Khovanov Laplacian and Khovanov Dirac for knots and links.

IF 2.6 Q1 MATHEMATICS, INTERDISCIPLINARY APPLICATIONS
Journal of Physics Complexity Pub Date : 2025-06-01 Epub Date: 2025-06-12 DOI:10.1088/2632-072X/adde9f
Benjamin Jones, Guo-Wei Wei
{"title":"Khovanov Laplacian and Khovanov Dirac for knots and links.","authors":"Benjamin Jones, Guo-Wei Wei","doi":"10.1088/2632-072X/adde9f","DOIUrl":null,"url":null,"abstract":"<p><p>Khovanov homology has been the subject of much study in knot theory and low dimensional topology since 2000. This work introduces a Khovanov Laplacian and a Khovanov Dirac to study knot and link diagrams. The harmonic spectrum of the Khovanov Laplacian or the Khovanov Dirac retains the topological invariants of Khovanov homology, while their non-harmonic spectra reveal additional information that is distinct from Khovanov homology.</p>","PeriodicalId":53211,"journal":{"name":"Journal of Physics Complexity","volume":"6 2","pages":"025014"},"PeriodicalIF":2.6000,"publicationDate":"2025-06-01","publicationTypes":"Journal Article","fieldsOfStudy":null,"isOpenAccess":false,"openAccessPdf":"https://www.ncbi.nlm.nih.gov/pmc/articles/PMC12163897/pdf/","citationCount":"0","resultStr":null,"platform":"Semanticscholar","paperid":null,"PeriodicalName":"Journal of Physics Complexity","FirstCategoryId":"1085","ListUrlMain":"https://doi.org/10.1088/2632-072X/adde9f","RegionNum":0,"RegionCategory":null,"ArticlePicture":[],"TitleCN":null,"AbstractTextCN":null,"PMCID":null,"EPubDate":"2025/6/12 0:00:00","PubModel":"Epub","JCR":"Q1","JCRName":"MATHEMATICS, INTERDISCIPLINARY APPLICATIONS","Score":null,"Total":0}
引用次数: 0

Abstract

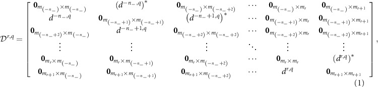
Khovanov homology has been the subject of much study in knot theory and low dimensional topology since 2000. This work introduces a Khovanov Laplacian and a Khovanov Dirac to study knot and link diagrams. The harmonic spectrum of the Khovanov Laplacian or the Khovanov Dirac retains the topological invariants of Khovanov homology, while their non-harmonic spectra reveal additional information that is distinct from Khovanov homology.

Abstract Image

Abstract Image

Abstract Image

Khovanov Laplacian和Khovanov Dirac。
自2000年以来,Khovanov同调一直是结理论和低维拓扑学研究的主题。本文介绍了一个Khovanov Laplacian和一个Khovanov Dirac来研究结图和连接图。Khovanov拉普拉斯算子和Khovanov狄拉克算子的调和谱保留了Khovanov同调的拓扑不变量,而它们的非调和谱揭示了与Khovanov同调不同的附加信息。
本文章由计算机程序翻译,如有差异,请以英文原文为准。
求助全文
约1分钟内获得全文 求助全文
来源期刊
Journal of Physics Complexity
Journal of Physics Complexity Computer Science-Information Systems
CiteScore
4.30
自引率
11.10%
发文量
45
审稿时长
14 weeks
×
引用
GB/T 7714-2015
复制
MLA
复制
APA
复制
导出至
BibTeX EndNote RefMan NoteFirst NoteExpress
×
提示
您的信息不完整,为了账户安全,请先补充。
现在去补充
×
提示
您因"违规操作"
具体请查看互助需知
我知道了
×
提示
确定
请完成安全验证×
copy
已复制链接
快去分享给好友吧!
我知道了
右上角分享
点击右上角分享
0
联系我们:info@booksci.cn Book学术提供免费学术资源搜索服务,方便国内外学者检索中英文文献。致力于提供最便捷和优质的服务体验。 Copyright © 2023 布克学术 All rights reserved.
京ICP备2023020795号-1
ghs 京公网安备 11010802042870号
Book学术文献互助
Book学术文献互助群
群 号:604180095
Book学术官方微信