Time-Driven Activity-Based Costing for Cervical Myelopathy Surgery: A Step Towards Total Episode Costs.

IF 2.2 Q3 HEALTH CARE SCIENCES & SERVICES
ClinicoEconomics and Outcomes Research Pub Date : 2025-06-03 eCollection Date: 2025-01-01 DOI:10.2147/CEOR.S502217
Kavantissa M Keppetipola, Adam Leibold, Jay Trivedi, Ashmal Sami Kabani, Advith Sarikonda, D Mitchell Self, Emily L Isch, Steven Glener, Srinivas Prasad, Jack Jallo, Joshua E Heller, James Harrop, Alexander R Vaccaro, Ahilan Sivaganesan
{"title":"Time-Driven Activity-Based Costing for Cervical Myelopathy Surgery: A Step Towards Total Episode Costs.","authors":"Kavantissa M Keppetipola, Adam Leibold, Jay Trivedi, Ashmal Sami Kabani, Advith Sarikonda, D Mitchell Self, Emily L Isch, Steven Glener, Srinivas Prasad, Jack Jallo, Joshua E Heller, James Harrop, Alexander R Vaccaro, Ahilan Sivaganesan","doi":"10.2147/CEOR.S502217","DOIUrl":null,"url":null,"abstract":"<p><strong>Introduction: </strong>Time-driven activity-based costing (TDABC) is a highly accurate method for determining the true cost of delivering a healthcare service. However, TDABC is most often applied to a singular phase of care such as an outpatient visit or a surgical event. Here we broaden the scope by using TDABC to estimate the costs of surgically treating cervical myelopathy - from the moment of surgical scheduling until post-operative hospital discharge.</p><p><strong>Methods: </strong>In a single-center retrospective study at a large tertiary academic institution, TDABC was employed to measure pre-operative, intra-operative, and post-operative (inpatient) costs for 63 patients undergoing elective surgery for cervical myelopathy. Cost patterns among different surgical approaches (anterior, posterior, anterior/posterior) were analyzed using generalized linear models and the Kruskal-Wallis test.</p><p><strong>Results: </strong>63 consecutive patients who underwent elective surgery for cervical myelopathy were examined (anterior approach: 36.5%, n=23; posterior approach: 54.0%, n=34; anterior/posterior approach: 9.5%, n=6). The average pre-operative, intraoperative, and postoperative costs were $352.83 ± $205, $10,809.09 ± $6052.69, and $5327.07 ± $5114.78, respectively. The average total episode cost for all cases was $16,488.99 ± $8,181,777. Kruskal-Wallis analysis revealed that total episode cost for the anterior-posterior approach was significantly higher than for both the anterior (p<0.001) and posterior approaches (p<0.05), while the total episode cost for the anterior approach was significantly less than that of the posterior (p<0.001).</p><p><strong>Conclusion: </strong>We have demonstrated the feasibility of TDABC for estimating a large fraction of total episode costs for the surgical treatment of cervical myelopathy. This may also be the first attempt at understanding episode costs across multiple surgical options for a given spinal diagnosis, which will be relevant as condition-based bundled payments emerge. As expected, anterior cervical surgeries incurred lower costs than posterior surgeries, which incurred lower costs than anterior-posterior surgeries.</p>","PeriodicalId":47313,"journal":{"name":"ClinicoEconomics and Outcomes Research","volume":"17 ","pages":"419-428"},"PeriodicalIF":2.2000,"publicationDate":"2025-06-03","publicationTypes":"Journal Article","fieldsOfStudy":null,"isOpenAccess":false,"openAccessPdf":"https://www.ncbi.nlm.nih.gov/pmc/articles/PMC12145145/pdf/","citationCount":"0","resultStr":null,"platform":"Semanticscholar","paperid":null,"PeriodicalName":"ClinicoEconomics and Outcomes Research","FirstCategoryId":"1085","ListUrlMain":"https://doi.org/10.2147/CEOR.S502217","RegionNum":0,"RegionCategory":null,"ArticlePicture":[],"TitleCN":null,"AbstractTextCN":null,"PMCID":null,"EPubDate":"2025/1/1 0:00:00","PubModel":"eCollection","JCR":"Q3","JCRName":"HEALTH CARE SCIENCES & SERVICES","Score":null,"Total":0}
引用次数: 0

Abstract

Introduction: Time-driven activity-based costing (TDABC) is a highly accurate method for determining the true cost of delivering a healthcare service. However, TDABC is most often applied to a singular phase of care such as an outpatient visit or a surgical event. Here we broaden the scope by using TDABC to estimate the costs of surgically treating cervical myelopathy - from the moment of surgical scheduling until post-operative hospital discharge.

Methods: In a single-center retrospective study at a large tertiary academic institution, TDABC was employed to measure pre-operative, intra-operative, and post-operative (inpatient) costs for 63 patients undergoing elective surgery for cervical myelopathy. Cost patterns among different surgical approaches (anterior, posterior, anterior/posterior) were analyzed using generalized linear models and the Kruskal-Wallis test.

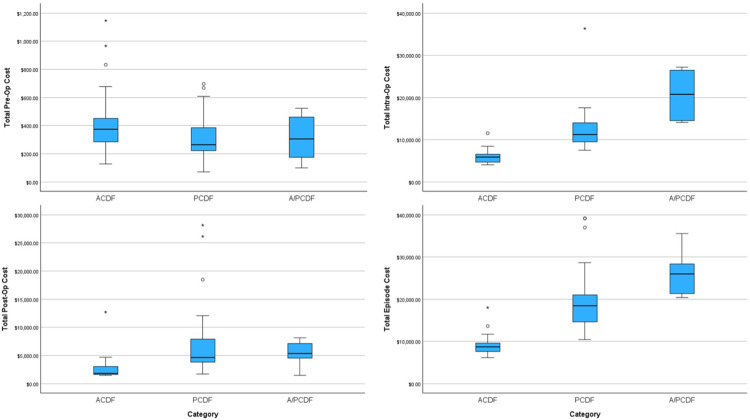
Results: 63 consecutive patients who underwent elective surgery for cervical myelopathy were examined (anterior approach: 36.5%, n=23; posterior approach: 54.0%, n=34; anterior/posterior approach: 9.5%, n=6). The average pre-operative, intraoperative, and postoperative costs were $352.83 ± $205, $10,809.09 ± $6052.69, and $5327.07 ± $5114.78, respectively. The average total episode cost for all cases was $16,488.99 ± $8,181,777. Kruskal-Wallis analysis revealed that total episode cost for the anterior-posterior approach was significantly higher than for both the anterior (p<0.001) and posterior approaches (p<0.05), while the total episode cost for the anterior approach was significantly less than that of the posterior (p<0.001).

Conclusion: We have demonstrated the feasibility of TDABC for estimating a large fraction of total episode costs for the surgical treatment of cervical myelopathy. This may also be the first attempt at understanding episode costs across multiple surgical options for a given spinal diagnosis, which will be relevant as condition-based bundled payments emerge. As expected, anterior cervical surgeries incurred lower costs than posterior surgeries, which incurred lower costs than anterior-posterior surgeries.

Abstract Image

Abstract Image

Abstract Image

时间驱动的基于活动的脊髓型颈椎病手术成本:迈向总发作成本的一步。
简介:时间驱动的基于活动的成本计算(TDABC)是一种非常准确的方法,用于确定提供医疗保健服务的真实成本。然而,TDABC最常用于单一阶段的护理,如门诊或手术事件。在这里,我们通过使用TDABC来估计手术治疗颈椎病的成本,从而扩大了范围——从手术计划的那一刻起直到术后出院。方法:在一所大型高等学术机构的单中心回顾性研究中,采用TDABC测量63例接受择期颈椎病手术的患者的术前、术中和术后(住院)费用。采用广义线性模型和Kruskal-Wallis检验分析不同手术入路(前路、后路、前路/后路)的成本模式。结果:63例连续接受择期颈椎病手术的患者接受了检查(前路:36.5%,n=23;后验入路:54.0%,n=34;前后入路:9.5%,n=6)。术前、术中、术后平均费用分别为352.83±205美元、10809.09±6052.69美元、5327.07±5114.78美元。所有病例的平均总费用为$16,488.99±$8,181,777。Kruskal-Wallis分析显示,前后路手术的总费用明显高于前路手术的总费用(结论:我们已经证明了TDABC在颈椎病手术治疗的总费用中占很大一部分的可行性。这也可能是第一次尝试了解针对特定脊柱诊断的多种手术选择的发作成本,这将随着基于病情的捆绑支付的出现而相关。正如预期的那样,颈椎前路手术的费用比后路手术低,后路手术的费用比前后路手术低。
本文章由计算机程序翻译,如有差异,请以英文原文为准。
求助全文
约1分钟内获得全文 求助全文
来源期刊
ClinicoEconomics and Outcomes Research
ClinicoEconomics and Outcomes Research HEALTH CARE SCIENCES & SERVICES-
CiteScore
3.70
自引率
0.00%
发文量
83
审稿时长
16 weeks
×
引用
GB/T 7714-2015
复制
MLA
复制
APA
复制
导出至
BibTeX EndNote RefMan NoteFirst NoteExpress
×
提示
您的信息不完整,为了账户安全,请先补充。
现在去补充
×
提示
您因"违规操作"
具体请查看互助需知
我知道了
×
提示
确定
请完成安全验证×
copy
已复制链接
快去分享给好友吧!
我知道了
右上角分享
点击右上角分享
0
联系我们:info@booksci.cn Book学术提供免费学术资源搜索服务,方便国内外学者检索中英文文献。致力于提供最便捷和优质的服务体验。 Copyright © 2023 布克学术 All rights reserved.
京ICP备2023020795号-1
ghs 京公网安备 11010802042870号
Book学术文献互助
Book学术文献互助群
群 号:604180095
Book学术官方微信