以改善疼痛和功能。这些发现支持将心理干预纳入临床实践。
本文章由计算机程序翻译,如有差异,请以英文原文为准。
求助全文
约1分钟内获得全文 求助全文
来源期刊
Musculoskeletal Care
Musculoskeletal Care RHEUMATOLOGY-
CiteScore
2.30
自引率
7.70%
发文量
88
期刊介绍: Musculoskeletal Care is a peer-reviewed journal for all health professionals committed to the clinical delivery of high quality care for people with musculoskeletal conditions and providing knowledge to support decision making by professionals, patients and policy makers. This journal publishes papers on original research, applied research, review articles and clinical guidelines. Regular topics include patient education, psychological and social impact, patient experiences of health care, clinical up dates and the effectiveness of therapy.
×
引用
GB/T 7714-2015
复制
MLA
复制
APA
复制
导出至
BibTeX EndNote RefMan NoteFirst NoteExpress
×
提示
您的信息不完整,为了账户安全,请先补充。
现在去补充
×
提示
您因"违规操作"
具体请查看互助需知
我知道了
×
提示
确定
请完成安全验证×
copy
已复制链接
快去分享给好友吧!
我知道了
右上角分享
点击右上角分享
0
联系我们:info@booksci.cn Book学术提供免费学术资源搜索服务,方便国内外学者检索中英文文献。致力于提供最便捷和优质的服务体验。 Copyright © 2023 布克学术 All rights reserved.
京ICP备2023020795号-1
ghs 京公网安备 11010802042870号
Book学术文献互助
Book学术文献互助群
群 号:604180095
Book学术官方微信