Participation and quality of life of Nepalese children with visual impairment in comparison with normally sighted peers: a cross sectional comparative study.

IF 2.9 Q2 HEALTH CARE SCIENCES & SERVICES
Srijana Adhikari, Ellen Bernadette Maria Elsman, Ruth Marie Antoinette van Nispen, Fleur Van Rens, Manish Poudel, Gerardus Hermanus Maria Bartholomeus van Rens
{"title":"Participation and quality of life of Nepalese children with visual impairment in comparison with normally sighted peers: a cross sectional comparative study.","authors":"Srijana Adhikari, Ellen Bernadette Maria Elsman, Ruth Marie Antoinette van Nispen, Fleur Van Rens, Manish Poudel, Gerardus Hermanus Maria Bartholomeus van Rens","doi":"10.1186/s41687-025-00893-2","DOIUrl":null,"url":null,"abstract":"<p><strong>Background: </strong>Poor vision compromises quality of life and participation in different daily life activities of children such as, sports, leisure time, interactive play and social interaction. The purpose of this cross - sectional study is to investigate participation and quality of life of children with visual impairment (VI) and blindness compared with normally sighted peers.</p><p><strong>Methodology: </strong>Children aged 7-17 years with blindness (n = 100), moderate to severe VI (n = 100) and normal sight (n = 100) completed Nepalese versions of the Participation and activity inventory children and youth (PAI-CY 7-12 and 13-17), L. V. Prasad functional vision questionnaires (LVP-FVQ II) and Pediatric Eye Questionnaires (PedEyeQ 5-11 and 12-17). The measurement properties of PAI -CY was studied. All (sub) scores were compared between three groups. Associations between the severity of VI and outcomes were assessed with age and sex adjusted linear regression analyses.</p><p><strong>Results: </strong>Children with blindness scored worse than children with VI, who scored worse than normally sighted children on the PAI-CY 7-12, the physical functioning subscale of the PAI-CY 13-17 and the LVP-FVQ II(p = < 0.001).However, for the psychosocial functioning subscale of PAI-CY 13-17, children with blindness scored better than children with VI(p = < 0.01). On the PedEyeQ, young children (5-11) with blindness on all subscales, and older children (12-17 years) with blindness on the functional vision subscale scored worse than children with VI(p = < 0.01).Regression models showed that both moderate/severe VI and blindness were significantly associated with worse PAI-CY, LVP-FVQ II, PedEyeQ 5-11 and PedEyeQ 12-17 functional vision subscale scores(p = < 0.01).</p><p><strong>Conclusion: </strong>Younger children with blindness showed worse participation and quality of life compared to children with VI, whereas results for older children showed a mixed pattern with children with blindness showing better participation in psychosocial domain. Appropriate low vision rehabilitation interventions are needed for children with VI and blindness to increase their participation and quality of life to the level of their normally sighted peers as far as possible. Future studies could include children who do not attend school and may have worse participation and quality of life than children in our study.</p>","PeriodicalId":36660,"journal":{"name":"Journal of Patient-Reported Outcomes","volume":"9 1","pages":"64"},"PeriodicalIF":2.9000,"publicationDate":"2025-06-05","publicationTypes":"Journal Article","fieldsOfStudy":null,"isOpenAccess":false,"openAccessPdf":"https://www.ncbi.nlm.nih.gov/pmc/articles/PMC12141697/pdf/","citationCount":"0","resultStr":null,"platform":"Semanticscholar","paperid":null,"PeriodicalName":"Journal of Patient-Reported Outcomes","FirstCategoryId":"1085","ListUrlMain":"https://doi.org/10.1186/s41687-025-00893-2","RegionNum":0,"RegionCategory":null,"ArticlePicture":[],"TitleCN":null,"AbstractTextCN":null,"PMCID":null,"EPubDate":"","PubModel":"","JCR":"Q2","JCRName":"HEALTH CARE SCIENCES & SERVICES","Score":null,"Total":0}
引用次数: 0

Abstract

Background: Poor vision compromises quality of life and participation in different daily life activities of children such as, sports, leisure time, interactive play and social interaction. The purpose of this cross - sectional study is to investigate participation and quality of life of children with visual impairment (VI) and blindness compared with normally sighted peers.

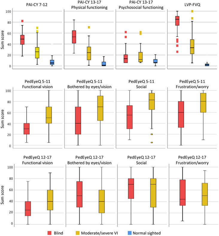
Methodology: Children aged 7-17 years with blindness (n = 100), moderate to severe VI (n = 100) and normal sight (n = 100) completed Nepalese versions of the Participation and activity inventory children and youth (PAI-CY 7-12 and 13-17), L. V. Prasad functional vision questionnaires (LVP-FVQ II) and Pediatric Eye Questionnaires (PedEyeQ 5-11 and 12-17). The measurement properties of PAI -CY was studied. All (sub) scores were compared between three groups. Associations between the severity of VI and outcomes were assessed with age and sex adjusted linear regression analyses.

Results: Children with blindness scored worse than children with VI, who scored worse than normally sighted children on the PAI-CY 7-12, the physical functioning subscale of the PAI-CY 13-17 and the LVP-FVQ II(p = < 0.001).However, for the psychosocial functioning subscale of PAI-CY 13-17, children with blindness scored better than children with VI(p = < 0.01). On the PedEyeQ, young children (5-11) with blindness on all subscales, and older children (12-17 years) with blindness on the functional vision subscale scored worse than children with VI(p = < 0.01).Regression models showed that both moderate/severe VI and blindness were significantly associated with worse PAI-CY, LVP-FVQ II, PedEyeQ 5-11 and PedEyeQ 12-17 functional vision subscale scores(p = < 0.01).

Conclusion: Younger children with blindness showed worse participation and quality of life compared to children with VI, whereas results for older children showed a mixed pattern with children with blindness showing better participation in psychosocial domain. Appropriate low vision rehabilitation interventions are needed for children with VI and blindness to increase their participation and quality of life to the level of their normally sighted peers as far as possible. Future studies could include children who do not attend school and may have worse participation and quality of life than children in our study.

Abstract Image

尼泊尔视障儿童与正常视力儿童的参与和生活质量:一项横断面比较研究。
背景:视力不良影响儿童的生活质量和参与各种日常生活活动,如运动、休闲时间、互动游戏和社会互动。本横断面研究的目的是探讨视障及失明儿童与正常视力儿童的参与及生活品质。方法:7-17岁失明(n = 100)、中度至重度VI (n = 100)和视力正常(n = 100)的儿童和青少年完成尼泊尔文版参与和活动量表(PAI-CY 7-12和13-17)、L. V. Prasad功能视力问卷(LVP-FVQ II)和儿科眼科问卷(peteyeq 5-11和12-17)。研究了PAI -CY的测量性能。三组间各分项评分比较。通过年龄和性别调整的线性回归分析来评估VI严重程度与预后之间的关系。结果:失明儿童在PAI-CY 7-12、PAI-CY 13-17的身体功能子量表和LVP-FVQ II上的得分低于正常视力儿童(p =结论:年幼的失明儿童在参与和生活质量方面比VI儿童差,而年龄较大的儿童的结果显示出混合模式,失明儿童在社会心理领域表现出更好的参与。需要对VI和失明儿童进行适当的低视力康复干预,以尽可能提高他们的参与和生活质量,使其达到正常视力同龄人的水平。未来的研究可能包括不上学的儿童,他们的参与和生活质量可能比我们研究中的儿童更差。
本文章由计算机程序翻译,如有差异,请以英文原文为准。
求助全文
约1分钟内获得全文 求助全文
来源期刊
Journal of Patient-Reported Outcomes
Journal of Patient-Reported Outcomes Health Professions-Health Information Management
CiteScore
3.80
自引率
7.40%
发文量
120
审稿时长
20 weeks
×
引用
GB/T 7714-2015
复制
MLA
复制
APA
复制
导出至
BibTeX EndNote RefMan NoteFirst NoteExpress
×
提示
您的信息不完整,为了账户安全,请先补充。
现在去补充
×
提示
您因"违规操作"
具体请查看互助需知
我知道了
×
提示
确定
请完成安全验证×
copy
已复制链接
快去分享给好友吧!
我知道了
右上角分享
点击右上角分享
0
联系我们:info@booksci.cn Book学术提供免费学术资源搜索服务,方便国内外学者检索中英文文献。致力于提供最便捷和优质的服务体验。 Copyright © 2023 布克学术 All rights reserved.
京ICP备2023020795号-1
ghs 京公网安备 11010802042870号
Book学术文献互助
Book学术文献互助群
群 号:604180095
Book学术官方微信