Increasing credibility in government assignments: an example from Sweden of stakeholder involvement by using Concept Mapping.

IF 1.6 Q4 HEALTH CARE SCIENCES & SERVICES
Frida Smith, Katarina Fredriksson, Katrín Ásta Gunnarsdóttir, Mikael Holtenman, Christina Carlsson
{"title":"Increasing credibility in government assignments: an example from Sweden of stakeholder involvement by using Concept Mapping.","authors":"Frida Smith, Katarina Fredriksson, Katrín Ásta Gunnarsdóttir, Mikael Holtenman, Christina Carlsson","doi":"10.1136/bmjoq-2024-003021","DOIUrl":null,"url":null,"abstract":"<p><strong>Background: </strong>The incidence of people diagnosed with cancer is increasing worldwide, in Sweden with approximately 65 000 new cases yearly. To enhance conditions for a continued good life, high-quality, accessible and equal cancer rehabilitation is required. In 2020 the National Board of Health and Welfare (NBHW) received a government assignment to investigate the conditions for the offer of cancer rehabilitation. This paper aims to highlight how the Concept Mapping (CM) methodology was strategically used by the NBHW for mutual learning to raise different perspectives and 'voices' of cancer rehabilitation.</p><p><strong>Methods: </strong>The stepwise, mixed-method CM was used. A broad selection of relevant stakeholders was invited to complete the prompt: a good and equal cancer rehabilitation requires… the stakeholders were involved in brainstorming, sorting and grading data. The research group performed multi-dimensional scaling and hierarchical cluster analysis to provide a visual presentation of the results. Two digital seminars were held: one where stakeholders did online sorting and grading of data and one where results were presented and discussed.</p><p><strong>Results: </strong>118 respondents from four stakeholder groups provided 489 original ideas. Six clusters from 67 unique ideas constituted the concept map, and a go-zone showing the 12 ideas rated as most important and feasible was obtained.</p><p><strong>Conclusion: </strong>For the first time, the NBHW has used CM in investigative work to produce development proposals and improvements that the government can use as a basis for political decisions. The method showed great potential, by allowing for stakeholder involvement as co-creators in all steps, high participation and possible direct utilisation of results. A clear learning perspective was obtained, both from the NBHW and the involved stakeholders; hence, the method can be used in further assignments where improvement perspectives are requested.</p>","PeriodicalId":9052,"journal":{"name":"BMJ Open Quality","volume":"14 2","pages":""},"PeriodicalIF":1.6000,"publicationDate":"2025-06-12","publicationTypes":"Journal Article","fieldsOfStudy":null,"isOpenAccess":false,"openAccessPdf":"https://www.ncbi.nlm.nih.gov/pmc/articles/PMC12164613/pdf/","citationCount":"0","resultStr":null,"platform":"Semanticscholar","paperid":null,"PeriodicalName":"BMJ Open Quality","FirstCategoryId":"1085","ListUrlMain":"https://doi.org/10.1136/bmjoq-2024-003021","RegionNum":0,"RegionCategory":null,"ArticlePicture":[],"TitleCN":null,"AbstractTextCN":null,"PMCID":null,"EPubDate":"","PubModel":"","JCR":"Q4","JCRName":"HEALTH CARE SCIENCES & SERVICES","Score":null,"Total":0}
引用次数: 0

Abstract

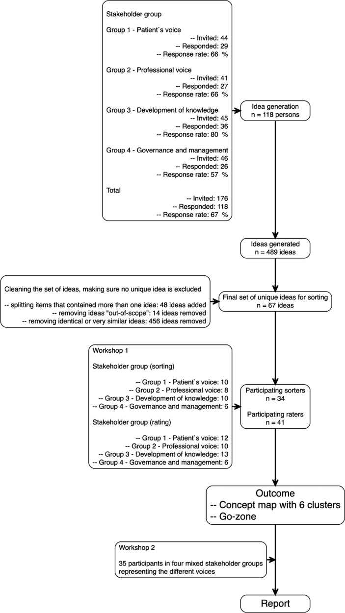
Background: The incidence of people diagnosed with cancer is increasing worldwide, in Sweden with approximately 65 000 new cases yearly. To enhance conditions for a continued good life, high-quality, accessible and equal cancer rehabilitation is required. In 2020 the National Board of Health and Welfare (NBHW) received a government assignment to investigate the conditions for the offer of cancer rehabilitation. This paper aims to highlight how the Concept Mapping (CM) methodology was strategically used by the NBHW for mutual learning to raise different perspectives and 'voices' of cancer rehabilitation.

Methods: The stepwise, mixed-method CM was used. A broad selection of relevant stakeholders was invited to complete the prompt: a good and equal cancer rehabilitation requires… the stakeholders were involved in brainstorming, sorting and grading data. The research group performed multi-dimensional scaling and hierarchical cluster analysis to provide a visual presentation of the results. Two digital seminars were held: one where stakeholders did online sorting and grading of data and one where results were presented and discussed.

Results: 118 respondents from four stakeholder groups provided 489 original ideas. Six clusters from 67 unique ideas constituted the concept map, and a go-zone showing the 12 ideas rated as most important and feasible was obtained.

Conclusion: For the first time, the NBHW has used CM in investigative work to produce development proposals and improvements that the government can use as a basis for political decisions. The method showed great potential, by allowing for stakeholder involvement as co-creators in all steps, high participation and possible direct utilisation of results. A clear learning perspective was obtained, both from the NBHW and the involved stakeholders; hence, the method can be used in further assignments where improvement perspectives are requested.

Abstract Image

Abstract Image

Abstract Image

提高政府任务的可信度:瑞典利益相关者通过使用概念图参与的例子。
背景:全世界被诊断为癌症的人的发病率正在增加,在瑞典每年大约有65000个新病例。为了改善持续良好生活的条件,需要高质量、可获得和平等的癌症康复。2020年,国家卫生和福利委员会(NBHW)接受了一项政府任务,调查提供癌症康复的条件。本文旨在强调NBHW如何策略性地使用概念映射(CM)方法进行相互学习,以提高癌症康复的不同观点和“声音”。方法:采用逐步混合方法进行CM测定。广泛挑选的相关利益相关者被邀请完成提示:良好和平等的癌症康复需要……利益相关者参与集思广益,整理和分级数据。研究小组进行了多维缩放和分层聚类分析,以提供结果的可视化呈现。举办了两次数字研讨会:一次是利益攸关方对数据进行在线分类和分级,另一次是介绍和讨论结果。结果:来自四个利益相关者群体的118名受访者提供了489个原创想法。由67个独特的想法组成的6个集群构成了概念图,并获得了一个go-zone,其中显示了被评为最重要和最可行的12个想法。结论:NBHW首次在调查工作中使用CM来提出发展建议和改进措施,政府可以将其作为政治决策的基础。该方法显示出巨大的潜力,允许利益相关者作为共同创造者参与所有步骤,高度参与和可能的直接利用结果。从NBHW和相关利益相关者那里获得了清晰的学习视角;因此,该方法可用于需要改进透视图的进一步作业。
本文章由计算机程序翻译,如有差异,请以英文原文为准。
求助全文
约1分钟内获得全文 求助全文
来源期刊
BMJ Open Quality
BMJ Open Quality Nursing-Leadership and Management
CiteScore
2.20
自引率
0.00%
发文量
226
审稿时长
20 weeks
×
引用
GB/T 7714-2015
复制
MLA
复制
APA
复制
导出至
BibTeX EndNote RefMan NoteFirst NoteExpress
×
提示
您的信息不完整,为了账户安全,请先补充。
现在去补充
×
提示
您因"违规操作"
具体请查看互助需知
我知道了
×
提示
确定
请完成安全验证×
copy
已复制链接
快去分享给好友吧!
我知道了
右上角分享
点击右上角分享
0
联系我们:info@booksci.cn Book学术提供免费学术资源搜索服务,方便国内外学者检索中英文文献。致力于提供最便捷和优质的服务体验。 Copyright © 2023 布克学术 All rights reserved.
京ICP备2023020795号-1
ghs 京公网安备 11010802042870号
Book学术文献互助
Book学术文献互助群
群 号:604180095
Book学术官方微信