Factor Analysis of the Effect of Hepatitis B-Related Liver Cancer Treatment Efficacy.

IF 3.4 3区 医学 Q2 ONCOLOGY
Journal of Hepatocellular Carcinoma Pub Date : 2025-06-05 eCollection Date: 2025-01-01 DOI:10.2147/JHC.S519397
Shuai-Wei Liu, Yan Zhou, Xue Yan Feng, Long Hai, Wan-Long Ma, Li Na Ma, Xiang-Chun Ding, Xia Luo
{"title":"Factor Analysis of the Effect of Hepatitis B-Related Liver Cancer Treatment Efficacy.","authors":"Shuai-Wei Liu, Yan Zhou, Xue Yan Feng, Long Hai, Wan-Long Ma, Li Na Ma, Xiang-Chun Ding, Xia Luo","doi":"10.2147/JHC.S519397","DOIUrl":null,"url":null,"abstract":"<p><strong>Background and aim: </strong>Drug-eluting bead transcatheter arterial chemoembolization (DEB-TACE) is commonly used to treat unresectable hepatitis B-related primary liver cancer, but its therapeutic effect is influenced by various factors. This study analyzes the clinical factors related to the overall survival (OS) and progression-free survival (PFS) of patients with hepatitis B-related hepatocellular carcinoma (HCC) treated with DEB-TACE to provide reference data for individualized treatment.</p><p><strong>Methods: </strong>In this retrospective study, 128 patients with hepatitis B-related primary liver cancer who received DEB-TACE treatment and being followed up (range of follow-up: 4-39 months) were included. The relationships between clinical characteristics, tumor markers, inflammatory factors, blood biochemical parameters, and OS and PFS were analyzed. Statistical methods, including Kaplan-Meier analysis, the Log rank test, and Cox regression analysis, were used to evaluate independent factors affecting patient prognosis.</p><p><strong>Results: </strong>Factors such as tumor size, tumor number, vascular invasion, extrahepatic metastasis, stage (CNLC and BCLC), and alpha-fetoprotein (AFP) level significantly affected OS and PFS (P < 0.05). In particular, patients with a tumor diameter >5 cm, multiple tumors, portal vein invasion, and extrahepatic metastasis had significantly shorter OS and PFS. Preoperative inflammatory factors (eg, white blood cell count, absolute neutrophil count, procalcitonin, and C-reactive protein) and blood biochemical parameters (eg, aspartate aminotransferase (AST), total bilirubin (TBIL), albumin (ALB)) were closely related to patient prognosis. Multivariate Cox regression analysis revealed that age, Child-Pugh score, BCLC stage, TBIL, ALB, CRP, and AFP were independent prognostic factors for OS.</p><p><strong>Conclusion: </strong>This study highlights the significance of tumor clinical characteristics and preoperative inflammatory factors in predicting the prognosis of patients with hepatitis B-related HCC treated with DEB-TACE. By comprehensively evaluating these clinical and biological markers, more personalized treatment plans can be developed for liver cancer patients, thereby improving treatment outcomes and survival rates.</p>","PeriodicalId":15906,"journal":{"name":"Journal of Hepatocellular Carcinoma","volume":"12 ","pages":"1141-1154"},"PeriodicalIF":3.4000,"publicationDate":"2025-06-05","publicationTypes":"Journal Article","fieldsOfStudy":null,"isOpenAccess":false,"openAccessPdf":"https://www.ncbi.nlm.nih.gov/pmc/articles/PMC12149274/pdf/","citationCount":"0","resultStr":null,"platform":"Semanticscholar","paperid":null,"PeriodicalName":"Journal of Hepatocellular Carcinoma","FirstCategoryId":"3","ListUrlMain":"https://doi.org/10.2147/JHC.S519397","RegionNum":3,"RegionCategory":"医学","ArticlePicture":[],"TitleCN":null,"AbstractTextCN":null,"PMCID":null,"EPubDate":"2025/1/1 0:00:00","PubModel":"eCollection","JCR":"Q2","JCRName":"ONCOLOGY","Score":null,"Total":0}
引用次数: 0

Abstract

Background and aim: Drug-eluting bead transcatheter arterial chemoembolization (DEB-TACE) is commonly used to treat unresectable hepatitis B-related primary liver cancer, but its therapeutic effect is influenced by various factors. This study analyzes the clinical factors related to the overall survival (OS) and progression-free survival (PFS) of patients with hepatitis B-related hepatocellular carcinoma (HCC) treated with DEB-TACE to provide reference data for individualized treatment.

Methods: In this retrospective study, 128 patients with hepatitis B-related primary liver cancer who received DEB-TACE treatment and being followed up (range of follow-up: 4-39 months) were included. The relationships between clinical characteristics, tumor markers, inflammatory factors, blood biochemical parameters, and OS and PFS were analyzed. Statistical methods, including Kaplan-Meier analysis, the Log rank test, and Cox regression analysis, were used to evaluate independent factors affecting patient prognosis.

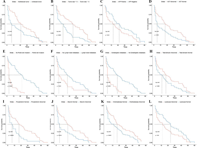
Results: Factors such as tumor size, tumor number, vascular invasion, extrahepatic metastasis, stage (CNLC and BCLC), and alpha-fetoprotein (AFP) level significantly affected OS and PFS (P < 0.05). In particular, patients with a tumor diameter >5 cm, multiple tumors, portal vein invasion, and extrahepatic metastasis had significantly shorter OS and PFS. Preoperative inflammatory factors (eg, white blood cell count, absolute neutrophil count, procalcitonin, and C-reactive protein) and blood biochemical parameters (eg, aspartate aminotransferase (AST), total bilirubin (TBIL), albumin (ALB)) were closely related to patient prognosis. Multivariate Cox regression analysis revealed that age, Child-Pugh score, BCLC stage, TBIL, ALB, CRP, and AFP were independent prognostic factors for OS.

Conclusion: This study highlights the significance of tumor clinical characteristics and preoperative inflammatory factors in predicting the prognosis of patients with hepatitis B-related HCC treated with DEB-TACE. By comprehensively evaluating these clinical and biological markers, more personalized treatment plans can be developed for liver cancer patients, thereby improving treatment outcomes and survival rates.

Abstract Image

Abstract Image

乙型肝炎相关性肝癌治疗疗效影响因素分析。
背景与目的:药物洗脱头经导管动脉化疗栓塞(DEB-TACE)是治疗不可切除的乙型肝炎相关原发性肝癌的常用方法,但其治疗效果受多种因素的影响。本研究通过对DEB-TACE治疗的乙型肝炎相关性肝癌(HCC)患者总生存期(OS)和无进展生存期(PFS)的相关临床因素进行分析,为个体化治疗提供参考数据。方法:回顾性研究128例接受DEB-TACE治疗的乙型肝炎相关原发性肝癌患者,随访时间4-39个月。分析临床特征、肿瘤标志物、炎症因子、血液生化指标与OS和PFS之间的关系。采用Kaplan-Meier分析、Log rank检验、Cox回归分析等统计方法评价影响患者预后的独立因素。结果:肿瘤大小、肿瘤数量、血管侵犯、肝外转移、分期(CNLC和BCLC)、甲胎蛋白(AFP)水平等因素对OS和PFS有显著影响(P < 0.05)。特别是肿瘤直径bbb50 ~ 5cm、多发肿瘤、门静脉侵犯、肝外转移的患者,OS和PFS明显缩短。术前炎症因子(如白细胞计数、绝对中性粒细胞计数、降钙素原、c反应蛋白)和血液生化指标(如谷草转氨酶(AST)、总胆红素(TBIL)、白蛋白(ALB))与患者预后密切相关。多因素Cox回归分析显示,年龄、Child-Pugh评分、BCLC分期、TBIL、ALB、CRP、AFP是OS的独立预后因素。结论:本研究强调了肿瘤临床特征和术前炎症因子对DEB-TACE治疗乙型肝炎相关性HCC患者预后的预测意义。通过对这些临床和生物学指标的综合评估,可以为肝癌患者制定更加个性化的治疗方案,从而提高治疗效果和生存率。
本文章由计算机程序翻译,如有差异,请以英文原文为准。
求助全文
约1分钟内获得全文 求助全文
来源期刊
CiteScore
0.50
自引率
2.40%
发文量
108
审稿时长
16 weeks
×
引用
GB/T 7714-2015
复制
MLA
复制
APA
复制
导出至
BibTeX EndNote RefMan NoteFirst NoteExpress
×
提示
您的信息不完整,为了账户安全,请先补充。
现在去补充
×
提示
您因"违规操作"
具体请查看互助需知
我知道了
×
提示
确定
请完成安全验证×
copy
已复制链接
快去分享给好友吧!
我知道了
右上角分享
点击右上角分享
0
联系我们:info@booksci.cn Book学术提供免费学术资源搜索服务,方便国内外学者检索中英文文献。致力于提供最便捷和优质的服务体验。 Copyright © 2023 布克学术 All rights reserved.
京ICP备2023020795号-1
ghs 京公网安备 11010802042870号
Book学术文献互助
Book学术文献互助群
群 号:604180095
Book学术官方微信