The development of functional opsonophagocytic assays to evaluate antibody responses to Klebsiella pneumoniae capsular antigens.

IF 3.1 2区 生物学 Q2 MICROBIOLOGY
mSphere Pub Date : 2025-07-29 Epub Date: 2025-06-12 DOI:10.1128/msphere.00176-25
Robert Lawrence, Emma Bownes, Marina Johnson, Heather Fox, Drew Huff, Ivan Olave, Anup Datta, David Goldblatt, Nathalie Karaky
{"title":"The development of functional opsonophagocytic assays to evaluate antibody responses to <i>Klebsiella pneumoniae</i> capsular antigens.","authors":"Robert Lawrence, Emma Bownes, Marina Johnson, Heather Fox, Drew Huff, Ivan Olave, Anup Datta, David Goldblatt, Nathalie Karaky","doi":"10.1128/msphere.00176-25","DOIUrl":null,"url":null,"abstract":"<p><p><i>Klebsiella pneumoniae</i> is one of the leading causes of nosocomial infections in low- and middle-income countries (LMICs), with a high mortality rate among the immunocompromised. With increasing antibiotic resistance, there is an urgent need for preventive measures such as vaccines, but none are currently licensed for use. In order to evaluate natural immunity and assess the immunogenicity of novel vaccines, we set out to develop functional assays that effectively measure the immune response of <i>K. pneumoniae</i> anti-capsular antibodies <i>in vitro</i>. Serotypes KL2, KL15, KL25, KL62, and KL102 were targeted as these are five of the most prevalent and invasive strains, particularly in LMIC settings, and are putative vaccine antigens. Opsonophagocytic killing assays (OPAs) for each serotype were developed and qualified. Serotype-specific IgG from vaccinated rabbit sera and human sera was used to demonstrate <i>in vitro</i> antibody and complement-mediated killing for all serotypes tested, whereas cross-reactivity between each serotype was minimal by competitive analyses. These assays act as a platform to allow further serological evaluation of natural immunity and the performance of <i>K. pneumoniae</i> vaccines. Understanding the function of vaccine-induced antibodies, as well as natural IgG induced by exposure to <i>K. pneumoniae</i>, will be crucial to determine correlates of protection and aid in the path to licensure of a <i>K. pneumoniae</i> vaccine.IMPORTANCE<i>K. pneumoniae</i> is a pathogen that causes serious infections such as pneumonia and sepsis globally. The increasing prevalence of antibiotic resistance in this pathogen has complicated treatment efforts, highlighting the need for preventive therapeutic strategies such as vaccination. However, no licensed vaccines are currently available. Standardized assays to assess the immunogenicity of new vaccines are crucial for vaccine development and evaluation of other therapeutics. Therefore, we have developed assays that can assess the functionality of antibodies, which can be used to evaluate the potential of novel <i>K. pneumoniae</i> conjugate vaccines, and inform which antibodies are most effective for preventing disease.</p>","PeriodicalId":19052,"journal":{"name":"mSphere","volume":" ","pages":"e0017625"},"PeriodicalIF":3.1000,"publicationDate":"2025-07-29","publicationTypes":"Journal Article","fieldsOfStudy":null,"isOpenAccess":false,"openAccessPdf":"https://www.ncbi.nlm.nih.gov/pmc/articles/PMC12306171/pdf/","citationCount":"0","resultStr":null,"platform":"Semanticscholar","paperid":null,"PeriodicalName":"mSphere","FirstCategoryId":"99","ListUrlMain":"https://doi.org/10.1128/msphere.00176-25","RegionNum":2,"RegionCategory":"生物学","ArticlePicture":[],"TitleCN":null,"AbstractTextCN":null,"PMCID":null,"EPubDate":"2025/6/12 0:00:00","PubModel":"Epub","JCR":"Q2","JCRName":"MICROBIOLOGY","Score":null,"Total":0}
引用次数: 0

Abstract

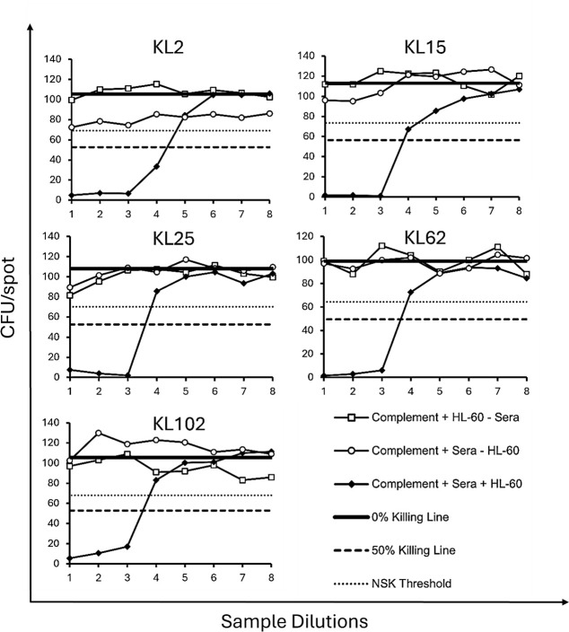
Klebsiella pneumoniae is one of the leading causes of nosocomial infections in low- and middle-income countries (LMICs), with a high mortality rate among the immunocompromised. With increasing antibiotic resistance, there is an urgent need for preventive measures such as vaccines, but none are currently licensed for use. In order to evaluate natural immunity and assess the immunogenicity of novel vaccines, we set out to develop functional assays that effectively measure the immune response of K. pneumoniae anti-capsular antibodies in vitro. Serotypes KL2, KL15, KL25, KL62, and KL102 were targeted as these are five of the most prevalent and invasive strains, particularly in LMIC settings, and are putative vaccine antigens. Opsonophagocytic killing assays (OPAs) for each serotype were developed and qualified. Serotype-specific IgG from vaccinated rabbit sera and human sera was used to demonstrate in vitro antibody and complement-mediated killing for all serotypes tested, whereas cross-reactivity between each serotype was minimal by competitive analyses. These assays act as a platform to allow further serological evaluation of natural immunity and the performance of K. pneumoniae vaccines. Understanding the function of vaccine-induced antibodies, as well as natural IgG induced by exposure to K. pneumoniae, will be crucial to determine correlates of protection and aid in the path to licensure of a K. pneumoniae vaccine.IMPORTANCEK. pneumoniae is a pathogen that causes serious infections such as pneumonia and sepsis globally. The increasing prevalence of antibiotic resistance in this pathogen has complicated treatment efforts, highlighting the need for preventive therapeutic strategies such as vaccination. However, no licensed vaccines are currently available. Standardized assays to assess the immunogenicity of new vaccines are crucial for vaccine development and evaluation of other therapeutics. Therefore, we have developed assays that can assess the functionality of antibodies, which can be used to evaluate the potential of novel K. pneumoniae conjugate vaccines, and inform which antibodies are most effective for preventing disease.

Abstract Image

Abstract Image

功能调理噬细胞测定法的发展以评估肺炎克雷伯菌荚膜抗原的抗体反应。
肺炎克雷伯菌是低收入和中等收入国家医院感染的主要原因之一,免疫功能低下者的死亡率很高。随着抗生素耐药性的增加,迫切需要采取疫苗等预防措施,但目前没有一种措施获得使用许可。为了评估自然免疫和评估新疫苗的免疫原性,我们开始开发功能检测,有效地测量体外肺炎克雷伯菌抗荚膜抗体的免疫反应。血清型KL2、KL15、KL25、KL62和KL102被定为目标,因为它们是五种最普遍和侵袭性的菌株,特别是在低mic环境中,并且是假定的疫苗抗原。开发并鉴定了每种血清型的调理噬细胞杀伤测定法(OPAs)。从接种疫苗的兔血清和人血清中提取血清型特异性IgG用于验证所有测试血清型的体外抗体和补体介导杀伤,而通过竞争性分析,每种血清型之间的交叉反应性最小。这些检测可作为进一步对天然免疫和肺炎克雷伯菌疫苗性能进行血清学评估的平台。了解疫苗诱导抗体的功能,以及暴露于肺炎克雷伯菌诱导的天然IgG的功能,对于确定保护的相关性和帮助获得肺炎克雷伯菌疫苗的许可至关重要。肺炎是一种在全球范围内引起肺炎和败血症等严重感染的病原体。这种病原体中抗生素耐药性的日益流行使治疗工作复杂化,突出表明需要预防性治疗策略,如疫苗接种。然而,目前还没有获得许可的疫苗。评估新疫苗免疫原性的标准化分析对于疫苗开发和其他治疗方法的评估至关重要。因此,我们开发了可以评估抗体功能的检测方法,可用于评估新型肺炎克雷伯菌结合疫苗的潜力,并告知哪些抗体对预防疾病最有效。
本文章由计算机程序翻译,如有差异,请以英文原文为准。
求助全文
约1分钟内获得全文 求助全文
来源期刊
mSphere
mSphere Immunology and Microbiology-Microbiology
CiteScore
8.50
自引率
2.10%
发文量
192
审稿时长
11 weeks
期刊介绍: mSphere™ is a multi-disciplinary open-access journal that will focus on rapid publication of fundamental contributions to our understanding of microbiology. Its scope will reflect the immense range of fields within the microbial sciences, creating new opportunities for researchers to share findings that are transforming our understanding of human health and disease, ecosystems, neuroscience, agriculture, energy production, climate change, evolution, biogeochemical cycling, and food and drug production. Submissions will be encouraged of all high-quality work that makes fundamental contributions to our understanding of microbiology. mSphere™ will provide streamlined decisions, while carrying on ASM''s tradition for rigorous peer review.
×
引用
GB/T 7714-2015
复制
MLA
复制
APA
复制
导出至
BibTeX EndNote RefMan NoteFirst NoteExpress
×
提示
您的信息不完整,为了账户安全,请先补充。
现在去补充
×
提示
您因"违规操作"
具体请查看互助需知
我知道了
×
提示
确定
请完成安全验证×
copy
已复制链接
快去分享给好友吧!
我知道了
右上角分享
点击右上角分享
0
联系我们:info@booksci.cn Book学术提供免费学术资源搜索服务,方便国内外学者检索中英文文献。致力于提供最便捷和优质的服务体验。 Copyright © 2023 布克学术 All rights reserved.
京ICP备2023020795号-1
ghs 京公网安备 11010802042870号
Book学术文献互助
Book学术文献互助群
群 号:604180095
Book学术官方微信