Allergic Risk Among the Children in Southern China: The Association of Influencing Factors with the Allergen Distribution.

IF 3 3区 医学 Q2 ALLERGY
Journal of Asthma and Allergy Pub Date : 2025-06-06 eCollection Date: 2025-01-01 DOI:10.2147/JAA.S522153
Jieyan Ma, Genfeng Wu, Heming Huang, Gaochi Li
{"title":"Allergic Risk Among the Children in Southern China: The Association of Influencing Factors with the Allergen Distribution.","authors":"Jieyan Ma, Genfeng Wu, Heming Huang, Gaochi Li","doi":"10.2147/JAA.S522153","DOIUrl":null,"url":null,"abstract":"<p><strong>Background: </strong>Due to the inability of children with allergies to exhibit appropriate clinical symptoms, pediatricians often face the challenge of accurately diagnosing allergic diseases in children. Identifying the distribution of allergens is essential for the effective diagnosis and treatment of allergic diseases.</p><p><strong>Methods: </strong>We investigated the distribution of 28 allergens among 12,292 suspected allergic children in Shenzhen, whose serum-specific IgE was subjected to relevance analysis with influencing factors.</p><p><strong>Results: </strong>The results showed the overall allergen distribution was 66.36%. Mite, cow's milk, and egg white were the most prevalent allergens. Indoor allergens are significantly higher than outdoor allergens. There was extensive cross-reactivity among homologous species of allergens such as crustacean allergens, plant-derived allergens, etc. A 14KDa profilin as a common ingredient is suspected to be the main cause of the cross-reactivity among these plant-derived allergens. The frequencies of mite, cow's milk and egg white showed different trends with growing age, indicating that the frequencies of allergens are age-related. Various mechanisms of immune systems of children mature at different ages. We found that the proportion of mite sensitivity was highest in children with allergic rhinitis and conjunctivitis, while the proportion of cow's milk and egg white sensitivity was higher in children with allergic dermatitis such as eczema and urticaria.</p><p><strong>Conclusion: </strong>Age and cross-reactivity play important roles in diagnosing allergies in children. Children at different ages exhibit varying sensitivities to different types of allergens, and identifying cross-reactions helps to comprehensively understand children's allergic status. Pediatricians can develop corresponding prevention and management measures based on allergen results and clinical symptoms.</p>","PeriodicalId":15079,"journal":{"name":"Journal of Asthma and Allergy","volume":"18 ","pages":"955-966"},"PeriodicalIF":3.0000,"publicationDate":"2025-06-06","publicationTypes":"Journal Article","fieldsOfStudy":null,"isOpenAccess":false,"openAccessPdf":"https://www.ncbi.nlm.nih.gov/pmc/articles/PMC12151074/pdf/","citationCount":"0","resultStr":null,"platform":"Semanticscholar","paperid":null,"PeriodicalName":"Journal of Asthma and Allergy","FirstCategoryId":"3","ListUrlMain":"https://doi.org/10.2147/JAA.S522153","RegionNum":3,"RegionCategory":"医学","ArticlePicture":[],"TitleCN":null,"AbstractTextCN":null,"PMCID":null,"EPubDate":"2025/1/1 0:00:00","PubModel":"eCollection","JCR":"Q2","JCRName":"ALLERGY","Score":null,"Total":0}
引用次数: 0

Abstract

Background: Due to the inability of children with allergies to exhibit appropriate clinical symptoms, pediatricians often face the challenge of accurately diagnosing allergic diseases in children. Identifying the distribution of allergens is essential for the effective diagnosis and treatment of allergic diseases.

Methods: We investigated the distribution of 28 allergens among 12,292 suspected allergic children in Shenzhen, whose serum-specific IgE was subjected to relevance analysis with influencing factors.

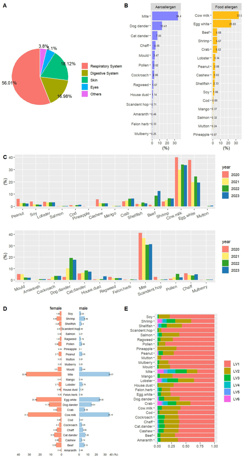
Results: The results showed the overall allergen distribution was 66.36%. Mite, cow's milk, and egg white were the most prevalent allergens. Indoor allergens are significantly higher than outdoor allergens. There was extensive cross-reactivity among homologous species of allergens such as crustacean allergens, plant-derived allergens, etc. A 14KDa profilin as a common ingredient is suspected to be the main cause of the cross-reactivity among these plant-derived allergens. The frequencies of mite, cow's milk and egg white showed different trends with growing age, indicating that the frequencies of allergens are age-related. Various mechanisms of immune systems of children mature at different ages. We found that the proportion of mite sensitivity was highest in children with allergic rhinitis and conjunctivitis, while the proportion of cow's milk and egg white sensitivity was higher in children with allergic dermatitis such as eczema and urticaria.

Conclusion: Age and cross-reactivity play important roles in diagnosing allergies in children. Children at different ages exhibit varying sensitivities to different types of allergens, and identifying cross-reactions helps to comprehensively understand children's allergic status. Pediatricians can develop corresponding prevention and management measures based on allergen results and clinical symptoms.

Abstract Image

Abstract Image

Abstract Image

华南地区儿童过敏风险:影响因素与过敏原分布的关系
背景:由于过敏儿童不能表现出适当的临床症状,儿科医生经常面临准确诊断儿童过敏性疾病的挑战。确定过敏原的分布对有效诊断和治疗过敏性疾病至关重要。方法:调查深圳市12292例疑似过敏儿童28种过敏原的分布,对其血清特异性IgE与影响因素进行相关性分析。结果:总过敏原分布为66.36%。螨虫、牛奶和蛋清是最常见的过敏原。室内过敏原明显高于室外过敏原。甲壳类过敏原、植物源过敏原等同源过敏原之间存在广泛的交叉反应性。作为一种常见成分的14KDa谱被怀疑是这些植物源性过敏原之间交叉反应的主要原因。螨、牛奶和蛋清的频率随年龄的增长呈现不同的变化趋势,说明过敏原的频率与年龄有关。儿童免疫系统的各种机制在不同的年龄成熟。我们发现,过敏性鼻炎和结膜炎患儿对螨虫过敏的比例最高,而湿疹和荨麻疹等过敏性皮炎患儿对牛奶和蛋清过敏的比例更高。结论:年龄和交叉反应在儿童过敏诊断中起重要作用。不同年龄的儿童对不同类型的过敏原表现出不同的敏感性,识别交叉反应有助于全面了解儿童的过敏状况。儿科医生可以根据过敏原结果和临床症状制定相应的预防和管理措施。
本文章由计算机程序翻译,如有差异,请以英文原文为准。
求助全文
约1分钟内获得全文 求助全文
来源期刊
Journal of Asthma and Allergy
Journal of Asthma and Allergy Medicine-Immunology and Allergy
CiteScore
5.30
自引率
6.20%
发文量
185
审稿时长
16 weeks
期刊介绍: An international, peer-reviewed journal publishing original research, reports, editorials and commentaries on the following topics: Asthma; Pulmonary physiology; Asthma related clinical health; Clinical immunology and the immunological basis of disease; Pharmacological interventions and new therapies. Although the main focus of the journal will be to publish research and clinical results in humans, preclinical, animal and in vitro studies will be published where they shed light on disease processes and potential new therapies.
×
引用
GB/T 7714-2015
复制
MLA
复制
APA
复制
导出至
BibTeX EndNote RefMan NoteFirst NoteExpress
×
提示
您的信息不完整,为了账户安全,请先补充。
现在去补充
×
提示
您因"违规操作"
具体请查看互助需知
我知道了
×
提示
确定
请完成安全验证×
copy
已复制链接
快去分享给好友吧!
我知道了
右上角分享
点击右上角分享
0
联系我们:info@booksci.cn Book学术提供免费学术资源搜索服务,方便国内外学者检索中英文文献。致力于提供最便捷和优质的服务体验。 Copyright © 2023 布克学术 All rights reserved.
京ICP备2023020795号-1
ghs 京公网安备 11010802042870号
Book学术文献互助
Book学术文献互助群
群 号:604180095
Book学术官方微信