Tacrolimus Trough Concentrations are Not Impacted by Epstein-Barr Virus Serology and Viral Load in Pediatric Liver Transplant Recipients.

IF 2.4 4区 医学 Q3 PHARMACOLOGY & PHARMACY
Amber M Te Lintelo, Lisa F van Wier, Hubert P J van der Doef, Jos G W Kosterink, René Scheenstra, Coretta C van Leer, Arno R Bourgonje, Daan J Touw, Paola Mian
{"title":"Tacrolimus Trough Concentrations are Not Impacted by Epstein-Barr Virus Serology and Viral Load in Pediatric Liver Transplant Recipients.","authors":"Amber M Te Lintelo, Lisa F van Wier, Hubert P J van der Doef, Jos G W Kosterink, René Scheenstra, Coretta C van Leer, Arno R Bourgonje, Daan J Touw, Paola Mian","doi":"10.1007/s13318-025-00954-3","DOIUrl":null,"url":null,"abstract":"<p><strong>Background and objectives: </strong>Epstein-Barr virus (EBV) is a common herpesvirus among pediatric liver transplant recipients, but it can have serious complications, such as post-transplant lymphoproliferative disease. EBV is hypothesized to influence tacrolimus concentrations by increasing inflammatory cytokines that regulate the expression of cytochrome-P-450 enzymes involved in tacrolimus pharmacokinetics. This study aims to examine the association between EBV serostatus and viral load, and tacrolimus trough concentrations corrected for the dose and recipient weight [weight-adjusted concentration-to-dose (C/D) ratios].</p><p><strong>Materials and methods: </strong>This retrospective study includes pediatric liver transplant recipients aged 0-18 years old, transplanted at the University Medical Center Groningen between January 2008 and September 2021. This study utilized two cohorts: a cross-sectional and a longitudinal study database.</p><p><strong>Results: </strong>The association between EBV serostatus and the tacrolimus pharmacokinetics was examined using 45 recipients from both cohorts. The effect of EBV viral load on tacrolimus pharmacokinetics was examined using the longitudinal study database, which included 25 EBV-positive recipients. No significant effect of EBV on the tacrolimus weight-adjusted C/D ratios was found, for either EBV serostatus (p = 0.85) or EBV viral load (p = 0.85).</p><p><strong>Conclusions: </strong>This study suggests that the standard protocol of tacrolimus dosing does not seem to require adjustments due to changes in EBV serostatus or viral load.</p>","PeriodicalId":11939,"journal":{"name":"European Journal of Drug Metabolism and Pharmacokinetics","volume":" ","pages":"371-381"},"PeriodicalIF":2.4000,"publicationDate":"2025-09-01","publicationTypes":"Journal Article","fieldsOfStudy":null,"isOpenAccess":false,"openAccessPdf":"https://www.ncbi.nlm.nih.gov/pmc/articles/PMC12394278/pdf/","citationCount":"0","resultStr":null,"platform":"Semanticscholar","paperid":null,"PeriodicalName":"European Journal of Drug Metabolism and Pharmacokinetics","FirstCategoryId":"3","ListUrlMain":"https://doi.org/10.1007/s13318-025-00954-3","RegionNum":4,"RegionCategory":"医学","ArticlePicture":[],"TitleCN":null,"AbstractTextCN":null,"PMCID":null,"EPubDate":"2025/6/17 0:00:00","PubModel":"Epub","JCR":"Q3","JCRName":"PHARMACOLOGY & PHARMACY","Score":null,"Total":0}
引用次数: 0

Abstract

Background and objectives: Epstein-Barr virus (EBV) is a common herpesvirus among pediatric liver transplant recipients, but it can have serious complications, such as post-transplant lymphoproliferative disease. EBV is hypothesized to influence tacrolimus concentrations by increasing inflammatory cytokines that regulate the expression of cytochrome-P-450 enzymes involved in tacrolimus pharmacokinetics. This study aims to examine the association between EBV serostatus and viral load, and tacrolimus trough concentrations corrected for the dose and recipient weight [weight-adjusted concentration-to-dose (C/D) ratios].

Materials and methods: This retrospective study includes pediatric liver transplant recipients aged 0-18 years old, transplanted at the University Medical Center Groningen between January 2008 and September 2021. This study utilized two cohorts: a cross-sectional and a longitudinal study database.

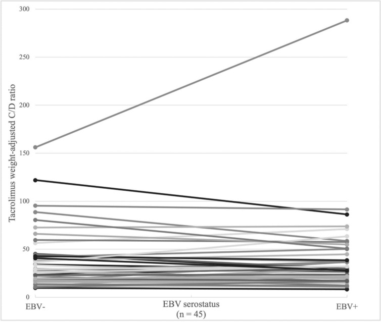
Results: The association between EBV serostatus and the tacrolimus pharmacokinetics was examined using 45 recipients from both cohorts. The effect of EBV viral load on tacrolimus pharmacokinetics was examined using the longitudinal study database, which included 25 EBV-positive recipients. No significant effect of EBV on the tacrolimus weight-adjusted C/D ratios was found, for either EBV serostatus (p = 0.85) or EBV viral load (p = 0.85).

Conclusions: This study suggests that the standard protocol of tacrolimus dosing does not seem to require adjustments due to changes in EBV serostatus or viral load.

Abstract Image

Abstract Image

Abstract Image

他克莫司谷浓度不受儿童肝移植受者eb病毒血清学和病毒载量的影响
背景和目的:eb病毒(EBV)是儿童肝移植受者中常见的疱疹病毒,但它可产生严重的并发症,如移植后淋巴细胞增生性疾病。假设EBV通过增加炎症细胞因子来影响他克莫司浓度,炎症细胞因子调节参与他克莫司药代动力学的细胞色素- p -450酶的表达。本研究旨在研究EBV血清状态和病毒载量之间的关系,以及校正剂量和受体体重的他克莫司谷浓度[体重调整浓度-剂量(C/D)比]。材料和方法:本回顾性研究包括2008年1月至2021年9月在格罗宁根大学医学中心移植的0-18岁的儿童肝移植受者。本研究采用了两个队列:横断面和纵向研究数据库。结果:对来自两个队列的45名接受者进行了EBV血清状态与他克莫司药代动力学之间的关系研究。采用纵向研究数据库检测EBV病毒载量对他克莫司药代动力学的影响,其中包括25名EBV阳性受体。EBV对他克莫司体重调整后的C/D比没有显著影响,无论是EBV血清状态(p = 0.85)还是EBV病毒载量(p = 0.85)。结论:本研究表明,他克莫司剂量的标准方案似乎不需要因EBV血清状态或病毒载量的变化而调整。
本文章由计算机程序翻译,如有差异,请以英文原文为准。
求助全文
约1分钟内获得全文 求助全文
来源期刊
CiteScore
3.70
自引率
0.00%
发文量
64
审稿时长
>12 weeks
期刊介绍: Hepatology International is a peer-reviewed journal featuring articles written by clinicians, clinical researchers and basic scientists is dedicated to research and patient care issues in hepatology. This journal focuses mainly on new and emerging diagnostic and treatment options, protocols and molecular and cellular basis of disease pathogenesis, new technologies, in liver and biliary sciences. Hepatology International publishes original research articles related to clinical care and basic research; review articles; consensus guidelines for diagnosis and treatment; invited editorials, and controversies in contemporary issues. The journal does not publish case reports.
×
引用
GB/T 7714-2015
复制
MLA
复制
APA
复制
导出至
BibTeX EndNote RefMan NoteFirst NoteExpress
×
提示
您的信息不完整,为了账户安全,请先补充。
现在去补充
×
提示
您因"违规操作"
具体请查看互助需知
我知道了
×
提示
确定
请完成安全验证×
copy
已复制链接
快去分享给好友吧!
我知道了
右上角分享
点击右上角分享
0
联系我们:info@booksci.cn Book学术提供免费学术资源搜索服务,方便国内外学者检索中英文文献。致力于提供最便捷和优质的服务体验。 Copyright © 2023 布克学术 All rights reserved.
京ICP备2023020795号-1
ghs 京公网安备 11010802042870号
Book学术文献互助
Book学术文献互助群
群 号:604180095
Book学术官方微信