Synchronous metastases from colorectal cancer. Treatment and long-term survival compared to patients with metachronous metastases: a population-based study from Central Norway 2001-2015.

IF 2.7 3区 医学 Q3 ONCOLOGY
Per Even Storli, Rachel Genne Dille-Amdam, Gaute Havik Skjerseth, Mads Vikhammer Gran, Tor Åge Myklebust, Jon Erik Grønbech, Erling A Bringeland
{"title":"Synchronous metastases from colorectal cancer. Treatment and long-term survival compared to patients with metachronous metastases: a population-based study from Central Norway 2001-2015.","authors":"Per Even Storli, Rachel Genne Dille-Amdam, Gaute Havik Skjerseth, Mads Vikhammer Gran, Tor Åge Myklebust, Jon Erik Grønbech, Erling A Bringeland","doi":"10.2340/1651-226X.2025.42985","DOIUrl":null,"url":null,"abstract":"<p><strong>Background: </strong>Reliable and modern information on primary evaluation, treatment, and long-term survival rates for patients with colorectal cancer (CRC) metastases are needed. Whether synchronous CRC metastases carry a worse prognosis than metachronous is still debated.</p><p><strong>Methods: </strong>Population-based study on 7,950 CRC patients from Central Norway, 2001- 2015. Of these, 1,843 (23.2%) had synchronous metastases and of radically operated patients with stage I-III disease 1,117 (20.1%) developed metachronous metastases. The treatment strategies and outcomes for patients with metastases were analyzed, stratified by three consecutive 5-year periods.</p><p><strong>Results: </strong>Median and 3-year survival for patients with synchronous metastases were 11 months and 16.4%, compared to 17 months and 29.4% with metachronous metastases, p < 0.001 and p < 0.001, respectively. The subsets receiving supportive care only, had a median survival of 3-4 months. Patients with synchronous metastases and primary palliative chemotherapy had a median survival of 15 months compared to 18 months with metachronous metastases, p < 0.001. Neither groups improved survival across the study period. The 5-year survival for the 342/1,843 (18.6%) patients with synchronous metastases and curative intent treatment was 41.8% compared to 43.6% for the corresponding 422/1,117 (37.8%) patients with metachronous metastases, log-rank p = 0.281. Survival significantly improved for both these groups across the study period.</p><p><strong>Interpretation: </strong>A key determinant of better survival for patients with metachronous CRC metastases compared to synchronous was a significantly higher proportion treated with curative intent. Survival for both patients with synchronous and metachronous metastases taken collectively steadily improved during the study period, driven by the increased proportions and improved survival for the subsets with curative intent treatment.</p>","PeriodicalId":7110,"journal":{"name":"Acta Oncologica","volume":"64 ","pages":"797-806"},"PeriodicalIF":2.7000,"publicationDate":"2025-06-18","publicationTypes":"Journal Article","fieldsOfStudy":null,"isOpenAccess":false,"openAccessPdf":"https://www.ncbi.nlm.nih.gov/pmc/articles/PMC12186439/pdf/","citationCount":"0","resultStr":null,"platform":"Semanticscholar","paperid":null,"PeriodicalName":"Acta Oncologica","FirstCategoryId":"3","ListUrlMain":"https://doi.org/10.2340/1651-226X.2025.42985","RegionNum":3,"RegionCategory":"医学","ArticlePicture":[],"TitleCN":null,"AbstractTextCN":null,"PMCID":null,"EPubDate":"","PubModel":"","JCR":"Q3","JCRName":"ONCOLOGY","Score":null,"Total":0}
引用次数: 0

Abstract

Background: Reliable and modern information on primary evaluation, treatment, and long-term survival rates for patients with colorectal cancer (CRC) metastases are needed. Whether synchronous CRC metastases carry a worse prognosis than metachronous is still debated.

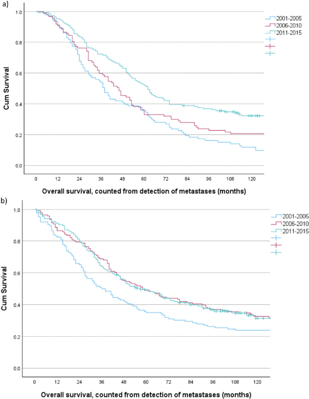
Methods: Population-based study on 7,950 CRC patients from Central Norway, 2001- 2015. Of these, 1,843 (23.2%) had synchronous metastases and of radically operated patients with stage I-III disease 1,117 (20.1%) developed metachronous metastases. The treatment strategies and outcomes for patients with metastases were analyzed, stratified by three consecutive 5-year periods.

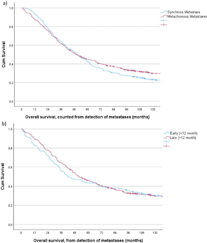
Results: Median and 3-year survival for patients with synchronous metastases were 11 months and 16.4%, compared to 17 months and 29.4% with metachronous metastases, p < 0.001 and p < 0.001, respectively. The subsets receiving supportive care only, had a median survival of 3-4 months. Patients with synchronous metastases and primary palliative chemotherapy had a median survival of 15 months compared to 18 months with metachronous metastases, p < 0.001. Neither groups improved survival across the study period. The 5-year survival for the 342/1,843 (18.6%) patients with synchronous metastases and curative intent treatment was 41.8% compared to 43.6% for the corresponding 422/1,117 (37.8%) patients with metachronous metastases, log-rank p = 0.281. Survival significantly improved for both these groups across the study period.

Interpretation: A key determinant of better survival for patients with metachronous CRC metastases compared to synchronous was a significantly higher proportion treated with curative intent. Survival for both patients with synchronous and metachronous metastases taken collectively steadily improved during the study period, driven by the increased proportions and improved survival for the subsets with curative intent treatment.

Abstract Image

Abstract Image

Abstract Image

结直肠癌的同步转移。异时性转移患者的治疗和长期生存:2001-2015年挪威中部一项基于人群的研究
背景:需要有关结直肠癌(CRC)转移患者的初步评估、治疗和长期生存率的可靠和现代信息。CRC同步转移是否比异时转移预后更差仍有争议。方法:对2001- 2015年挪威中部7950例结直肠癌患者进行基于人群的研究。其中,1843例(23.2%)发生同步转移,在I-III期患者中,1117例(20.1%)发生异时转移。对转移患者的治疗策略和结果进行分析,并按连续3个5年期进行分层。结果:同步转移患者的中位生存期和3年生存期分别为11个月和16.4%,而异时转移患者的中位生存期分别为17个月和29.4%,p < 0.001和p < 0.001。仅接受支持性治疗的亚组中位生存期为3-4个月。同步转移和初级姑息性化疗患者的中位生存期为15个月,而异时转移患者的中位生存期为18个月,p < 0.001。在整个研究期间,两组患者的存活率都没有提高。342/ 1843例同步转移患者(18.6%)的5年生存率为41.8%,而相应的422/ 1117例异时转移患者(37.8%)的5年生存率为43.6%,log-rank p = 0.281。在整个研究期间,这两组患者的生存率都有显著提高。解释:与同步CRC转移患者相比,异时性转移患者生存率更高的一个关键决定因素是有治疗意图的患者比例明显更高。在研究期间,同步和异时转移患者的总体生存率稳步提高,这是由治疗意图治疗的亚群比例增加和生存率提高所驱动的。
本文章由计算机程序翻译,如有差异,请以英文原文为准。
求助全文
约1分钟内获得全文 求助全文
来源期刊
Acta Oncologica
Acta Oncologica 医学-肿瘤学
CiteScore
4.30
自引率
3.20%
发文量
301
审稿时长
3 months
期刊介绍: Acta Oncologica is a journal for the clinical oncologist and accepts articles within all fields of clinical cancer research. Articles on tumour pathology, experimental oncology, radiobiology, cancer epidemiology and medical radio physics are also welcome, especially if they have a clinical aim or interest. Scientific articles on cancer nursing and psychological or social aspects of cancer are also welcomed. Extensive material may be published as Supplements, for which special conditions apply.
×
引用
GB/T 7714-2015
复制
MLA
复制
APA
复制
导出至
BibTeX EndNote RefMan NoteFirst NoteExpress
×
提示
您的信息不完整,为了账户安全,请先补充。
现在去补充
×
提示
您因"违规操作"
具体请查看互助需知
我知道了
×
提示
确定
请完成安全验证×
copy
已复制链接
快去分享给好友吧!
我知道了
右上角分享
点击右上角分享
0
联系我们:info@booksci.cn Book学术提供免费学术资源搜索服务,方便国内外学者检索中英文文献。致力于提供最便捷和优质的服务体验。 Copyright © 2023 布克学术 All rights reserved.
京ICP备2023020795号-1
ghs 京公网安备 11010802042870号
Book学术文献互助
Book学术文献互助群
群 号:604180095
Book学术官方微信