Comparison of the oncological and functional outcomes among patients with high-risk upper tract urothelial cancer undergoing segmental ureterectomy based on tumour location

IF 1.9 Q3 UROLOGY & NEPHROLOGY
BJUI compass Pub Date : 2025-06-19 DOI:10.1002/bco2.70046
Maksym Pikul, Prokip Gordiychuk, Eduard Stakhovsky
{"title":"Comparison of the oncological and functional outcomes among patients with high-risk upper tract urothelial cancer undergoing segmental ureterectomy based on tumour location","authors":"Maksym Pikul,&nbsp;Prokip Gordiychuk,&nbsp;Eduard Stakhovsky","doi":"10.1002/bco2.70046","DOIUrl":null,"url":null,"abstract":"<div>\n \n \n <section>\n \n <h3> Introduction</h3>\n \n <p>Segmental ureterectomy (SU) represents a viable alternative to radical nephroureterectomy (RNU) for the management of distal ureteral tumours when technically feasible. However, SU of the proximal two-thirds of the ureter is associated with higher failure rates compared to distal ureteral tumours. This study aims to compare oncologic outcomes and renal function in patients undergoing SU for tumours located in the distal versus proximal ureter.</p>\n </section>\n \n <section>\n \n <h3> Methods</h3>\n \n <p>Prospective, non-randomized cohort study, which included adult patients with high-risk cT2–3 cN0–1 M0 ureteral tumours deemed suitable for SU, with preoperative affected kidney function &gt; 15 ml/min. Patients were treated at a reference centre between March 2019 and March 2023. Patients were divided into two cohorts based on the primary tumour location: distal or proximal two-thirds of the ureter. All patients received neoadjuvant chemotherapy (Gem-Cis) and cases that underwent RNU were excluded from the study. Kaplan–Meier analysis was employed to evaluate local- recurrence-free survival (L-RFS), progression-free survival (PFS) and overall survival (OS).</p>\n </section>\n \n <section>\n \n <h3> Results</h3>\n \n <p>A total of 41 patients underwent SU (21/20 proximal/distal location). The cohorts were matched by age, sex, BMI, ECOG status, T-stage, pN status, tumour length, preoperative eGFR, primary pathology and positive cytology (p &gt; 0.05). Following segmental ureterectomy, all patients with distal ureteral tumours underwent neostomy reconstruction. In the proximal ureter group, reconstruction techniques included end-to-end anastomosis in 9 (43%), Andersen-Heinz plasty in 8 (38%) and ureter-ileum interposition in 4 cases (19%).</p>\n \n <p>No statistically significant differences were observed between the two cohorts in terms of surgery duration, average blood loss, Grade ≥3 complications, length of postoperative stay or 30-day readmission rate (p &gt; 0.05). Postoperative eGFR was similar between the groups (60.4 ± 8.5 vs. 59.4 ± 11.4; p = 0.81). Furthermore, no significant differences were found between patients with proximal versus distal ureteral tumours in terms of 2-year L-RFS (72% vs. 85%; p = 0.29), PFS (85% vs. 77%; p = 0.69) or OS (65% vs. 77%; p = 0.43).</p>\n </section>\n \n <section>\n \n <h3> Conclusion</h3>\n \n <p>The current study demonstrates that segmental ureterectomy provides comparable oncologic outcomes and renal function preservation for both proximal and distal ureteral cancer. SU can be considered a safe and effective kidney-sparing alternative to radical nephroureterectomy in high-risk cases, regardless of tumour location.</p>\n </section>\n </div>","PeriodicalId":72420,"journal":{"name":"BJUI compass","volume":"6 6","pages":""},"PeriodicalIF":1.9000,"publicationDate":"2025-06-19","publicationTypes":"Journal Article","fieldsOfStudy":null,"isOpenAccess":false,"openAccessPdf":"https://onlinelibrary.wiley.com/doi/epdf/10.1002/bco2.70046","citationCount":"0","resultStr":null,"platform":"Semanticscholar","paperid":null,"PeriodicalName":"BJUI compass","FirstCategoryId":"1085","ListUrlMain":"https://bjui-journals.onlinelibrary.wiley.com/doi/10.1002/bco2.70046","RegionNum":0,"RegionCategory":null,"ArticlePicture":[],"TitleCN":null,"AbstractTextCN":null,"PMCID":null,"EPubDate":"","PubModel":"","JCR":"Q3","JCRName":"UROLOGY & NEPHROLOGY","Score":null,"Total":0}
引用次数: 0

Abstract

Introduction

Segmental ureterectomy (SU) represents a viable alternative to radical nephroureterectomy (RNU) for the management of distal ureteral tumours when technically feasible. However, SU of the proximal two-thirds of the ureter is associated with higher failure rates compared to distal ureteral tumours. This study aims to compare oncologic outcomes and renal function in patients undergoing SU for tumours located in the distal versus proximal ureter.

Methods

Prospective, non-randomized cohort study, which included adult patients with high-risk cT2–3 cN0–1 M0 ureteral tumours deemed suitable for SU, with preoperative affected kidney function > 15 ml/min. Patients were treated at a reference centre between March 2019 and March 2023. Patients were divided into two cohorts based on the primary tumour location: distal or proximal two-thirds of the ureter. All patients received neoadjuvant chemotherapy (Gem-Cis) and cases that underwent RNU were excluded from the study. Kaplan–Meier analysis was employed to evaluate local- recurrence-free survival (L-RFS), progression-free survival (PFS) and overall survival (OS).

Results

A total of 41 patients underwent SU (21/20 proximal/distal location). The cohorts were matched by age, sex, BMI, ECOG status, T-stage, pN status, tumour length, preoperative eGFR, primary pathology and positive cytology (p > 0.05). Following segmental ureterectomy, all patients with distal ureteral tumours underwent neostomy reconstruction. In the proximal ureter group, reconstruction techniques included end-to-end anastomosis in 9 (43%), Andersen-Heinz plasty in 8 (38%) and ureter-ileum interposition in 4 cases (19%).

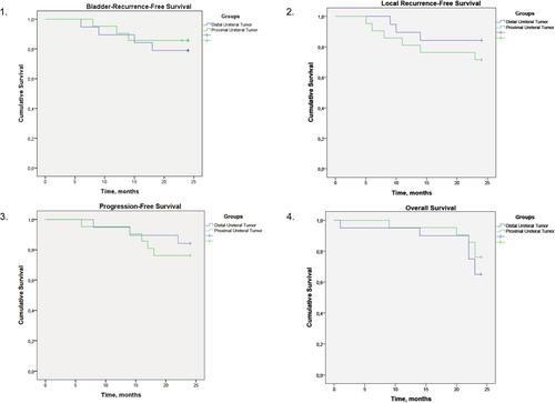
No statistically significant differences were observed between the two cohorts in terms of surgery duration, average blood loss, Grade ≥3 complications, length of postoperative stay or 30-day readmission rate (p > 0.05). Postoperative eGFR was similar between the groups (60.4 ± 8.5 vs. 59.4 ± 11.4; p = 0.81). Furthermore, no significant differences were found between patients with proximal versus distal ureteral tumours in terms of 2-year L-RFS (72% vs. 85%; p = 0.29), PFS (85% vs. 77%; p = 0.69) or OS (65% vs. 77%; p = 0.43).

Conclusion

The current study demonstrates that segmental ureterectomy provides comparable oncologic outcomes and renal function preservation for both proximal and distal ureteral cancer. SU can be considered a safe and effective kidney-sparing alternative to radical nephroureterectomy in high-risk cases, regardless of tumour location.

Abstract Image

Abstract Image

Abstract Image

基于肿瘤位置的高危上尿路上皮癌行输尿管节段性切除术患者的肿瘤和功能预后比较
在技术上可行的情况下,节段输尿管切除术(SU)是根治性肾输尿管切除术(RNU)治疗远端输尿管肿瘤的可行选择。然而,与远端输尿管肿瘤相比,近三分之二输尿管肿瘤的失败率更高。本研究的目的是比较输尿管远端和近端肿瘤患者接受肾移植的肿瘤预后和肾功能。方法前瞻性、非随机队列研究,纳入被认为适合SU的高危cT2-3 cN0-1 M0输尿管肿瘤的成年患者,术前肾功能受影响;15毫升/分钟。患者在2019年3月至2023年3月期间在参考中心接受治疗。患者根据肿瘤原发位置分为两组:输尿管远端或近端三分之二。所有接受新辅助化疗(Gem-Cis)的患者和接受RNU的病例被排除在研究之外。Kaplan-Meier分析评估局部无复发生存期(L-RFS)、无进展生存期(PFS)和总生存期(OS)。结果共41例患者接受了SU手术(21/20位近端/远端)。按年龄、性别、BMI、ECOG状态、t分期、pN状态、肿瘤长度、术前eGFR、原发病理和阳性细胞学进行匹配(p > 0.05)。输尿管段切除术后,所有输尿管远端肿瘤患者均行肿瘤造口重建。输尿管近端吻合术9例(43%),Andersen-Heinz成形术8例(38%),输尿管-回肠间置术4例(19%)。两组患者手术时间、平均出血量、3级以上并发症、术后住院时间、30天再入院率比较,差异均无统计学意义(p > 0.05)。两组术后eGFR相似(60.4±8.5 vs 59.4±11.4;p = 0.81)。此外,输尿管近端肿瘤患者与远端肿瘤患者在2年L-RFS方面没有显著差异(72% vs 85%;p = 0.29), PFS (85% vs. 77%;p = 0.69)或OS (65% vs. 77%;p = 0.43)。结论目前的研究表明输尿管节段性切除术对输尿管近端癌和远端癌的肿瘤预后和肾功能保护具有可比性。无论肿瘤位置如何,在高危病例中,SU可以被认为是一种安全有效的肾保留替代根治性肾输尿管切除术。
本文章由计算机程序翻译,如有差异,请以英文原文为准。
求助全文
约1分钟内获得全文 求助全文
来源期刊
CiteScore
2.30
自引率
0.00%
发文量
0
审稿时长
12 weeks
×
引用
GB/T 7714-2015
复制
MLA
复制
APA
复制
导出至
BibTeX EndNote RefMan NoteFirst NoteExpress
×
提示
您的信息不完整,为了账户安全,请先补充。
现在去补充
×
提示
您因"违规操作"
具体请查看互助需知
我知道了
×
提示
确定
请完成安全验证×
copy
已复制链接
快去分享给好友吧!
我知道了
右上角分享
点击右上角分享
0
联系我们:info@booksci.cn Book学术提供免费学术资源搜索服务,方便国内外学者检索中英文文献。致力于提供最便捷和优质的服务体验。 Copyright © 2023 布克学术 All rights reserved.
京ICP备2023020795号-1
ghs 京公网安备 11010802042870号
Book学术文献互助
Book学术文献互助群
群 号:604180095
Book学术官方微信