Genetic mapping for agronomic, nutritional, and leaf vein traits in the indigenous crop Gynandropsis gynandra.

NPJ sustainable agriculture Pub Date : 2025-01-01 Epub Date: 2025-06-06 DOI:10.1038/s44264-025-00074-0
Conor J C Simpson, Dêêdi E O Sogbohossou, Gregory Reeves, M Eric Schranz, Pallavi Singh, Julian M Hibberd
{"title":"Genetic mapping for agronomic, nutritional, and leaf vein traits in the indigenous crop <i>Gynandropsis gynandra</i>.","authors":"Conor J C Simpson, Dêêdi E O Sogbohossou, Gregory Reeves, M Eric Schranz, Pallavi Singh, Julian M Hibberd","doi":"10.1038/s44264-025-00074-0","DOIUrl":null,"url":null,"abstract":"<p><p><i>Gynandropsis gynandra</i> is a nutrient-rich, climate-resilient, C<sub>4</sub> under-utilised crop with potential to enhance food security in low-input farming systems. To support its genetic improvement, we performed linkage mapping using two F<sub>2</sub> populations (213 and 187 individuals) derived from Malaysian and Malawian founder lines. Under controlled greenhouse conditions, populations were phenotyped for agronomic traits (plant height, leaf area, flowering time), nutritional content (carotenoids, tocopherols), and anatomical features linked to C<sub>4</sub> photosynthesis (vein density, bundle sheath size). High-density SNP genotyping enabled construction of linkage maps and identification of 15 QTL. Shared QTL for plant size and flowering time across both populations suggest stable genetic control suitable for marker-assisted selection. Additional QTL for vein density and vitamin content provide insights into the genetic basis of agronomic traits and C<sub>4</sub> physiology. These results offer foundational tools for <i>G. gynandra</i> pre-breeding and reinforce its potential as a model for C<sub>4</sub> photosynthesis research and sustainable agriculture.</p>","PeriodicalId":520846,"journal":{"name":"NPJ sustainable agriculture","volume":"3 1","pages":"33"},"PeriodicalIF":0.0000,"publicationDate":"2025-01-01","publicationTypes":"Journal Article","fieldsOfStudy":null,"isOpenAccess":false,"openAccessPdf":"https://www.ncbi.nlm.nih.gov/pmc/articles/PMC12143976/pdf/","citationCount":"0","resultStr":null,"platform":"Semanticscholar","paperid":null,"PeriodicalName":"NPJ sustainable agriculture","FirstCategoryId":"1085","ListUrlMain":"https://doi.org/10.1038/s44264-025-00074-0","RegionNum":0,"RegionCategory":null,"ArticlePicture":[],"TitleCN":null,"AbstractTextCN":null,"PMCID":null,"EPubDate":"2025/6/6 0:00:00","PubModel":"Epub","JCR":"","JCRName":"","Score":null,"Total":0}
引用次数: 0

Abstract

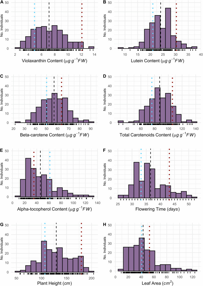
Gynandropsis gynandra is a nutrient-rich, climate-resilient, C4 under-utilised crop with potential to enhance food security in low-input farming systems. To support its genetic improvement, we performed linkage mapping using two F2 populations (213 and 187 individuals) derived from Malaysian and Malawian founder lines. Under controlled greenhouse conditions, populations were phenotyped for agronomic traits (plant height, leaf area, flowering time), nutritional content (carotenoids, tocopherols), and anatomical features linked to C4 photosynthesis (vein density, bundle sheath size). High-density SNP genotyping enabled construction of linkage maps and identification of 15 QTL. Shared QTL for plant size and flowering time across both populations suggest stable genetic control suitable for marker-assisted selection. Additional QTL for vein density and vitamin content provide insights into the genetic basis of agronomic traits and C4 physiology. These results offer foundational tools for G. gynandra pre-breeding and reinforce its potential as a model for C4 photosynthesis research and sustainable agriculture.

Abstract Image

Abstract Image

Abstract Image

本地作物金缕子农艺、营养和叶脉性状的遗传作图。
雌雄同体是一种营养丰富、气候适应性强、C4未充分利用的作物,具有在低投入农业系统中加强粮食安全的潜力。为了支持其遗传改良,我们对来自马来西亚和马拉维始祖系的两个F2群体(213和187个个体)进行了连锁定位。在温室控制条件下,对群体进行了农艺性状(株高、叶面积、开花时间)、营养成分(类胡萝卜素、生育酚)和与C4光合作用相关的解剖特征(脉密度、束鞘大小)的表型分析。高密度SNP基因分型构建了连锁图谱,鉴定了15个QTL。两个群体在植株大小和开花时间上共享QTL,表明稳定的遗传控制适合于标记辅助选择。静脉密度和维生素含量的额外QTL为农艺性状和C4生理学的遗传基础提供了见解。这些结果为金缕草的预育种提供了基础工具,并增强了其作为C4光合作用研究和可持续农业模型的潜力。
本文章由计算机程序翻译,如有差异,请以英文原文为准。
求助全文
约1分钟内获得全文 求助全文
来源期刊
自引率
0.00%
发文量
0
×
引用
GB/T 7714-2015
复制
MLA
复制
APA
复制
导出至
BibTeX EndNote RefMan NoteFirst NoteExpress
×
提示
您的信息不完整,为了账户安全,请先补充。
现在去补充
×
提示
您因"违规操作"
具体请查看互助需知
我知道了
×
提示
确定
请完成安全验证×
copy
已复制链接
快去分享给好友吧!
我知道了
右上角分享
点击右上角分享
0
联系我们:info@booksci.cn Book学术提供免费学术资源搜索服务,方便国内外学者检索中英文文献。致力于提供最便捷和优质的服务体验。 Copyright © 2023 布克学术 All rights reserved.
京ICP备2023020795号-1
ghs 京公网安备 11010802042870号
Book学术文献互助
Book学术文献互助群
群 号:604180095
Book学术官方微信