Multicenter evaluation of the Quantra with the QStat Cartridge in adult trauma patients.

IF 2.2 Q3 CRITICAL CARE MEDICINE
Trauma Surgery & Acute Care Open Pub Date : 2025-06-03 eCollection Date: 2025-01-01 DOI:10.1136/tsaco-2024-001672
Ernest E Moore, Edward A Michelson, Katrina Gabriel-Ramos, Michael W Cripps, Antolin Flores, Kofi Vandyck, Brian Thurston, Meghan Brennan, Francesco Viola, Deborah A Winegar
{"title":"Multicenter evaluation of the Quantra with the QStat Cartridge in adult trauma patients.","authors":"Ernest E Moore, Edward A Michelson, Katrina Gabriel-Ramos, Michael W Cripps, Antolin Flores, Kofi Vandyck, Brian Thurston, Meghan Brennan, Francesco Viola, Deborah A Winegar","doi":"10.1136/tsaco-2024-001672","DOIUrl":null,"url":null,"abstract":"<p><strong>Background: </strong>Trauma-induced coagulopathy (TIC) occurs in a quarter of trauma patients and is associated with death due to uncontrolled bleeding. Current guidelines recommend viscoelastic testing (VET) to assess coagulopathy and guide transfusions. The Quantra with the QStat Cartridge is a point-of-care (POC) VET device that measures changes in clot stiffness (CS) during coagulation and fibrinolysis using ultrasound detection of resonance. This study aimed to evaluate the performance of the QStat Cartridge in trauma patients compared with rotational thromboelastometry (ROTEM) <i>delta</i> and thromboelastography (TEG) 6s VET devices.</p><p><strong>Methods: </strong>A multicenter prospective observational study was conducted in adult patients meeting criteria for a full trauma team response at eight US level 1 trauma centers. Citrated blood samples drawn on arrival at the hospital or after blood transfusions were analyzed in parallel on QStat, ROTEM or TEG. Correlation between QStat and equivalent VET measurements was assessed by linear regression. Concordance was assessed by agreement of results relative to device-specific normal reference ranges.</p><p><strong>Results: </strong>259 severely injured patients were enrolled, yielding 271 samples for analysis. Moderate to strong correlations between QStat and corresponding ROTEM and TEG measurements were observed (r=0.64-0.88). The concordance between CS results was 84.5% for QStat CS and EXTEM A10 and 83.3% for CS and citrated rapid TEG maximum amplitude. For fibrinogen-related results, concordance was 81.5% for QStat fibrinogen contribution to clot stiffness (FCS) and FIBTEM A10 and 93.8% for FCS and citrated functional fibrinogen maximum amplitude. For fibrinolysis measurements, the overall agreement between QStat clot stability to lysis and EXTEM ML or CK-LY30 was 97.5% and 92.9%, respectively.</p><p><strong>Conclusion: </strong>QStat provides comparable information to the ROTEM <i>delta</i> and TEG 6s in trauma patients and can be useful for diagnosing TIC and guiding treatment. The Quantra's simplicity of use, ability to deploy at the POC, and rapid availability of results may provide clinicians with a faster, more convenient means to assess and manage TIC.</p><p><strong>Level of evidence: </strong>Diagnostic test, level II.</p><p><strong>Trial registration number: </strong>NCT04312958.</p>","PeriodicalId":23307,"journal":{"name":"Trauma Surgery & Acute Care Open","volume":"10 2","pages":"e001672"},"PeriodicalIF":2.2000,"publicationDate":"2025-06-03","publicationTypes":"Journal Article","fieldsOfStudy":null,"isOpenAccess":false,"openAccessPdf":"https://www.ncbi.nlm.nih.gov/pmc/articles/PMC12142034/pdf/","citationCount":"0","resultStr":null,"platform":"Semanticscholar","paperid":null,"PeriodicalName":"Trauma Surgery & Acute Care Open","FirstCategoryId":"1085","ListUrlMain":"https://doi.org/10.1136/tsaco-2024-001672","RegionNum":0,"RegionCategory":null,"ArticlePicture":[],"TitleCN":null,"AbstractTextCN":null,"PMCID":null,"EPubDate":"2025/1/1 0:00:00","PubModel":"eCollection","JCR":"Q3","JCRName":"CRITICAL CARE MEDICINE","Score":null,"Total":0}
引用次数: 0

Abstract

Background: Trauma-induced coagulopathy (TIC) occurs in a quarter of trauma patients and is associated with death due to uncontrolled bleeding. Current guidelines recommend viscoelastic testing (VET) to assess coagulopathy and guide transfusions. The Quantra with the QStat Cartridge is a point-of-care (POC) VET device that measures changes in clot stiffness (CS) during coagulation and fibrinolysis using ultrasound detection of resonance. This study aimed to evaluate the performance of the QStat Cartridge in trauma patients compared with rotational thromboelastometry (ROTEM) delta and thromboelastography (TEG) 6s VET devices.

Methods: A multicenter prospective observational study was conducted in adult patients meeting criteria for a full trauma team response at eight US level 1 trauma centers. Citrated blood samples drawn on arrival at the hospital or after blood transfusions were analyzed in parallel on QStat, ROTEM or TEG. Correlation between QStat and equivalent VET measurements was assessed by linear regression. Concordance was assessed by agreement of results relative to device-specific normal reference ranges.

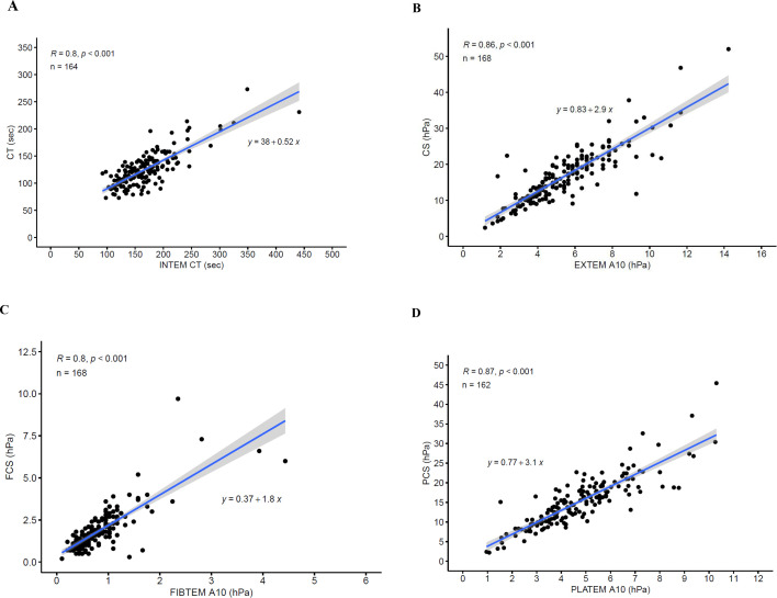
Results: 259 severely injured patients were enrolled, yielding 271 samples for analysis. Moderate to strong correlations between QStat and corresponding ROTEM and TEG measurements were observed (r=0.64-0.88). The concordance between CS results was 84.5% for QStat CS and EXTEM A10 and 83.3% for CS and citrated rapid TEG maximum amplitude. For fibrinogen-related results, concordance was 81.5% for QStat fibrinogen contribution to clot stiffness (FCS) and FIBTEM A10 and 93.8% for FCS and citrated functional fibrinogen maximum amplitude. For fibrinolysis measurements, the overall agreement between QStat clot stability to lysis and EXTEM ML or CK-LY30 was 97.5% and 92.9%, respectively.

Conclusion: QStat provides comparable information to the ROTEM delta and TEG 6s in trauma patients and can be useful for diagnosing TIC and guiding treatment. The Quantra's simplicity of use, ability to deploy at the POC, and rapid availability of results may provide clinicians with a faster, more convenient means to assess and manage TIC.

Level of evidence: Diagnostic test, level II.

Trial registration number: NCT04312958.

Abstract Image

Abstract Image

Abstract Image

QStat卡带在成人创伤患者中的多中心评价。
背景:创伤性凝血功能障碍(TIC)发生在四分之一的创伤患者中,并与不受控制的出血导致的死亡相关。目前的指南推荐粘弹性测试(VET)来评估凝血功能和指导输血。带有QStat试剂盒的Quantra是一种即时护理(POC) VET设备,使用超声共振检测来测量凝血和纤溶过程中凝块硬度(CS)的变化。本研究旨在评估QStat试剂盒与旋转血栓弹性测量(ROTEM) delta和血栓弹性成像(TEG) 6s VET设备在创伤患者中的性能。方法:一项多中心前瞻性观察研究在8个美国一级创伤中心的成人患者中进行,这些患者符合创伤小组的全部反应标准。在到达医院时或输血后抽取的柠檬酸血样本在QStat、ROTEM或TEG上进行并行分析。通过线性回归评估QStat与等效VET测量值之间的相关性。通过相对于器械特定的正常参考范围的结果一致性来评估一致性。结果:共纳入259例重度损伤患者,分析样本271份。QStat与相应的ROTEM和TEG测量值之间存在中强相关性(r=0.64-0.88)。QStat CS与EXTEM A10的CS结果一致性为84.5%,与citrated快速TEG最大振幅的CS结果一致性为83.3%。对于纤维蛋白原相关结果,QStat纤维蛋白原对凝块硬度(FCS)和FIBTEM A10的贡献一致性为81.5%,FCS和柠檬酸功能纤维蛋白原最大振幅的一致性为93.8%。对于纤溶测量,QStat凝块溶解稳定性与EXTEM ML或CK-LY30之间的总体一致性分别为97.5%和92.9%。结论:QStat可提供与创伤患者ROTEM δ和TEG 6s相当的信息,可用于TIC的诊断和指导治疗。Quantra使用简单,能够在POC部署,结果快速可用,可以为临床医生提供更快,更方便的方法来评估和管理TIC。证据等级:诊断测试,二级。试验注册号:NCT04312958。
本文章由计算机程序翻译,如有差异,请以英文原文为准。
求助全文
约1分钟内获得全文 求助全文
来源期刊
CiteScore
3.70
自引率
5.00%
发文量
71
审稿时长
12 weeks
×
引用
GB/T 7714-2015
复制
MLA
复制
APA
复制
导出至
BibTeX EndNote RefMan NoteFirst NoteExpress
×
提示
您的信息不完整,为了账户安全,请先补充。
现在去补充
×
提示
您因"违规操作"
具体请查看互助需知
我知道了
×
提示
确定
请完成安全验证×
copy
已复制链接
快去分享给好友吧!
我知道了
右上角分享
点击右上角分享
0
联系我们:info@booksci.cn Book学术提供免费学术资源搜索服务,方便国内外学者检索中英文文献。致力于提供最便捷和优质的服务体验。 Copyright © 2023 布克学术 All rights reserved.
京ICP备2023020795号-1
ghs 京公网安备 11010802042870号
Book学术文献互助
Book学术文献互助群
群 号:604180095
Book学术官方微信