Pharmacokinetics and Pharmacodynamics of Intranasal Diacetylmorphine in Heroin-Assisted Treatment for Severe Opioid Use Disorder.

IF 7.4 2区 医学 Q1 CLINICAL NEUROLOGY
CNS drugs Pub Date : 2025-08-01 Epub Date: 2025-06-07 DOI:10.1007/s40263-025-01189-1
Adrian Guessoum, Severin B Vogt, Maximilian Meyer, Jean Nicolas Westenberg, Benjamin Klemperer, Kenneth M Dürsteler, Matthias E Liechti, Jan Thomann, Dino Luethi, Urs Duthaler, Marc Vogel
{"title":"Pharmacokinetics and Pharmacodynamics of Intranasal Diacetylmorphine in Heroin-Assisted Treatment for Severe Opioid Use Disorder.","authors":"Adrian Guessoum, Severin B Vogt, Maximilian Meyer, Jean Nicolas Westenberg, Benjamin Klemperer, Kenneth M Dürsteler, Matthias E Liechti, Jan Thomann, Dino Luethi, Urs Duthaler, Marc Vogel","doi":"10.1007/s40263-025-01189-1","DOIUrl":null,"url":null,"abstract":"<p><strong>Background: </strong>Intranasal diacetylmorphine (IN DAM) represents a promising new route of administration, which is currently under investigation as a novel treatment approach for opioid use disorder in Switzerland. This study characterized the pharmacokinetics and pharmacodynamics of therapeutically relevant intranasal doses of DAM and its metabolites in patients with severe opioid use disorder.</p><p><strong>Methods: </strong>In this prospective observational study, patients on intranasal heroin-assisted treatment (HAT) in Basel, Switzerland, self-administered their usual dose of IN DAM before receiving their daily maintenance dose. Inclusion criteria were age ≥ 18 years and current participation in IN HAT. Plasma concentrations of diacetylmorphine, 6-monoacetylmorphine (6-MAM), morphine, morphine-6-glucuronide, and morphine-3-glucuronide were measured using liquid chromatography-tandem mass spectrometry at baseline and at 2, 5, 10, 15, 20, 30, 40, 50, 60, 120, and 180 min. Acute subjective effects and cravings were assessed repeatedly using visual analog scales, withdrawal symptoms were measured using the Short Opiate Withdrawal Scale, and autonomic responses were recorded over the 3 h after IN DAM administration.</p><p><strong>Results: </strong>In total, 14 patients were included in the study. The mean self-administered IN DAM dose was 346 mg (range 190-700 mg) delivered over a mean time of 3.8 min (range 1-9 min). IN DAM elicited moderate-to-strong peak drug effects, with marked reductions in heroin craving and withdrawal symptoms. No clinically relevant respiratory depression or decrease in oxygenation saturation was observed. Subjective effects occurred rapidly within the first 2 min after the start of administration. These effects gradually increased and peaked at 30-35 min, which paralleled the rising plasma concentrations of DAM and 6-MAM, while the sustained heroin-like effects best correlated with morphine and morphine-6-glucuronide plasma concentrations. Plasma half-lives of diacetylmorphine and 6-monoacetylmorphine were longer, and time to maximal plasma concentration was later than previously reported, suggesting saturated absorption at high intranasal doses and volumes.</p><p><strong>Conclusions: </strong>IN DAM has a good safety profile and should be considered as an effective alternative for patients in HAT, offering rapid onset of effects without significant side effects. Optimization of intranasal delivery may further improve absorption and clinical utility.</p>","PeriodicalId":10508,"journal":{"name":"CNS drugs","volume":" ","pages":"807-817"},"PeriodicalIF":7.4000,"publicationDate":"2025-08-01","publicationTypes":"Journal Article","fieldsOfStudy":null,"isOpenAccess":false,"openAccessPdf":"https://www.ncbi.nlm.nih.gov/pmc/articles/PMC12263744/pdf/","citationCount":"0","resultStr":null,"platform":"Semanticscholar","paperid":null,"PeriodicalName":"CNS drugs","FirstCategoryId":"3","ListUrlMain":"https://doi.org/10.1007/s40263-025-01189-1","RegionNum":2,"RegionCategory":"医学","ArticlePicture":[],"TitleCN":null,"AbstractTextCN":null,"PMCID":null,"EPubDate":"2025/6/7 0:00:00","PubModel":"Epub","JCR":"Q1","JCRName":"CLINICAL NEUROLOGY","Score":null,"Total":0}
引用次数: 0

Abstract

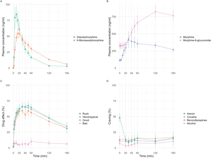
Background: Intranasal diacetylmorphine (IN DAM) represents a promising new route of administration, which is currently under investigation as a novel treatment approach for opioid use disorder in Switzerland. This study characterized the pharmacokinetics and pharmacodynamics of therapeutically relevant intranasal doses of DAM and its metabolites in patients with severe opioid use disorder.

Methods: In this prospective observational study, patients on intranasal heroin-assisted treatment (HAT) in Basel, Switzerland, self-administered their usual dose of IN DAM before receiving their daily maintenance dose. Inclusion criteria were age ≥ 18 years and current participation in IN HAT. Plasma concentrations of diacetylmorphine, 6-monoacetylmorphine (6-MAM), morphine, morphine-6-glucuronide, and morphine-3-glucuronide were measured using liquid chromatography-tandem mass spectrometry at baseline and at 2, 5, 10, 15, 20, 30, 40, 50, 60, 120, and 180 min. Acute subjective effects and cravings were assessed repeatedly using visual analog scales, withdrawal symptoms were measured using the Short Opiate Withdrawal Scale, and autonomic responses were recorded over the 3 h after IN DAM administration.

Results: In total, 14 patients were included in the study. The mean self-administered IN DAM dose was 346 mg (range 190-700 mg) delivered over a mean time of 3.8 min (range 1-9 min). IN DAM elicited moderate-to-strong peak drug effects, with marked reductions in heroin craving and withdrawal symptoms. No clinically relevant respiratory depression or decrease in oxygenation saturation was observed. Subjective effects occurred rapidly within the first 2 min after the start of administration. These effects gradually increased and peaked at 30-35 min, which paralleled the rising plasma concentrations of DAM and 6-MAM, while the sustained heroin-like effects best correlated with morphine and morphine-6-glucuronide plasma concentrations. Plasma half-lives of diacetylmorphine and 6-monoacetylmorphine were longer, and time to maximal plasma concentration was later than previously reported, suggesting saturated absorption at high intranasal doses and volumes.

Conclusions: IN DAM has a good safety profile and should be considered as an effective alternative for patients in HAT, offering rapid onset of effects without significant side effects. Optimization of intranasal delivery may further improve absorption and clinical utility.

Abstract Image

Abstract Image

Abstract Image

鼻用二乙酰吗啡在海洛因辅助治疗严重阿片类药物使用障碍中的药代动力学和药效学。
背景:鼻内二乙酰吗啡(IN DAM)是一种有前景的新给药途径,目前正在瑞士研究作为阿片类药物使用障碍的新治疗方法。本研究表征了严重阿片类药物使用障碍患者鼻内治疗相关剂量DAM及其代谢物的药代动力学和药效学。方法:在这项前瞻性观察研究中,在瑞士巴塞尔接受鼻内海洛因辅助治疗(HAT)的患者在接受每日维持剂量之前自行给予常规剂量的In DAM。纳入标准为年龄≥18岁,目前参加in HAT。在基线和2、5、10、15、20、30、40、50、60、120和180分钟时,采用液相色谱-串联质谱法测定二乙酰吗啡、6-单乙酰吗啡(6-MAM)、吗啡、吗啡-6-葡萄糖醛酸盐和吗啡-3-葡萄糖醛酸盐的血浆浓度。使用视觉模拟量表反复评估急性主观效应和渴望,使用短期阿片戒断量表测量戒断症状。在给药后3小时内记录自主神经反应。结果:共纳入14例患者。平均自我给药IN DAM剂量为346 mg (190-700 mg),平均递送时间为3.8 min (1-9 min)。IN DAM引起了中度到强烈的峰值药物效应,海洛因渴望和戒断症状明显减少。未观察到与临床相关的呼吸抑制或氧合饱和度下降。主观效应在给药后2分钟内迅速发生。这些效应逐渐增强,并在30-35 min达到峰值,与DAM和6-MAM的血浆浓度升高平行,而持续的海洛因样效应与吗啡和吗啡-6-葡萄糖醛酸盐的血浆浓度最相关。二乙酰吗啡和6-单乙酰吗啡的血浆半衰期较长,达到最大血浆浓度的时间较先前报道的晚,提示在高剂量和高体积的鼻内饱和吸收。结论:IN DAM具有良好的安全性,可作为HAT患者的有效替代方案,起效快,无明显副作用。优化鼻内给药可进一步改善吸收和临床应用。
本文章由计算机程序翻译,如有差异,请以英文原文为准。
求助全文
约1分钟内获得全文 求助全文
来源期刊
CNS drugs
CNS drugs 医学-精神病学
CiteScore
12.00
自引率
3.30%
发文量
82
审稿时长
6-12 weeks
期刊介绍: CNS Drugs promotes rational pharmacotherapy within the disciplines of clinical psychiatry and neurology. The Journal includes: - Overviews of contentious or emerging issues. - Comprehensive narrative reviews that provide an authoritative source of information on pharmacological approaches to managing neurological and psychiatric illnesses. - Systematic reviews that collate empirical evidence to answer a specific research question, using explicit, systematic methods as outlined by the PRISMA statement. - Adis Drug Reviews of the properties and place in therapy of both newer and established drugs in neurology and psychiatry. - Original research articles reporting the results of well-designed studies with a strong link to clinical practice, such as clinical pharmacodynamic and pharmacokinetic studies, clinical trials, meta-analyses, outcomes research, and pharmacoeconomic and pharmacoepidemiological studies. Additional digital features (including animated abstracts, video abstracts, slide decks, audio slides, instructional videos, infographics, podcasts and animations) can be published with articles; these are designed to increase the visibility, readership and educational value of the journal’s content. In addition, articles published in CNS Drugs may be accompanied by plain language summaries to assist readers who have some knowledge of, but not in-depth expertise in, the area to understand important medical advances.
×
引用
GB/T 7714-2015
复制
MLA
复制
APA
复制
导出至
BibTeX EndNote RefMan NoteFirst NoteExpress
×
提示
您的信息不完整,为了账户安全,请先补充。
现在去补充
×
提示
您因"违规操作"
具体请查看互助需知
我知道了
×
提示
确定
请完成安全验证×
copy
已复制链接
快去分享给好友吧!
我知道了
右上角分享
点击右上角分享
0
联系我们:info@booksci.cn Book学术提供免费学术资源搜索服务,方便国内外学者检索中英文文献。致力于提供最便捷和优质的服务体验。 Copyright © 2023 布克学术 All rights reserved.
京ICP备2023020795号-1
ghs 京公网安备 11010802042870号
Book学术文献互助
Book学术文献互助群
群 号:604180095
Book学术官方微信