Learning Curve for Left Bundle Branch Area Pacing Lead Implantation.

Q3 Medicine
Journal of Innovations in Cardiac Rhythm Management Pub Date : 2025-05-15 eCollection Date: 2025-05-01 DOI:10.19102/icrm.2025.16055
Maci Clark, Hannah Zerr, Ben Ose, David Fritz, Caroline Trupp, Amulya Gupta, Ahmed Shahab, Amit Noheria, Seth H Sheldon
{"title":"Learning Curve for Left Bundle Branch Area Pacing Lead Implantation.","authors":"Maci Clark, Hannah Zerr, Ben Ose, David Fritz, Caroline Trupp, Amulya Gupta, Ahmed Shahab, Amit Noheria, Seth H Sheldon","doi":"10.19102/icrm.2025.16055","DOIUrl":null,"url":null,"abstract":"<p><p>Left bundle branch area pacing (LBBAP) has shown promising outcomes at experienced centers; however, less is known about the learning curve with initial adoption of LBBAP implantation. We conducted a retrospective analysis (2020-2023) of the learning curve for LBBAP at an academic medical center. Procedural success and device-related adverse events in adult patients undergoing LBBAP by seven new operators with >5 years' experience in device implantation were compared between operators with a history of ≤10 (LBBAP<sub>inexp</sub>) versus >10 (LBBAP<sub>exp</sub>) LBBAP implant attempts. Successful LBBAP was defined as a left ventricular activation time (LVAT) of ≤80 ms. Seven operators implanted LBBAP devices in 288 patients (age, 73 ± 11 years; 38% women), including 68 (24%) in the LBBAP<sub>inexp</sub> group versus 220 (76%) patients in the LBBAP<sub>exp</sub> group with similar baseline characteristics. The median number of implants per operator was 22 (range, 8-83). Post-implant LVAT ≤ 80 ms was less frequent in LBBAP<sub>inexp</sub> compared to LBBAP<sub>exp</sub> (56.9% vs 72.4%; <i>P</i> = .04). There were no significant differences in paced QRS duration ≤ 130 ms (75.9% vs. 76.1%; <i>P</i> = 1.0) or operator self-identified success (85% vs. 91%; <i>P</i> = .2). With new single-/dual-chamber device implants, there was no difference in implant duration (103.4 ± 31.8 vs. 101.6 ± 38.5 min; <i>P</i> = .3), but there was longer fluoroscopy with LBBAP<sub>inexp</sub> (12.6 ± 10.1 vs. 8.2 ± 8.0 min; <i>P</i> < .0001). The average number of attempts at LBBAP was lower with LBBAP<sub>inexp</sub> versus LBBAP<sub>exp</sub> (2.0 ± 1.5 vs. 2.9 ± 2.9; <i>P</i> = .03). There was no difference in device-related adverse events between the two groups (<i>P</i> = .3). Operators use less fluoroscopy, make more attempts at LBBAP, and more frequently achieve LVAT ≤ 80 ms after their first 10 implants.</p>","PeriodicalId":36299,"journal":{"name":"Journal of Innovations in Cardiac Rhythm Management","volume":"16 5","pages":"6284-6291"},"PeriodicalIF":0.0000,"publicationDate":"2025-05-15","publicationTypes":"Journal Article","fieldsOfStudy":null,"isOpenAccess":false,"openAccessPdf":"https://www.ncbi.nlm.nih.gov/pmc/articles/PMC12140124/pdf/","citationCount":"0","resultStr":null,"platform":"Semanticscholar","paperid":null,"PeriodicalName":"Journal of Innovations in Cardiac Rhythm Management","FirstCategoryId":"1085","ListUrlMain":"https://doi.org/10.19102/icrm.2025.16055","RegionNum":0,"RegionCategory":null,"ArticlePicture":[],"TitleCN":null,"AbstractTextCN":null,"PMCID":null,"EPubDate":"2025/5/1 0:00:00","PubModel":"eCollection","JCR":"Q3","JCRName":"Medicine","Score":null,"Total":0}
引用次数: 0

Abstract

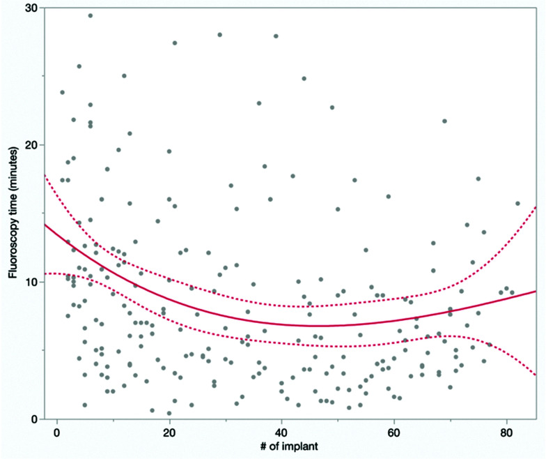
Left bundle branch area pacing (LBBAP) has shown promising outcomes at experienced centers; however, less is known about the learning curve with initial adoption of LBBAP implantation. We conducted a retrospective analysis (2020-2023) of the learning curve for LBBAP at an academic medical center. Procedural success and device-related adverse events in adult patients undergoing LBBAP by seven new operators with >5 years' experience in device implantation were compared between operators with a history of ≤10 (LBBAPinexp) versus >10 (LBBAPexp) LBBAP implant attempts. Successful LBBAP was defined as a left ventricular activation time (LVAT) of ≤80 ms. Seven operators implanted LBBAP devices in 288 patients (age, 73 ± 11 years; 38% women), including 68 (24%) in the LBBAPinexp group versus 220 (76%) patients in the LBBAPexp group with similar baseline characteristics. The median number of implants per operator was 22 (range, 8-83). Post-implant LVAT ≤ 80 ms was less frequent in LBBAPinexp compared to LBBAPexp (56.9% vs 72.4%; P = .04). There were no significant differences in paced QRS duration ≤ 130 ms (75.9% vs. 76.1%; P = 1.0) or operator self-identified success (85% vs. 91%; P = .2). With new single-/dual-chamber device implants, there was no difference in implant duration (103.4 ± 31.8 vs. 101.6 ± 38.5 min; P = .3), but there was longer fluoroscopy with LBBAPinexp (12.6 ± 10.1 vs. 8.2 ± 8.0 min; P < .0001). The average number of attempts at LBBAP was lower with LBBAPinexp versus LBBAPexp (2.0 ± 1.5 vs. 2.9 ± 2.9; P = .03). There was no difference in device-related adverse events between the two groups (P = .3). Operators use less fluoroscopy, make more attempts at LBBAP, and more frequently achieve LVAT ≤ 80 ms after their first 10 implants.

Abstract Image

Abstract Image

Abstract Image

左束支起搏导联植入的学习曲线。
左束支区起搏(LBBAP)在经验丰富的中心显示出良好的效果;然而,对于最初采用LBBAP植入的学习曲线知之甚少。我们对某学术医疗中心LBBAP的学习曲线进行了回顾性分析(2020-2023年)。我们比较了7位具有5年LBBAP植入经验的新操作者在LBBAP植入史≤10 (LBBAPinexp)和> (LBBAPexp) LBBAP植入史的操作者在LBBAP植入史上的手术成功率和器械相关不良事件。LBBAP成功定义为左心室激活时间(LVAT)≤80 ms。7名手术人员植入LBBAP装置288例(年龄73±11岁;其中,基线特征相似的LBBAPinexp组68例(24%),LBBAPexp组220例(76%)。每位手术者植入物的中位数为22(范围8-83)。植入后LVAT≤80 ms在LBBAPinexp组的发生率低于LBBAPinexp组(56.9% vs 72.4%;P = .04)。节律性QRS持续时间≤130 ms无显著差异(75.9% vs. 76.1%;P = 1.0)或操作者自我识别的成功率(85% vs 91%;P = .2)。使用新的单腔/双腔器械种植体,种植时间无差异(103.4±31.8 vs 101.6±38.5 min);P = .3),但使用LBBAPinexp的透视时间较长(12.6±10.1 vs 8.2±8.0 min;P < 0.0001)。LBBAPinexp对LBBAPexp的平均尝试次数较低(2.0±1.5比2.9±2.9;P = .03)。两组患者器械相关不良事件发生率无差异(P = .3)。操作者较少使用透视检查,对LBBAP进行更多尝试,并且在前10次植入后更频繁地达到LVAT≤80 ms。
本文章由计算机程序翻译,如有差异,请以英文原文为准。
求助全文
约1分钟内获得全文 求助全文
来源期刊
Journal of Innovations in Cardiac Rhythm Management
Journal of Innovations in Cardiac Rhythm Management Medicine-Cardiology and Cardiovascular Medicine
CiteScore
1.50
自引率
0.00%
发文量
70
×
引用
GB/T 7714-2015
复制
MLA
复制
APA
复制
导出至
BibTeX EndNote RefMan NoteFirst NoteExpress
×
提示
您的信息不完整,为了账户安全,请先补充。
现在去补充
×
提示
您因"违规操作"
具体请查看互助需知
我知道了
×
提示
确定
请完成安全验证×
copy
已复制链接
快去分享给好友吧!
我知道了
右上角分享
点击右上角分享
0
联系我们:info@booksci.cn Book学术提供免费学术资源搜索服务,方便国内外学者检索中英文文献。致力于提供最便捷和优质的服务体验。 Copyright © 2023 布克学术 All rights reserved.
京ICP备2023020795号-1
ghs 京公网安备 11010802042870号
Book学术文献互助
Book学术文献互助群
群 号:604180095
Book学术官方微信