Tumoral pSMAD2 as a prognostic biomarker in early-stage breast cancer: insights from the randomized SweBCG91RT trial.

IF 3 3区 医学 Q2 ONCOLOGY
Breast Cancer Research and Treatment Pub Date : 2025-08-01 Epub Date: 2025-06-09 DOI:10.1007/s10549-025-07744-0
Axel Stenmark Tullberg, Viktoria Thurfjell, Anikó Kovács, Patrick Micke, Aristidis Moustakas, Fredrika Killander, Emma Niméus, Erik Holmberg, Per Karlsson, Carina Strell
{"title":"Tumoral pSMAD2 as a prognostic biomarker in early-stage breast cancer: insights from the randomized SweBCG91RT trial.","authors":"Axel Stenmark Tullberg, Viktoria Thurfjell, Anikó Kovács, Patrick Micke, Aristidis Moustakas, Fredrika Killander, Emma Niméus, Erik Holmberg, Per Karlsson, Carina Strell","doi":"10.1007/s10549-025-07744-0","DOIUrl":null,"url":null,"abstract":"<p><strong>Background/aim: </strong>The TGF-β pathway can influence breast cancer progression and therapy efficacy, exhibiting both pro- and anti-tumoral effects. This study examined the impact of active TGF-β signaling on recurrence and radiotherapy (RT) benefit in early-stage breast cancer, using nuclear phosphorylated Smad2 (pSMAD2) as a marker for pathway activation.</p><p><strong>Methods: </strong>Tissue-microarrays from 1178 stage I-IIA breast cancer patients in the SweBCG91RT trial (randomized to breast-conserving surgery with or without RT) were analyzed. pSMAD2 immunohistochemistry was scored as the mean percentage of tumor cells with nuclear staining. Recurrence risk and RT benefit were evaluated.</p><p><strong>Results: </strong>pSMAD2 scores were heavily skewed, with 45% of tumors demonstrating high staining (≥ 80% tumor cells), 38% medium (21-79%), and 17% low (≤ 20%). Low pSMAD2 tumors were associated with higher grade and larger size but not with subtype. Medium pSMAD2 tumors had a significantly increased ipsilateral breast tumor recurrence risk than high pSMAD2 tumors (HR<sub>adjusted</sub> = 1.82, p = 0.002), while no differences were observed for low pSMAD2 tumors. A similar result was obtained with all recurrences as endpoint. RT benefit was consistent across all pSMAD2 groups. In Luminal tumors, higher tumoral pSMAD2 levels were inversely correlated with tumor-infiltrating lymphocytes (TILs).</p><p><strong>Conclusion: </strong>Medium pSMAD2 levels were linked to an increased recurrence risk compared to high levels, suggesting a tumor-suppressive role of TGF-β in early breast tumorigenesis. However, no significant differences were noted for low pSMAD2 levels. In Luminal tumors, TGF-β signaling was negatively associated with TILs. These findings indicate that therapeutic targeting of TGF-β warrants careful consideration of tumor stage and subtype.</p>","PeriodicalId":9133,"journal":{"name":"Breast Cancer Research and Treatment","volume":" ","pages":"499-509"},"PeriodicalIF":3.0000,"publicationDate":"2025-08-01","publicationTypes":"Journal Article","fieldsOfStudy":null,"isOpenAccess":false,"openAccessPdf":"https://www.ncbi.nlm.nih.gov/pmc/articles/PMC12208964/pdf/","citationCount":"0","resultStr":null,"platform":"Semanticscholar","paperid":null,"PeriodicalName":"Breast Cancer Research and Treatment","FirstCategoryId":"3","ListUrlMain":"https://doi.org/10.1007/s10549-025-07744-0","RegionNum":3,"RegionCategory":"医学","ArticlePicture":[],"TitleCN":null,"AbstractTextCN":null,"PMCID":null,"EPubDate":"2025/6/9 0:00:00","PubModel":"Epub","JCR":"Q2","JCRName":"ONCOLOGY","Score":null,"Total":0}
引用次数: 0

Abstract

Background/aim: The TGF-β pathway can influence breast cancer progression and therapy efficacy, exhibiting both pro- and anti-tumoral effects. This study examined the impact of active TGF-β signaling on recurrence and radiotherapy (RT) benefit in early-stage breast cancer, using nuclear phosphorylated Smad2 (pSMAD2) as a marker for pathway activation.

Methods: Tissue-microarrays from 1178 stage I-IIA breast cancer patients in the SweBCG91RT trial (randomized to breast-conserving surgery with or without RT) were analyzed. pSMAD2 immunohistochemistry was scored as the mean percentage of tumor cells with nuclear staining. Recurrence risk and RT benefit were evaluated.

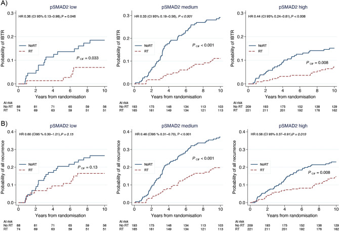
Results: pSMAD2 scores were heavily skewed, with 45% of tumors demonstrating high staining (≥ 80% tumor cells), 38% medium (21-79%), and 17% low (≤ 20%). Low pSMAD2 tumors were associated with higher grade and larger size but not with subtype. Medium pSMAD2 tumors had a significantly increased ipsilateral breast tumor recurrence risk than high pSMAD2 tumors (HRadjusted = 1.82, p = 0.002), while no differences were observed for low pSMAD2 tumors. A similar result was obtained with all recurrences as endpoint. RT benefit was consistent across all pSMAD2 groups. In Luminal tumors, higher tumoral pSMAD2 levels were inversely correlated with tumor-infiltrating lymphocytes (TILs).

Conclusion: Medium pSMAD2 levels were linked to an increased recurrence risk compared to high levels, suggesting a tumor-suppressive role of TGF-β in early breast tumorigenesis. However, no significant differences were noted for low pSMAD2 levels. In Luminal tumors, TGF-β signaling was negatively associated with TILs. These findings indicate that therapeutic targeting of TGF-β warrants careful consideration of tumor stage and subtype.

Abstract Image

Abstract Image

Abstract Image

肿瘤pSMAD2作为早期乳腺癌的预后生物标志物:来自随机SweBCG91RT试验的见解
背景/目的:TGF-β通路影响乳腺癌的进展和治疗效果,表现出促肿瘤和抗肿瘤的双重作用。本研究利用核磷酸化Smad2 (pSMAD2)作为途径激活的标志物,研究了活性TGF-β信号对早期乳腺癌复发和放疗(RT)益处的影响。方法:对SweBCG91RT试验中1178例I-IIA期乳腺癌患者(随机分为保乳手术组和非保乳组)的组织微阵列进行分析。pSMAD2免疫组化评分为核染色肿瘤细胞的平均百分比。评估复发风险和放疗获益。结果:pSMAD2评分严重偏斜,45%的肿瘤呈高染色(≥80%肿瘤细胞),38%为中染色(21-79%),17%为低染色(≤20%)。低pSMAD2与肿瘤分级高、体积大相关,但与亚型无关。中等pSMAD2肿瘤的同侧乳房肿瘤复发风险明显高于高pSMAD2肿瘤(经hrp校正= 1.82,p = 0.002),而低pSMAD2肿瘤的同侧乳房肿瘤复发风险无差异。以所有的复发为终点得到了类似的结果。在所有pSMAD2组中,RT获益一致。在腔内肿瘤中,较高的肿瘤pSMAD2水平与肿瘤浸润淋巴细胞(til)呈负相关。结论:与高水平相比,中等水平的pSMAD2与复发风险增加有关,提示TGF-β在早期乳腺肿瘤发生中的肿瘤抑制作用。然而,低pSMAD2水平没有显著差异。在管腔肿瘤中,TGF-β信号与TILs呈负相关。这些发现表明TGF-β的靶向治疗需要仔细考虑肿瘤分期和亚型。
本文章由计算机程序翻译,如有差异,请以英文原文为准。
求助全文
约1分钟内获得全文 求助全文
来源期刊
CiteScore
6.80
自引率
2.60%
发文量
342
审稿时长
1 months
期刊介绍: Breast Cancer Research and Treatment provides the surgeon, radiotherapist, medical oncologist, endocrinologist, epidemiologist, immunologist or cell biologist investigating problems in breast cancer a single forum for communication. The journal creates a "market place" for breast cancer topics which cuts across all the usual lines of disciplines, providing a site for presenting pertinent investigations, and for discussing critical questions relevant to the entire field. It seeks to develop a new focus and new perspectives for all those concerned with breast cancer.
×
引用
GB/T 7714-2015
复制
MLA
复制
APA
复制
导出至
BibTeX EndNote RefMan NoteFirst NoteExpress
×
提示
您的信息不完整,为了账户安全,请先补充。
现在去补充
×
提示
您因"违规操作"
具体请查看互助需知
我知道了
×
提示
确定
请完成安全验证×
copy
已复制链接
快去分享给好友吧!
我知道了
右上角分享
点击右上角分享
0
联系我们:info@booksci.cn Book学术提供免费学术资源搜索服务,方便国内外学者检索中英文文献。致力于提供最便捷和优质的服务体验。 Copyright © 2023 布克学术 All rights reserved.
京ICP备2023020795号-1
ghs 京公网安备 11010802042870号
Book学术文献互助
Book学术文献互助群
群 号:604180095
Book学术官方微信