Alcohol consumption may not be a risk factor for sarcopenia in the older adults.

IF 2.7 4区 医学 Q2 MEDICINE, RESEARCH & EXPERIMENTAL
Experimental Biology and Medicine Pub Date : 2025-05-29 eCollection Date: 2025-01-01 DOI:10.3389/ebm.2025.10520
En-Hui Mao, Yun-Ling Bu, Qiao-Ling Liu, Jin-Shui Xu, Xiang Lu, Xi-Lan Yang, Wei Gao, Zheng-Kai Shen
{"title":"Alcohol consumption may not be a risk factor for sarcopenia in the older adults.","authors":"En-Hui Mao, Yun-Ling Bu, Qiao-Ling Liu, Jin-Shui Xu, Xiang Lu, Xi-Lan Yang, Wei Gao, Zheng-Kai Shen","doi":"10.3389/ebm.2025.10520","DOIUrl":null,"url":null,"abstract":"<p><p>The relationship between drinking and sarcopenia remains controversial. The aim of the present study was to investigate the association of alcohol drinking with sarcopenia in the older adults. A prospective study with 5244 Chinese community-dwelling older adults aged ≥65 years was performed. Sarcopenia was assessed by appendicular skeletal muscle mass index, grip strength, and gait speed. A quantitative questionnaire was used to obtain the information of alcohol drinking. After 4-year follow-up, our study showed that drinkers had lower incidence of sarcopenia than those non-drinkers (19.4% vs. 30.4%, <i>P</i> < 0.001 in males and 9.5% vs. 20.4%, <i>P</i> = 0.004 in females, respectively). Moreover, male drinkers had higher levels of muscle mass [median (IQR): 7.3 (6.7-7.9) kg/m<sup>2</sup> vs. 7.1 (6.5-7.7) kg/m<sup>2</sup>, <i>P</i> < 0.001] grip strength [median (IQR): 31.1 (26.5-35.0) kg vs. 29.6 (24.8-38.8) kg, <i>P</i> < 0.001], and gait speed [median (IQR): 1.08 (0.98-1.17) m/s vs. 1.05 (0.94-1.15) m/s, <i>P</i> < 0.001] than those non-drinkers, while female drinkers had higher gait speed [median (IQR): 1.02 (0.94-1.11) m/s vs. 0.99 (0.89-1.09) m/s, <i>P</i> = 0.031] than those non-drinkers. Multivariate logistic regression showed that in older adults younger than 85 years, both interim drinking (RR = 0.60; 95%CI = 0.39-0.93; <i>P</i> = 0.021 for males; RR = 0.36; 95%CI = 0.13-0.90; <i>P</i> = 0.035 for females) and daily drinking (RR = 0.78; 95%CI = 0.61-0.99; <i>P</i> = 0.045 for males; RR = 0.34; 95%CI = 0.12-0.96; <i>P</i> = 0.041 for females) were correlated with decreased risk of sarcopenia even after adjustment for confounding factors. However, our dose-response analysis did not show any significant relationship between daily alcohol intake and the risk of sarcopenia as well as the components of sarcopenia. In conclusion, our results indicated that alcohol drinking may not be a risk factor for sarcopenia in the older adults. Further research will help to understand the underlying mechanism of the observed causal relationship.</p>","PeriodicalId":12163,"journal":{"name":"Experimental Biology and Medicine","volume":"250 ","pages":"10520"},"PeriodicalIF":2.7000,"publicationDate":"2025-05-29","publicationTypes":"Journal Article","fieldsOfStudy":null,"isOpenAccess":false,"openAccessPdf":"https://www.ncbi.nlm.nih.gov/pmc/articles/PMC12160937/pdf/","citationCount":"0","resultStr":null,"platform":"Semanticscholar","paperid":null,"PeriodicalName":"Experimental Biology and Medicine","FirstCategoryId":"3","ListUrlMain":"https://doi.org/10.3389/ebm.2025.10520","RegionNum":4,"RegionCategory":"医学","ArticlePicture":[],"TitleCN":null,"AbstractTextCN":null,"PMCID":null,"EPubDate":"2025/1/1 0:00:00","PubModel":"eCollection","JCR":"Q2","JCRName":"MEDICINE, RESEARCH & EXPERIMENTAL","Score":null,"Total":0}
引用次数: 0

Abstract

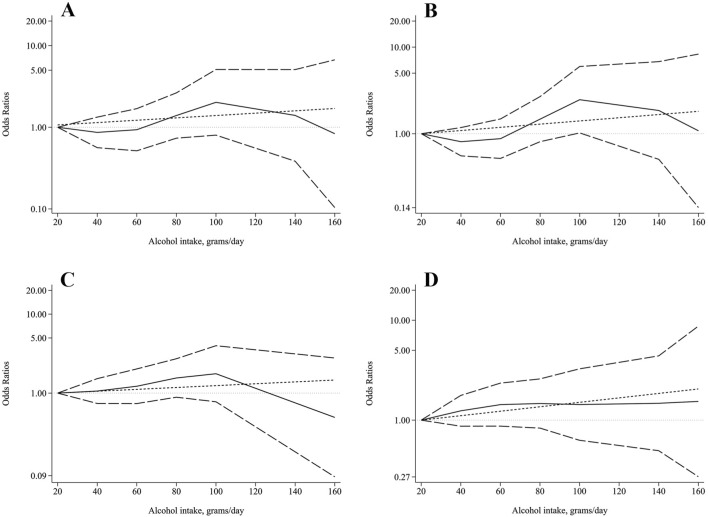
The relationship between drinking and sarcopenia remains controversial. The aim of the present study was to investigate the association of alcohol drinking with sarcopenia in the older adults. A prospective study with 5244 Chinese community-dwelling older adults aged ≥65 years was performed. Sarcopenia was assessed by appendicular skeletal muscle mass index, grip strength, and gait speed. A quantitative questionnaire was used to obtain the information of alcohol drinking. After 4-year follow-up, our study showed that drinkers had lower incidence of sarcopenia than those non-drinkers (19.4% vs. 30.4%, P < 0.001 in males and 9.5% vs. 20.4%, P = 0.004 in females, respectively). Moreover, male drinkers had higher levels of muscle mass [median (IQR): 7.3 (6.7-7.9) kg/m2 vs. 7.1 (6.5-7.7) kg/m2, P < 0.001] grip strength [median (IQR): 31.1 (26.5-35.0) kg vs. 29.6 (24.8-38.8) kg, P < 0.001], and gait speed [median (IQR): 1.08 (0.98-1.17) m/s vs. 1.05 (0.94-1.15) m/s, P < 0.001] than those non-drinkers, while female drinkers had higher gait speed [median (IQR): 1.02 (0.94-1.11) m/s vs. 0.99 (0.89-1.09) m/s, P = 0.031] than those non-drinkers. Multivariate logistic regression showed that in older adults younger than 85 years, both interim drinking (RR = 0.60; 95%CI = 0.39-0.93; P = 0.021 for males; RR = 0.36; 95%CI = 0.13-0.90; P = 0.035 for females) and daily drinking (RR = 0.78; 95%CI = 0.61-0.99; P = 0.045 for males; RR = 0.34; 95%CI = 0.12-0.96; P = 0.041 for females) were correlated with decreased risk of sarcopenia even after adjustment for confounding factors. However, our dose-response analysis did not show any significant relationship between daily alcohol intake and the risk of sarcopenia as well as the components of sarcopenia. In conclusion, our results indicated that alcohol drinking may not be a risk factor for sarcopenia in the older adults. Further research will help to understand the underlying mechanism of the observed causal relationship.

Abstract Image

Abstract Image

饮酒可能不是老年人肌肉减少症的危险因素。
饮酒和肌肉减少症之间的关系仍然存在争议。本研究的目的是调查老年人饮酒与肌肉减少症的关系。对5244名年龄≥65岁的中国社区老年人进行前瞻性研究。通过阑尾骨骼肌质量指数、握力和步态速度评估骨骼肌减少症。采用定量问卷调查的方式获取饮酒情况。经过4年的随访,我们的研究表明,饮酒者肌肉减少症的发生率低于不饮酒者(男性19.4%比30.4%,P < 0.001;女性9.5%比20.4%,P = 0.004)。此外,男性饮酒者的肌肉质量[中位数(IQR): 7.3 (6.7-7.9) kg/m2 vs. 7.1 (6.5-7.7) kg/m2, P < 0.001]、握力[中位数(IQR): 31.1 (26.5-35.0) kg vs. 29.6 (24.8-38.8) kg, P < 0.001]、步速[中位数(IQR): 1.08 (0.98-1.17) m/s vs. 1.05 (0.94-1.15) m/s, P < 0.001]高于不饮酒者,而女性饮酒者的步速[中位数(IQR): 1.02 (0.94-1.11) m/s vs. 0.99 (0.89-1.09) m/s, P = 0.031]高于不饮酒者。多因素logistic回归显示,在年龄小于85岁的老年人中,中期饮酒(RR = 0.60;95%ci = 0.39-0.93;男性P = 0.021;Rr = 0.36;95%ci = 0.13-0.90;女性P = 0.035)和每日饮酒(RR = 0.78;95%ci = 0.61-0.99;男性P = 0.045;Rr = 0.34;95%ci = 0.12-0.96;P = 0.041(女性)与降低肌肉减少症的风险相关,即使在调整混杂因素后也是如此。然而,我们的剂量反应分析并没有显示每日酒精摄入量与肌肉减少症的风险以及肌肉减少症的组成部分之间有任何显著的关系。总之,我们的结果表明,饮酒可能不是老年人肌肉减少症的危险因素。进一步的研究将有助于理解观察到的因果关系的潜在机制。
本文章由计算机程序翻译,如有差异,请以英文原文为准。
求助全文
约1分钟内获得全文 求助全文
来源期刊
Experimental Biology and Medicine
Experimental Biology and Medicine 医学-医学:研究与实验
CiteScore
6.00
自引率
0.00%
发文量
157
审稿时长
1 months
期刊介绍: Experimental Biology and Medicine (EBM) is a global, peer-reviewed journal dedicated to the publication of multidisciplinary and interdisciplinary research in the biomedical sciences. EBM provides both research and review articles as well as meeting symposia and brief communications. Articles in EBM represent cutting edge research at the overlapping junctions of the biological, physical and engineering sciences that impact upon the health and welfare of the world''s population. Topics covered in EBM include: Anatomy/Pathology; Biochemistry and Molecular Biology; Bioimaging; Biomedical Engineering; Bionanoscience; Cell and Developmental Biology; Endocrinology and Nutrition; Environmental Health/Biomarkers/Precision Medicine; Genomics, Proteomics, and Bioinformatics; Immunology/Microbiology/Virology; Mechanisms of Aging; Neuroscience; Pharmacology and Toxicology; Physiology; Stem Cell Biology; Structural Biology; Systems Biology and Microphysiological Systems; and Translational Research.
×
引用
GB/T 7714-2015
复制
MLA
复制
APA
复制
导出至
BibTeX EndNote RefMan NoteFirst NoteExpress
×
提示
您的信息不完整,为了账户安全,请先补充。
现在去补充
×
提示
您因"违规操作"
具体请查看互助需知
我知道了
×
提示
确定
请完成安全验证×
copy
已复制链接
快去分享给好友吧!
我知道了
右上角分享
点击右上角分享
0
联系我们:info@booksci.cn Book学术提供免费学术资源搜索服务,方便国内外学者检索中英文文献。致力于提供最便捷和优质的服务体验。 Copyright © 2023 布克学术 All rights reserved.
京ICP备2023020795号-1
ghs 京公网安备 11010802042870号
Book学术文献互助
Book学术文献互助群
群 号:604180095
Book学术官方微信