Retrotransposition-competent L1s are increased in the genomes of individuals with amyotrophic lateral sclerosis.

IF 2.7 4区 医学 Q2 MEDICINE, RESEARCH & EXPERIMENTAL
Experimental Biology and Medicine Pub Date : 2025-06-03 eCollection Date: 2025-01-01 DOI:10.3389/ebm.2025.10575
Abigail L Pfaff, Sulev Kõks
{"title":"Retrotransposition-competent L1s are increased in the genomes of individuals with amyotrophic lateral sclerosis.","authors":"Abigail L Pfaff, Sulev Kõks","doi":"10.3389/ebm.2025.10575","DOIUrl":null,"url":null,"abstract":"<p><p>An individual's genetics contributes to their risk of developing amyotrophic lateral sclerosis (ALS); however, there is still a large proportion of the heritability of ALS to be understood. Part of this missing heritability may lie in complex variants, such as the long interspersed element 1 (L1) retrotransposon, which have yet to be evaluated. The majority of L1 insertions in the human genome are no longer able to retrotranspose, but to date 279 retrotransposition-competent (RC) L1s have been reported. Many RC-L1s are polymorphic for their presence/absence; therefore, each individual will have a different number and complement of RC-L1s. These elements have been hypothesized to be involved in disease processes by multiple mechanisms such as somatic mutation by retrotransposition, the triggering of neuroinflammation and DNA damage. We hypothesize that L1s may influence disease development either through their effects on endogenous genes or through the properties that enable them to retrotranspose. Whole genome sequencing data from the New York Genome Center ALS consortium were used to characterize L1 variation identifying 2,803 polymorphic L1 elements and association analysis was performed in European individuals (ALS/ALS with other neurological disorder (ALSND) n = 2,653, controls n = 320). There were no individual L1 elements associated with disease, but we did identify a significant increase in the number of RC-L1s in ALS/ALSND genomes (p = 0.01) and the presence of ≥46 RC-L1s showed the most significant association (OR = 1.09 (1.02-1.16), p = 0.01) with disease. Analysis of individual L1s and their association with age at onset and survival identified one L1 whose presence was significantly associated with a lower age at onset (52.7 years) compared to homozygous absent individuals (59.2 years) (padj = 0.009). Our study has identified novel genetic factors for both disease risk and age at onset in ALS providing further evidence for the role of L1 retrotransposons in neurodegenerative diseases.</p>","PeriodicalId":12163,"journal":{"name":"Experimental Biology and Medicine","volume":"250 ","pages":"10575"},"PeriodicalIF":2.7000,"publicationDate":"2025-06-03","publicationTypes":"Journal Article","fieldsOfStudy":null,"isOpenAccess":false,"openAccessPdf":"https://www.ncbi.nlm.nih.gov/pmc/articles/PMC12172249/pdf/","citationCount":"0","resultStr":null,"platform":"Semanticscholar","paperid":null,"PeriodicalName":"Experimental Biology and Medicine","FirstCategoryId":"3","ListUrlMain":"https://doi.org/10.3389/ebm.2025.10575","RegionNum":4,"RegionCategory":"医学","ArticlePicture":[],"TitleCN":null,"AbstractTextCN":null,"PMCID":null,"EPubDate":"2025/1/1 0:00:00","PubModel":"eCollection","JCR":"Q2","JCRName":"MEDICINE, RESEARCH & EXPERIMENTAL","Score":null,"Total":0}
引用次数: 0

Abstract

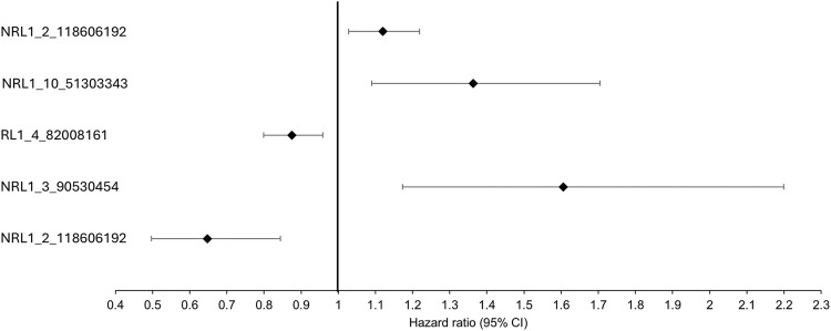
An individual's genetics contributes to their risk of developing amyotrophic lateral sclerosis (ALS); however, there is still a large proportion of the heritability of ALS to be understood. Part of this missing heritability may lie in complex variants, such as the long interspersed element 1 (L1) retrotransposon, which have yet to be evaluated. The majority of L1 insertions in the human genome are no longer able to retrotranspose, but to date 279 retrotransposition-competent (RC) L1s have been reported. Many RC-L1s are polymorphic for their presence/absence; therefore, each individual will have a different number and complement of RC-L1s. These elements have been hypothesized to be involved in disease processes by multiple mechanisms such as somatic mutation by retrotransposition, the triggering of neuroinflammation and DNA damage. We hypothesize that L1s may influence disease development either through their effects on endogenous genes or through the properties that enable them to retrotranspose. Whole genome sequencing data from the New York Genome Center ALS consortium were used to characterize L1 variation identifying 2,803 polymorphic L1 elements and association analysis was performed in European individuals (ALS/ALS with other neurological disorder (ALSND) n = 2,653, controls n = 320). There were no individual L1 elements associated with disease, but we did identify a significant increase in the number of RC-L1s in ALS/ALSND genomes (p = 0.01) and the presence of ≥46 RC-L1s showed the most significant association (OR = 1.09 (1.02-1.16), p = 0.01) with disease. Analysis of individual L1s and their association with age at onset and survival identified one L1 whose presence was significantly associated with a lower age at onset (52.7 years) compared to homozygous absent individuals (59.2 years) (padj = 0.009). Our study has identified novel genetic factors for both disease risk and age at onset in ALS providing further evidence for the role of L1 retrotransposons in neurodegenerative diseases.

Abstract Image

Abstract Image

Abstract Image

肌萎缩性侧索硬化症患者基因组中逆转录能力强的l1增加。
一个人的基因会影响他们患肌萎缩侧索硬化症(ALS)的风险;然而,肌萎缩侧索硬化症的遗传性仍有很大一部分有待了解。这种缺失的遗传性部分可能存在于复杂的变异中,如长穿插元件1 (L1)反转录转座子,这些变异尚未得到评估。人类基因组中的大多数L1插入不再能够逆转录,但迄今为止已报道了279个逆转录转位能力(RC) L1。许多rc - l1的存在/缺失是多态的;因此,每个个体都有不同数量和补体的rc - l1。这些因素被假设通过多种机制参与疾病过程,如由逆转录引起的体细胞突变、触发神经炎症和DNA损伤。我们假设L1s可能通过它们对内源性基因的作用或通过使它们能够逆转录的特性来影响疾病的发展。来自纽约基因组中心ALS联盟的全基因组测序数据被用于表征L1变异,鉴定出2803个多态性L1元件,并在欧洲个体(ALS/ALS合并其他神经系统疾病(ALSND) n = 2653,对照组n = 320)中进行关联分析。没有单独的L1元素与疾病相关,但我们确实发现了ALS/ALSND基因组中rc -L1数量的显著增加(p = 0.01),≥46个rc -L1的存在与疾病的相关性最显著(OR = 1.09 (1.02-1.16), p = 0.01)。分析个体L1及其与发病年龄和生存率的关系,发现与纯合子缺失个体(59.2岁)相比,存在L1的个体与较低的发病年龄(52.7岁)显著相关(padj = 0.009)。我们的研究发现了影响ALS疾病风险和发病年龄的新遗传因素,为L1反转录转座子在神经退行性疾病中的作用提供了进一步的证据。
本文章由计算机程序翻译,如有差异,请以英文原文为准。
求助全文
约1分钟内获得全文 求助全文
来源期刊
Experimental Biology and Medicine
Experimental Biology and Medicine 医学-医学:研究与实验
CiteScore
6.00
自引率
0.00%
发文量
157
审稿时长
1 months
期刊介绍: Experimental Biology and Medicine (EBM) is a global, peer-reviewed journal dedicated to the publication of multidisciplinary and interdisciplinary research in the biomedical sciences. EBM provides both research and review articles as well as meeting symposia and brief communications. Articles in EBM represent cutting edge research at the overlapping junctions of the biological, physical and engineering sciences that impact upon the health and welfare of the world''s population. Topics covered in EBM include: Anatomy/Pathology; Biochemistry and Molecular Biology; Bioimaging; Biomedical Engineering; Bionanoscience; Cell and Developmental Biology; Endocrinology and Nutrition; Environmental Health/Biomarkers/Precision Medicine; Genomics, Proteomics, and Bioinformatics; Immunology/Microbiology/Virology; Mechanisms of Aging; Neuroscience; Pharmacology and Toxicology; Physiology; Stem Cell Biology; Structural Biology; Systems Biology and Microphysiological Systems; and Translational Research.
×
引用
GB/T 7714-2015
复制
MLA
复制
APA
复制
导出至
BibTeX EndNote RefMan NoteFirst NoteExpress
×
提示
您的信息不完整,为了账户安全,请先补充。
现在去补充
×
提示
您因"违规操作"
具体请查看互助需知
我知道了
×
提示
确定
请完成安全验证×
copy
已复制链接
快去分享给好友吧!
我知道了
右上角分享
点击右上角分享
0
联系我们:info@booksci.cn Book学术提供免费学术资源搜索服务,方便国内外学者检索中英文文献。致力于提供最便捷和优质的服务体验。 Copyright © 2023 布克学术 All rights reserved.
京ICP备2023020795号-1
ghs 京公网安备 11010802042870号
Book学术文献互助
Book学术文献互助群
群 号:604180095
Book学术官方微信